2024 Vol. 73, No. 4
column
- DATA PAPERS
- GENERAL
- PHYSICS OF GASES, PLASMAS, AND ELECTRIC DISCHARGES
- NUCLEAR PHYSICS
- ATOMIC AND MOLECULAR PHYSICS
- ELECTROMAGNETISM, OPTICS, ACOUSTICS, HEAT TRANSFER, CLASSICAL MECHANICS, AND FLUID DYNAMICS
- CONDENSED MATTER: STRUCTURAL, MECHANICAL, AND THERMAL PROPERTIES
- CONDENSED MATTER: ELECTRONIC STRUCTURE, ELECTRICAL, MAGNETIC, AND OPTICAL PROPERTIES
- COVER ARTICLE
- INTERDISCIPLINARY PHYSICS AND RELATED AREAS OF SCIENCE AND TECHNOLOGY
Display Method:
2024, 73(4): 044207.
doi:10.7498/aps.73.20231475
Abstract:
Gadolinium scandate (GdScO3) crystal has a perovskite structure, belonging to an orthogonal system, and its space group isPnma(No. 62). Due to the disordered distributions of Sc3+and Gd3+ions, different cation sites can be replaced by doped ions, which indicates that GdScO3crystal has a high tolerance for structural distortion. Compared with other oxide crystals, GdScO3crystal has lower phonon energy of about 452 cm–1, which reduces non-radiative relaxation between adjacent energy levels and has strong thermal stability. In addition, GdScO3crystal birefringence is large, and as a laser material, it can eliminate the adverse effects caused by thermal birefringence, such as thermal depolarization loss. As an active ion, Nd3+(4f3) is an ideal four-level system. Therefore, Nd3+:GdScO3crystal has a broad application prospect as a laser crystal matrix material. However, the study of Nd3+:GdScO3crystal field energy level fitting and crystal field parameters has not been reported to the authors’ knowledge. Neodymium-doped gadolinium scandiate (Nd3+:GdScO3) crystal is grown by the Czochralski method. The absorption spectrum in a range of 250—2650 nm is tested at a low temperature (8 K), and the emission spectrum at room temperature is also tested. The experimental energy levels of Nd3+are analyzed and 66 experimental Stark levels of Nd3+:GdScO3are identified. For the doped trivalent rare earth ion crystals, the energy level structure of rare earth ion is related to its luminescence characteristics, so it is necessary to study its energy level structure. In recent decades, parametric crystal field models have been widely applied to various rare-earth ion doped garnet crystals. The parametric model is used to analyze and fit the crystal field energy levels of Nd3+doped orthogonal GdScO3. The fitted root mean square error is 13.17 cm–1. The resulting free ion parameters and crystal field parameters are calculated and analyzed, and the crystal field intensity is calculated. Fitting results show that the parameterized Stark levels are in good agreement with the experimental spectra, and the results are ideal. Comparing with Nd3+:YAP and Nd3+:YAG, the crystal field strength of Nd3+:GdScO3is weak. The weak crystal field strength may be one of the reasons for the excellent laser properties of Nd3+:GdScO3crystals. But its microscopic mechanism needs further studying. All the data presented in this paper are openly available at https://www.doi.org/10.57760/sciencedb.15702.
Gadolinium scandate (GdScO3) crystal has a perovskite structure, belonging to an orthogonal system, and its space group isPnma(No. 62). Due to the disordered distributions of Sc3+and Gd3+ions, different cation sites can be replaced by doped ions, which indicates that GdScO3crystal has a high tolerance for structural distortion. Compared with other oxide crystals, GdScO3crystal has lower phonon energy of about 452 cm–1, which reduces non-radiative relaxation between adjacent energy levels and has strong thermal stability. In addition, GdScO3crystal birefringence is large, and as a laser material, it can eliminate the adverse effects caused by thermal birefringence, such as thermal depolarization loss. As an active ion, Nd3+(4f3) is an ideal four-level system. Therefore, Nd3+:GdScO3crystal has a broad application prospect as a laser crystal matrix material. However, the study of Nd3+:GdScO3crystal field energy level fitting and crystal field parameters has not been reported to the authors’ knowledge. Neodymium-doped gadolinium scandiate (Nd3+:GdScO3) crystal is grown by the Czochralski method. The absorption spectrum in a range of 250—2650 nm is tested at a low temperature (8 K), and the emission spectrum at room temperature is also tested. The experimental energy levels of Nd3+are analyzed and 66 experimental Stark levels of Nd3+:GdScO3are identified. For the doped trivalent rare earth ion crystals, the energy level structure of rare earth ion is related to its luminescence characteristics, so it is necessary to study its energy level structure. In recent decades, parametric crystal field models have been widely applied to various rare-earth ion doped garnet crystals. The parametric model is used to analyze and fit the crystal field energy levels of Nd3+doped orthogonal GdScO3. The fitted root mean square error is 13.17 cm–1. The resulting free ion parameters and crystal field parameters are calculated and analyzed, and the crystal field intensity is calculated. Fitting results show that the parameterized Stark levels are in good agreement with the experimental spectra, and the results are ideal. Comparing with Nd3+:YAP and Nd3+:YAG, the crystal field strength of Nd3+:GdScO3is weak. The weak crystal field strength may be one of the reasons for the excellent laser properties of Nd3+:GdScO3crystals. But its microscopic mechanism needs further studying. All the data presented in this paper are openly available at https://www.doi.org/10.57760/sciencedb.15702.
2024, 73(4): 040201.
doi:10.7498/aps.73.20231590
Abstract:
As one specific type of local solutions of nonlinear evolution equation, the breathers have the characteristic of envelope oscillation structure. This kind of oscillation is periodic. According to the periodicity of the distribution and evolution directions, there are three kinds of breathers, namely, the Kuznetsov-Ma breather (KMB), the Akhmediev breather (AB), and the general breather (GB). In recent years, the propagation of envelope breathers under the periodic background has been observed in many nonlinear physical fields, including nonlinear optical fibers and hydrodynamics. It is believed that the breathers can arise due to the modulational instability of the periodic waves, and they demonstrate many rich physical properties and dynamic behaviors of interactions. Therefore, recently great attention has been paid to the breathers under the periodic background in nonlinear science. As an important integrable model, the Gerdjikov-Ivanov (GI) equation can be used to describe various nonlinear phenomena in many physical fields such as in the quantum field theory, weak nonlinear dispersive water wave, and nonlinear optics. It is very meaningful to solve various types of solutions of this model to describe the propagation of nonlinear waves. As far as we know, the breather solutions for the GI equation have not been given under the elliptic function background. In this study, firstly, elliptic function solutions of the GI equation are solved by the modified squared wave (MSW) function approach and the traveling wave transformation. Then, we obtain the basic solution of the Lax pair corresponding to the Jacobi elliptic function seed solution. Based on the elliptic function transformation formulas and the integral formulas, the potential function solution can be expressed in terms of the Weierstrass elliptic function. Secondly, by the once iterated Darboux transformation, three types of breather solutions under the elliptic function background are constructed including the GB, the KMB and the AB. In addition, we analyze the dynamic behaviors of these three kinds of breathers, and present their three-dimensional space-time structures. By the twice iterated Darboux transformation, under the dn-periodic background we exhibit three types of interactions between two breathers, i.e. a GB and a KMB, an AB and a KMB, and a GB and an AB. Finally, we also present three types of interactions between two breathers under the general periodic background.
As one specific type of local solutions of nonlinear evolution equation, the breathers have the characteristic of envelope oscillation structure. This kind of oscillation is periodic. According to the periodicity of the distribution and evolution directions, there are three kinds of breathers, namely, the Kuznetsov-Ma breather (KMB), the Akhmediev breather (AB), and the general breather (GB). In recent years, the propagation of envelope breathers under the periodic background has been observed in many nonlinear physical fields, including nonlinear optical fibers and hydrodynamics. It is believed that the breathers can arise due to the modulational instability of the periodic waves, and they demonstrate many rich physical properties and dynamic behaviors of interactions. Therefore, recently great attention has been paid to the breathers under the periodic background in nonlinear science. As an important integrable model, the Gerdjikov-Ivanov (GI) equation can be used to describe various nonlinear phenomena in many physical fields such as in the quantum field theory, weak nonlinear dispersive water wave, and nonlinear optics. It is very meaningful to solve various types of solutions of this model to describe the propagation of nonlinear waves. As far as we know, the breather solutions for the GI equation have not been given under the elliptic function background. In this study, firstly, elliptic function solutions of the GI equation are solved by the modified squared wave (MSW) function approach and the traveling wave transformation. Then, we obtain the basic solution of the Lax pair corresponding to the Jacobi elliptic function seed solution. Based on the elliptic function transformation formulas and the integral formulas, the potential function solution can be expressed in terms of the Weierstrass elliptic function. Secondly, by the once iterated Darboux transformation, three types of breather solutions under the elliptic function background are constructed including the GB, the KMB and the AB. In addition, we analyze the dynamic behaviors of these three kinds of breathers, and present their three-dimensional space-time structures. By the twice iterated Darboux transformation, under the dn-periodic background we exhibit three types of interactions between two breathers, i.e. a GB and a KMB, an AB and a KMB, and a GB and an AB. Finally, we also present three types of interactions between two breathers under the general periodic background.
2024, 73(4): 040301.
doi:10.7498/aps.73.20231566
Abstract:
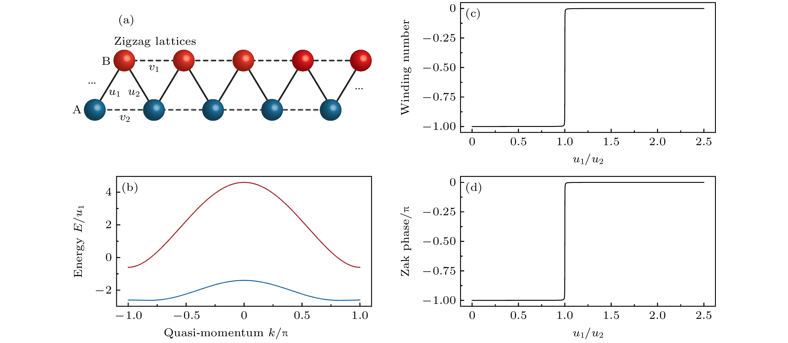
Symmetry plays a crucial role in understanding topological phases in materials. In one-dimensional systems, such as the Su-Schrieffer-Heeger (SSH) model, chiral symmetry is thought to ensure the quantization of the Zak phase and the nontrivial topological phase. However, our work demonstrates that the one-dimensional lattice system with broken chiral symmetry can still possess quantized Zak phase and nontrivial topological phase. Specifically, we use a Bose-Einstein condensate of87Rb atoms in a momentum space lattice of ultracold atoms to effectively simulate a one-dimensional Zigzag model of 26 sites, which intrinsically breaks the chiral symmetry by additional next-nearest-neighbor coupling. To ensure the existence of the nontrivial topological phase, where the Zak phase can be measured from the time-averaged displacement during the system’s evolution, we need to preserve the inversion symmetry by modulating laser power so that all next-nearest-neighbor coupling strengths are equal. Furthermore, by changing the ratio of nearest-neighbor coupling strengths, we observe a topological phase transition from a nontrivial topological phase to a trivial topological phase at the point where the ratio equals 1. Our work demonstrates that the ultracold atom system provides a controllable platform for studying the symmetrical phase and topological phase, with the potential to explore nonlinear topological phenomena by increasing the interactions among atoms. In addition, our system can be used to investigate other interesting topological phenomena with more complex models, such as critical phenomena at the phase transitions and flat band structures in the extended SSH model with long-range coupling. By controlling the coupling strengths, we can also explore the influence of different symmetries on the topological properties of extended SSH models in the future. Moreover, our platform makes it possible to studythe models with more energy bands, such as the Aharonov-Bohm caging model with a three-level structure, which shows peculiar flat-band properties. This work provides opportunities for various studies in the fields of symmetry, topology, and the interaction of controllable quantum systems.
Symmetry plays a crucial role in understanding topological phases in materials. In one-dimensional systems, such as the Su-Schrieffer-Heeger (SSH) model, chiral symmetry is thought to ensure the quantization of the Zak phase and the nontrivial topological phase. However, our work demonstrates that the one-dimensional lattice system with broken chiral symmetry can still possess quantized Zak phase and nontrivial topological phase. Specifically, we use a Bose-Einstein condensate of87Rb atoms in a momentum space lattice of ultracold atoms to effectively simulate a one-dimensional Zigzag model of 26 sites, which intrinsically breaks the chiral symmetry by additional next-nearest-neighbor coupling. To ensure the existence of the nontrivial topological phase, where the Zak phase can be measured from the time-averaged displacement during the system’s evolution, we need to preserve the inversion symmetry by modulating laser power so that all next-nearest-neighbor coupling strengths are equal. Furthermore, by changing the ratio of nearest-neighbor coupling strengths, we observe a topological phase transition from a nontrivial topological phase to a trivial topological phase at the point where the ratio equals 1. Our work demonstrates that the ultracold atom system provides a controllable platform for studying the symmetrical phase and topological phase, with the potential to explore nonlinear topological phenomena by increasing the interactions among atoms. In addition, our system can be used to investigate other interesting topological phenomena with more complex models, such as critical phenomena at the phase transitions and flat band structures in the extended SSH model with long-range coupling. By controlling the coupling strengths, we can also explore the influence of different symmetries on the topological properties of extended SSH models in the future. Moreover, our platform makes it possible to studythe models with more energy bands, such as the Aharonov-Bohm caging model with a three-level structure, which shows peculiar flat-band properties. This work provides opportunities for various studies in the fields of symmetry, topology, and the interaction of controllable quantum systems.
2024, 73(4): 040302.
doi:10.7498/aps.73.20230458
Abstract:
The theory of PT-symmetry describes the non-hermitian Hamiltonian with real energy levels, which means that the HamiltonianHis invariant neither under parity operatorP, nor under time reversal operatorT,PTH=H. Whether the Hamiltonian is real and symmetric is not a necessary condition for ensuring the fundamental axioms of quantum mechanics: real energy levels and unitary time evolution. The theory of PT-symmetry plays a significant role in studying quantum physics and quantum information science, Researchers have paid much attention to how to describe PT-symmetry of Hamiltonian. In the paper, we define operatorFaccording to the PT-symmetry theory and the normalized eigenfunction of Hamiltonian. Then we first describe the PT-symmetry of Hamiltonian in dimensionless cases after finding the features of commutator and anti-commutator of operatorCPTand operatorF. Furthermore, we find that this method can also quantify the PT-symmetry of Hamiltonian in dimensionless case.I(CPT,F) = ||[CPT,F]||CPTrepresents the part of PT-symmetry broken, andJ(CPT,F) = ||[CPT,F]||CPTrepresents the part of PT-symmetry. IfI(CPT,F) = ||[CPT,F]||CPT= 0, HamiltonianHis globally PT-symmetric. OnceI(CPT,F) = ||[CPT,F]||CPT≠ 0, HamiltonianHis PT-symmetrically broken. In addition, we propose another method to describe PT-symmetry of Hamiltonian based on real and imaginary parts of eigenvalues of Hamiltonian, to judge whether the Hamiltonian is PT symmetric. ReF= 1/4||(CPTF+F)||CPT represents the sum of squares of real part of the eigenvalueEnof HamiltonianH, ImF= 1/4||(CPTF–F)||CPT is the sum of imaginary part of the eigenvalueEnof a HamiltonianH. If ImF= 0, HamiltonianHis globally PT-symmetric. Once ImF≠ 0, HamiltonianHis PT-symmetrically broken. ReF= 0 implies that HamiltonianHis PT-asymmetric, but it is a sufficient condition, not necessary condition. The later is easier to realize in the experiment, but the studying conditions are tighter, and it further requires thatCPT
\begin{document}$\phi_n $\end{document}
(x) =
\begin{document}$\phi_n $\end{document}
(x). If we only pay attention to whether PT-symmetry is broken, it is simpler to use the latter method. The former method is perhaps better to quantify the PT-symmetrically broken part and the part of local PT-symmetry.
The theory of PT-symmetry describes the non-hermitian Hamiltonian with real energy levels, which means that the HamiltonianHis invariant neither under parity operatorP, nor under time reversal operatorT,PTH=H. Whether the Hamiltonian is real and symmetric is not a necessary condition for ensuring the fundamental axioms of quantum mechanics: real energy levels and unitary time evolution. The theory of PT-symmetry plays a significant role in studying quantum physics and quantum information science, Researchers have paid much attention to how to describe PT-symmetry of Hamiltonian. In the paper, we define operatorFaccording to the PT-symmetry theory and the normalized eigenfunction of Hamiltonian. Then we first describe the PT-symmetry of Hamiltonian in dimensionless cases after finding the features of commutator and anti-commutator of operatorCPTand operatorF. Furthermore, we find that this method can also quantify the PT-symmetry of Hamiltonian in dimensionless case.I(CPT,F) = ||[CPT,F]||CPTrepresents the part of PT-symmetry broken, andJ(CPT,F) = ||[CPT,F]||CPTrepresents the part of PT-symmetry. IfI(CPT,F) = ||[CPT,F]||CPT= 0, HamiltonianHis globally PT-symmetric. OnceI(CPT,F) = ||[CPT,F]||CPT≠ 0, HamiltonianHis PT-symmetrically broken. In addition, we propose another method to describe PT-symmetry of Hamiltonian based on real and imaginary parts of eigenvalues of Hamiltonian, to judge whether the Hamiltonian is PT symmetric. ReF= 1/4||(CPTF+F)||CPT represents the sum of squares of real part of the eigenvalueEnof HamiltonianH, ImF= 1/4||(CPTF–F)||CPT is the sum of imaginary part of the eigenvalueEnof a HamiltonianH. If ImF= 0, HamiltonianHis globally PT-symmetric. Once ImF≠ 0, HamiltonianHis PT-symmetrically broken. ReF= 0 implies that HamiltonianHis PT-asymmetric, but it is a sufficient condition, not necessary condition. The later is easier to realize in the experiment, but the studying conditions are tighter, and it further requires thatCPT
2024, 73(4): 040303.
doi:10.7498/aps.73.20231503
Abstract:
Parameterized entanglement measures have demonstrated their superiority compared with kinds of unparameterized entanglement measures. Entanglement concurrence has been widely used to describe entanglement in quantum experiments. As an entanglement measure it is related to specific quantum Rényi-αentropy. In the work, we propose a parameterized bipartite entanglement measure based on the general Rényi-αentropy, which is namedα-logarithmic concurrence. This measure, different from existing parameterized measures, is defined first for pure states, then extended to the mixed states. Furthermore, we verify three necessary conditions forα-logarithmic concurrence to satisfy the entanglement measures. We show that this measure is easy to calculate for pure states. However, for mixed states, analytical calculations are only suitable for special two-qubit states or special higher-dimensional mixed states. Therefore, we devote our efforts to developing the analytical lower bound of the-logarithmic concurrence for general bipartite states. Surprisingly, this lower bound is a function on positive partial transposition criterion and realignment criterion of this mixed state. This shows the connection among the three entanglement measures. The interesting feature is that the lower bound depends on the entropy parameter associated with the detailed state. This allows us to choose appropriate parameterαsuch that
\begin{document}$ G_\alpha({\boldsymbol{\rho}})\gg0$\end{document}
for experimental entanglement detection of specific stateρ. Moreover, we calculate expressions of theα-logarithmic concurrence for isotropic states, and give a the analytic expressions for isotropic states with
\begin{document}$ d = 2$\end{document}
. Finally, the monogamy of theα-logarithmic concurrence is also discussed. We set up a mathematical formulation for the monogamous property in terms ofα-logarithmic concurrence. Here we set up the functional relation between concurrence andα-logarithmic concurrence in two qubit systems. Then we obtain some useful properties of this function, and by combining the Coffman–Kundu–Wootters (CKW) inequality, we establish the monogamy inequality aboutα-logarithmic concurrence. We finally prove that the monogamy inequality holds true forα-logarithmic concurrence.
Parameterized entanglement measures have demonstrated their superiority compared with kinds of unparameterized entanglement measures. Entanglement concurrence has been widely used to describe entanglement in quantum experiments. As an entanglement measure it is related to specific quantum Rényi-αentropy. In the work, we propose a parameterized bipartite entanglement measure based on the general Rényi-αentropy, which is namedα-logarithmic concurrence. This measure, different from existing parameterized measures, is defined first for pure states, then extended to the mixed states. Furthermore, we verify three necessary conditions forα-logarithmic concurrence to satisfy the entanglement measures. We show that this measure is easy to calculate for pure states. However, for mixed states, analytical calculations are only suitable for special two-qubit states or special higher-dimensional mixed states. Therefore, we devote our efforts to developing the analytical lower bound of the-logarithmic concurrence for general bipartite states. Surprisingly, this lower bound is a function on positive partial transposition criterion and realignment criterion of this mixed state. This shows the connection among the three entanglement measures. The interesting feature is that the lower bound depends on the entropy parameter associated with the detailed state. This allows us to choose appropriate parameterαsuch that
2024, 73(4): 040304.
doi:10.7498/aps.73.20231138
Abstract:
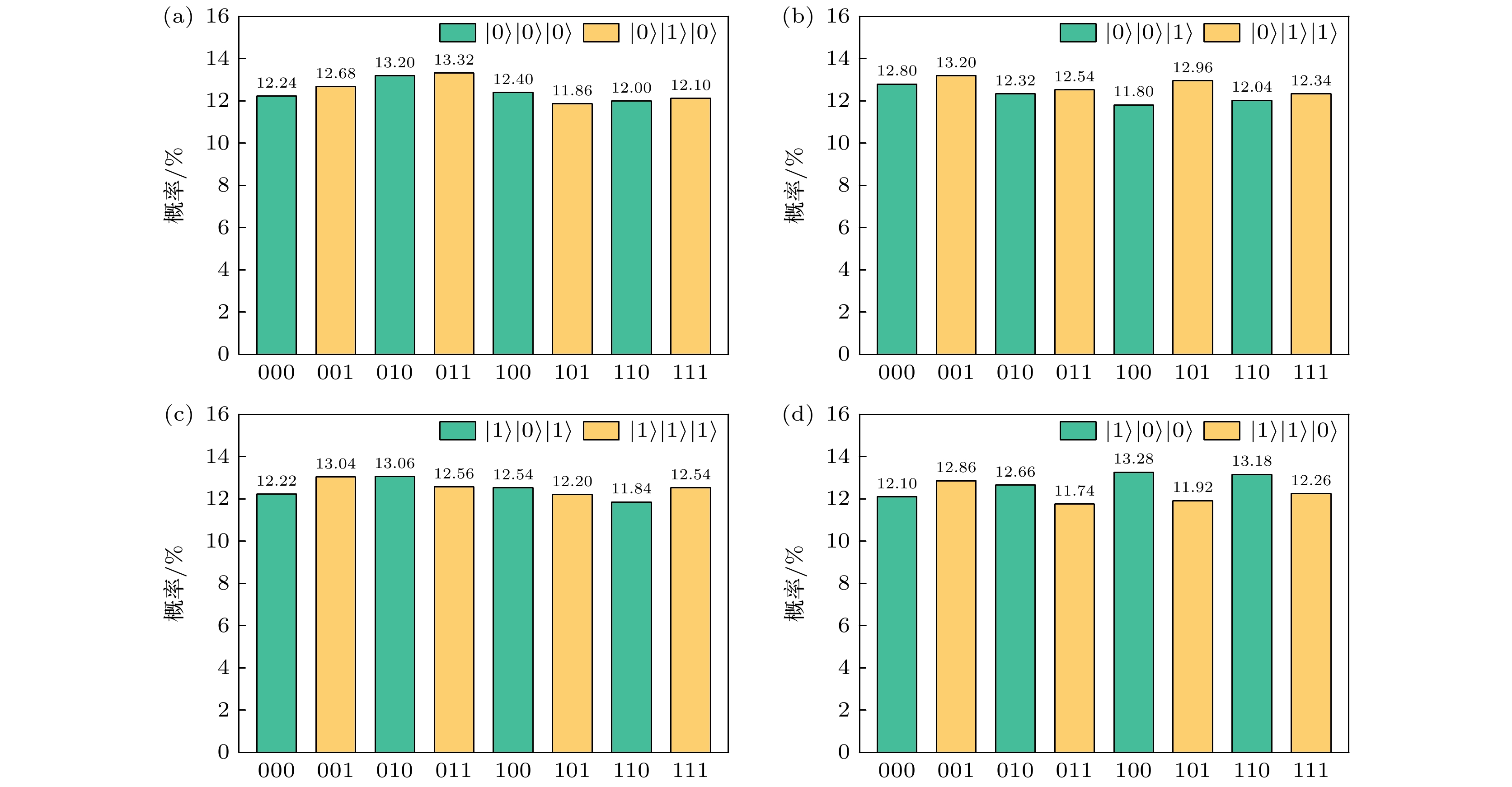
As its parallel processing ability, quantum computing has an exponential acceleration over classical computing. However, quantum systems are fragile and susceptible to noise. Quantum error correction code is an effective means to overcome quantum noise. Quantum surface codes are topologically stable subcodes that have great potential for large-scale fault-tolerant quantum computing because of their structural nearest neighbor characteristics and high fault-tolerance thresholds. The existing boundary-based surface codes can encode one logical qubit. This paper mainly studies how to implement multi-logical-qubits encoding based on the boundary, including designing the structure of the surface code, finding out the corresponding stabilizers and logical operations according to the structure, and further designing the coding circuit based on the stabilizers. After research on the single qubit CNOT implementation principle based on measurement and correcting and the logic CNOT implementation based on fusion and segmentation, we further optimized implementation scheme of the logic CNOT implementation based on fusion and segmentation. The scheme is extended to the designed multi-logical-qubits surface code to realize the CNOT operation between the multi-logical-qubits surface codes, and the correctness of the quantum circuit is verified by simulation. The multi-logical-qubits surface code designed in this paper overcomes the disadvantage that the single-logical-qubit surface code can not be densely embedded in the quantum chip, improves the length of some logical operations, and increases the fault tolerance ability. The idea of joint measurement reduces the requirement for ancilla qubits and reduces the demand for quantum resources in the implementation process.
As its parallel processing ability, quantum computing has an exponential acceleration over classical computing. However, quantum systems are fragile and susceptible to noise. Quantum error correction code is an effective means to overcome quantum noise. Quantum surface codes are topologically stable subcodes that have great potential for large-scale fault-tolerant quantum computing because of their structural nearest neighbor characteristics and high fault-tolerance thresholds. The existing boundary-based surface codes can encode one logical qubit. This paper mainly studies how to implement multi-logical-qubits encoding based on the boundary, including designing the structure of the surface code, finding out the corresponding stabilizers and logical operations according to the structure, and further designing the coding circuit based on the stabilizers. After research on the single qubit CNOT implementation principle based on measurement and correcting and the logic CNOT implementation based on fusion and segmentation, we further optimized implementation scheme of the logic CNOT implementation based on fusion and segmentation. The scheme is extended to the designed multi-logical-qubits surface code to realize the CNOT operation between the multi-logical-qubits surface codes, and the correctness of the quantum circuit is verified by simulation. The multi-logical-qubits surface code designed in this paper overcomes the disadvantage that the single-logical-qubit surface code can not be densely embedded in the quantum chip, improves the length of some logical operations, and increases the fault tolerance ability. The idea of joint measurement reduces the requirement for ancilla qubits and reduces the demand for quantum resources in the implementation process.
2024, 73(4): 040401.
doi:10.7498/aps.73.20231463
Abstract:
Lorentz-breaking theory not only affects the curved space-time background, but also corrects the dynamic equations of bosons and fermions in curved space-time to some extent. Therefore, we need to make appropriate corrections to the quantum tunneling radiation of bosons and fermions in different black hole spacetimes. New expressions of black hole Hawking temperature and other physical quantities modified by Lorentz-breaking theory and their physical meanings are obtained. According to the Kerr-Sen-like (KSL) black hole spacetime metric obtained from Einstein-Bumblebee gravitational theory, by introducing the correction term of the aether-like field vector into the scalar field action and the d’Alembert operator in curved spacetime, and applying the variational principle to curved spacetime, the Lorentz-breaking correction term in the spacetime metric and the new form of the dynamic equation of the bosons with zero spin in KSL spacetime are studied. By correctly selecting the aether-like field vector corresponding to the KSL spacetime metric and solving the modified bosons dynamic equation, the modified quantum tunneling rate is obtained. On this basis, the Hawking temperature and the Bekenstein-Hawking entropy of the black hole with Lorentz-breaking correction term are studied. The effects of Lorentz-breaking theory on the distribution of positive and negative energy levels of bosons and the maximum crossing of energy levels are also studied, and then the condition of quantum non-thermal radiation in the black hole space-time is studied. Finally, the physical significance of a series of results obtained in this work is discussed in depth. The results show that the modified form of the bosons dynamic equation in curved spacetime, with Lorentz-breaking theory taken into account, is shown in Eqs. (26) and (27). The new expressions of the quantum tunneling rate, Bekenstein-Hawking entropy, Hawking temperature and quantum non-thermal radiation energy range of KSL black hole are obtained by applying Eq. (26) to KSL black hole space-time. These results are useful for studying the quantum tunneling radiation characteristics of black holes. It should be noted that the above research results are obtained under the WKB theory and in the semiclassical case. If the effects of different powers of Planck are considered, the above research methods and related results need to be used for conducting further modified research by using the transcendental semi-classical theory.
Lorentz-breaking theory not only affects the curved space-time background, but also corrects the dynamic equations of bosons and fermions in curved space-time to some extent. Therefore, we need to make appropriate corrections to the quantum tunneling radiation of bosons and fermions in different black hole spacetimes. New expressions of black hole Hawking temperature and other physical quantities modified by Lorentz-breaking theory and their physical meanings are obtained. According to the Kerr-Sen-like (KSL) black hole spacetime metric obtained from Einstein-Bumblebee gravitational theory, by introducing the correction term of the aether-like field vector into the scalar field action and the d’Alembert operator in curved spacetime, and applying the variational principle to curved spacetime, the Lorentz-breaking correction term in the spacetime metric and the new form of the dynamic equation of the bosons with zero spin in KSL spacetime are studied. By correctly selecting the aether-like field vector corresponding to the KSL spacetime metric and solving the modified bosons dynamic equation, the modified quantum tunneling rate is obtained. On this basis, the Hawking temperature and the Bekenstein-Hawking entropy of the black hole with Lorentz-breaking correction term are studied. The effects of Lorentz-breaking theory on the distribution of positive and negative energy levels of bosons and the maximum crossing of energy levels are also studied, and then the condition of quantum non-thermal radiation in the black hole space-time is studied. Finally, the physical significance of a series of results obtained in this work is discussed in depth. The results show that the modified form of the bosons dynamic equation in curved spacetime, with Lorentz-breaking theory taken into account, is shown in Eqs. (26) and (27). The new expressions of the quantum tunneling rate, Bekenstein-Hawking entropy, Hawking temperature and quantum non-thermal radiation energy range of KSL black hole are obtained by applying Eq. (26) to KSL black hole space-time. These results are useful for studying the quantum tunneling radiation characteristics of black holes. It should be noted that the above research results are obtained under the WKB theory and in the semiclassical case. If the effects of different powers of Planck are considered, the above research methods and related results need to be used for conducting further modified research by using the transcendental semi-classical theory.
2024, 73(4): 040503.
doi:10.7498/aps.73.20231343
Abstract:
A strongly coupled oscillator can be used to detect weak pulse signals and recover waveforms, but its detection frequency of weak pulse signal is limited by the system’s built-in frequency. With a fixed built-in frequency, the system can only effectively detect and recover pulse signals in a certain frequency range, and waveform distortion occurs when pulse signals of higher frequencies are detected. In this work, the relationship between the built-in frequency of the coupled oscillator and the frequency detection range of weak pulse signal is analyzed, and two kinds of improved strongly coupled oscillator structures are proposed to extend the frequency detection range of weak pulse signals. By introducing the nonlinear restoring force coupling term, the nonlinear restoring force strongly coupled oscillator can effectively retain the high-frequency component of the signal, and can also better retain the signal characteristics when the pulse signal is input at a higher frequency. By introducing the Van der Pol-Duffing oscillator, the two-oscillator strong coupling system strengthens the stability of the internal structure of the system, and also achieves the effect of expanding the frequency detection range of the pulse signal. In addition, based on the variable iteration step size and frequency correlation of chaos detection, a method of detecting unknown frequency pulse signals is proposed. Instead of changing the built-in frequency of the system for frequency scanning, the method of changing the iteration step size is used. And using the frequency correlation of chaos detection, the correlation coefficient of the received signal and the recovered signal is compared with the correlation coefficient of the pure noise input case, then the pulse signals can be effectively detected based on the apparent difference between the two correlation coefficients. It is verified by simulation experiments that the proposed method can effectively detect the pulse signal of unknown frequency, and the proposed improved strong coupling oscillator has a greater performance improvement than that of the strong coupling oscillator.
A strongly coupled oscillator can be used to detect weak pulse signals and recover waveforms, but its detection frequency of weak pulse signal is limited by the system’s built-in frequency. With a fixed built-in frequency, the system can only effectively detect and recover pulse signals in a certain frequency range, and waveform distortion occurs when pulse signals of higher frequencies are detected. In this work, the relationship between the built-in frequency of the coupled oscillator and the frequency detection range of weak pulse signal is analyzed, and two kinds of improved strongly coupled oscillator structures are proposed to extend the frequency detection range of weak pulse signals. By introducing the nonlinear restoring force coupling term, the nonlinear restoring force strongly coupled oscillator can effectively retain the high-frequency component of the signal, and can also better retain the signal characteristics when the pulse signal is input at a higher frequency. By introducing the Van der Pol-Duffing oscillator, the two-oscillator strong coupling system strengthens the stability of the internal structure of the system, and also achieves the effect of expanding the frequency detection range of the pulse signal. In addition, based on the variable iteration step size and frequency correlation of chaos detection, a method of detecting unknown frequency pulse signals is proposed. Instead of changing the built-in frequency of the system for frequency scanning, the method of changing the iteration step size is used. And using the frequency correlation of chaos detection, the correlation coefficient of the received signal and the recovered signal is compared with the correlation coefficient of the pure noise input case, then the pulse signals can be effectively detected based on the apparent difference between the two correlation coefficients. It is verified by simulation experiments that the proposed method can effectively detect the pulse signal of unknown frequency, and the proposed improved strong coupling oscillator has a greater performance improvement than that of the strong coupling oscillator.
2024, 73(4): 040701.
doi:10.7498/aps.73.20231505
Abstract:
In response to the growing demand for miniaturized ultrafast pulsed X-ray sources in the fields of fundamental science and space applications, we design and develop an ultrafast pulsed X-ray generator based on a laser-modulated light source and a photoelectric cathode. This innovative technology addresses the limitations commonly encountered in traditional X-ray emission devices, such as low repetition rate, insufficient time stability, and suboptimal pulse characteristics.
Our effort is to study and develop the ultrafast modulation control module for the pulsed X-ray generator. This effort results in achieving high levels of time accuracy and stability in ultrafast time-varying photon signals. Moreover, we successfully generate nanosecond pulsed X-rays by using a laser-controlled light source.
Theoretically, we establish a comprehensive time response model for the pulsed X-ray generator in response to short pulses. This includes a thorough analysis of the time characteristics of the emitted pulsed X-rays in the time domain. Experimentally, we conduct a series of tests related to various time-related parameters of the laser-controlled light source. Additionally, we design and implemente an experimental test system for assessing the time characteristics of pulsed X-rays, by using an ultrafast scintillation detector.
The experimental results clearly demonstrate that our pulsed X-ray generator achieves impressive capabilities, including high repetition rates (12.5 MHz), ultrafast pulses (4 ns), and exceptional time stability (400 ps) in X-ray emission. These results closely align with our established theoretical model. Compared with traditional modulation techniques, our system exhibits significant improvement in pulse time parameters, thereby greatly expanding its potential applications.
This research provides a valuable insight into achieving ultra-high time stability and ultrafast pulsed X-ray emission sources. These advances will further enhance the capabilities of X-ray technology for scientific research and space applications.
2024, 73(4): 040502.
doi:10.7498/aps.73.20231549
Abstract:
Spiral waves are common in nature and have received a lot of attention. Spiral wave is the source of ventricular tachycardia and fibrillation, and pinned spiral wave is less likely to be eliminated than free spiral wave. Therefore, it is important to find an effective method to control the pinned spiral wave. In this work, we investigate the feedback control approach to eliminating pinned spiral wave based on the lattice Boltzmann method, by using the FitzHugh-Nagumo model as an object. The numerical results show that the feedback control method has a good control effect on the pinned spiral wave no matter whether it is pinned on a circular or rectangular obstacle. In addition, the excitability coefficient, amplitude of feedback control, recording feedback signal time and obstacle size are systematically investigated by numerical simulation. The study shows that there are three cases of pinned spiral wave cancellation. Firstly, the amplitude of feedback control and excitability coefficient are related to the time required to eliminate the pinned spiral wave, and the larger the amplitude of feedback control signal or the smaller the excitability coefficient, the faster the cancellation of the pinned spiral waveis. Secondly, the size of the obstacle and the excitability coefficient affect the time interval between the time of recording the feedback signal and the time of adding the feedback control that can successfully control the pinned spiral wave. Finally, the recorded feedback signal time affects the minimum amplitude of feedback control required to successfully eliminate the pinned spiral wave, while the added feedback control time is constant. According to the discussion in this paper, it can be seen that the feedback control method has a good control effect on the pinned spiral wave.
Spiral waves are common in nature and have received a lot of attention. Spiral wave is the source of ventricular tachycardia and fibrillation, and pinned spiral wave is less likely to be eliminated than free spiral wave. Therefore, it is important to find an effective method to control the pinned spiral wave. In this work, we investigate the feedback control approach to eliminating pinned spiral wave based on the lattice Boltzmann method, by using the FitzHugh-Nagumo model as an object. The numerical results show that the feedback control method has a good control effect on the pinned spiral wave no matter whether it is pinned on a circular or rectangular obstacle. In addition, the excitability coefficient, amplitude of feedback control, recording feedback signal time and obstacle size are systematically investigated by numerical simulation. The study shows that there are three cases of pinned spiral wave cancellation. Firstly, the amplitude of feedback control and excitability coefficient are related to the time required to eliminate the pinned spiral wave, and the larger the amplitude of feedback control signal or the smaller the excitability coefficient, the faster the cancellation of the pinned spiral waveis. Secondly, the size of the obstacle and the excitability coefficient affect the time interval between the time of recording the feedback signal and the time of adding the feedback control that can successfully control the pinned spiral wave. Finally, the recorded feedback signal time affects the minimum amplitude of feedback control required to successfully eliminate the pinned spiral wave, while the added feedback control time is constant. According to the discussion in this paper, it can be seen that the feedback control method has a good control effect on the pinned spiral wave.
2024, 73(4): 040501.
doi:10.7498/aps.73.20231605
Abstract:
Due to the rapid advancement of quantum information theory, some concepts such as fidelity and entanglement entropy have been introduced into the study of quantum phase transitions, which can be used not only to identify novel matter phases but also to detect the critical point and describe the critical behavior of the quantum phase transitions. From the point of view of the metric space, these physical quantities can be understood as the distance between the two functions in the metric space. In this work, we study a class of quasi-periodic system represented by the generalized Aubry-André-Harper (AAH) model, by using the distance between various wavefunctions or density distribution functions in real space. The generalized AAH model, an ideal platform to understand Anderson localization and other novel quantum phenomena, provides rich phase diagrams including extended, localized, even critical (multifractal) phases and can be realized in a variety of experimental platforms. In the standard AAH model, we find that the extended and localized phases can be identified. In addition, there exists a one-to-one correspondence between two distinct distances. We are able to precisely identify the critical point and compute the critical exponent by fitting the numerical results of different system sizes. In the off-diagonal AAH model, a complete phase diagram including extended phase, localized phase, and critical phase is obtained and the distance of critical phases is intermediate between the localized phase and extended phase. Meanwhile, we apply the metric space method to the wave packet propagation and discover that depending on the phase, the distance between wave functions or density functions exhibits varying dynamical evolution behavior, which is characterized by the exponent of the power-law relationship varying with time. Finally, the distance between the state density distribution functions is proposed, and it effectively identifies distinct matter phases and critical points. The critical phase which displays a multifractal structure, when compared with the other two phases, has the large state density distribution function distance. In a word, by defining the distances of a function under different parameters, we provide not only a physical quantity to identify familiar phase transitions but also an intuitive way to identify different matter phases of unknown systems, phase transition points, and their critical behaviors.
Due to the rapid advancement of quantum information theory, some concepts such as fidelity and entanglement entropy have been introduced into the study of quantum phase transitions, which can be used not only to identify novel matter phases but also to detect the critical point and describe the critical behavior of the quantum phase transitions. From the point of view of the metric space, these physical quantities can be understood as the distance between the two functions in the metric space. In this work, we study a class of quasi-periodic system represented by the generalized Aubry-André-Harper (AAH) model, by using the distance between various wavefunctions or density distribution functions in real space. The generalized AAH model, an ideal platform to understand Anderson localization and other novel quantum phenomena, provides rich phase diagrams including extended, localized, even critical (multifractal) phases and can be realized in a variety of experimental platforms. In the standard AAH model, we find that the extended and localized phases can be identified. In addition, there exists a one-to-one correspondence between two distinct distances. We are able to precisely identify the critical point and compute the critical exponent by fitting the numerical results of different system sizes. In the off-diagonal AAH model, a complete phase diagram including extended phase, localized phase, and critical phase is obtained and the distance of critical phases is intermediate between the localized phase and extended phase. Meanwhile, we apply the metric space method to the wave packet propagation and discover that depending on the phase, the distance between wave functions or density functions exhibits varying dynamical evolution behavior, which is characterized by the exponent of the power-law relationship varying with time. Finally, the distance between the state density distribution functions is proposed, and it effectively identifies distinct matter phases and critical points. The critical phase which displays a multifractal structure, when compared with the other two phases, has the large state density distribution function distance. In a word, by defining the distances of a function under different parameters, we provide not only a physical quantity to identify familiar phase transitions but also an intuitive way to identify different matter phases of unknown systems, phase transition points, and their critical behaviors.
2024, 73(4): 045201.
doi:10.7498/aps.73.20231369
Abstract:
In the etching process, a bias source is usually applied to the substrate of the inductively coupled plasma (ICP) to realize independent modulation of the ion energy and ion flux. In this work, a hybrid model, i.e. a global model combined bi-directionally with a fluid sheath model, is employed to investigate the plasma properties and ion energy distribution function (IEDF) in biased inductively coupled Ar/O2/Cl2plasmas. The results indicate that at a bias frequency of 2.26 MHz, the Cl–ion density and ClO+ion density first increase with bias voltage rising, and then they decrease, and finally they rise again, which is different from the densities of other charged species, such as O and Cl atoms. At the bias frequency of 13.56 MHz and 27.12 MHz, except Cl–and
\begin{document}$ {\text{Cl}}_2^ + $\end{document}
ions, the evolutions of other species densities with bias voltage are similar to the results at lower bias frequency. The evolution of the species densities with bias frequency depends on the bias voltage. For instance, in the low bias voltage range (< 200 V), the densities of charges species, O and Cl atoms increase with bias frequency increasing due to a significant increase in the heating of the plasma by the bias source. However, when the bias voltage is high, say, higher than 300 V, except
\begin{document}$ {\text{Cl}}_2^ + $\end{document}
and Cl–ions, the densities of other charged species, O and Cl atoms first decrease with bias frequency increasing and then they increase due to a decrease and then an increase in the heating of the plasma by the bias source. In addition, as the bias frequency increases, the peak separation of IEDF becomes narrow, the high energy peak and low energy peak approach each other and they almost merge into one peak at high bias frequency. The results obtained in this work are of significant importance in improving the etching process.
In the etching process, a bias source is usually applied to the substrate of the inductively coupled plasma (ICP) to realize independent modulation of the ion energy and ion flux. In this work, a hybrid model, i.e. a global model combined bi-directionally with a fluid sheath model, is employed to investigate the plasma properties and ion energy distribution function (IEDF) in biased inductively coupled Ar/O2/Cl2plasmas. The results indicate that at a bias frequency of 2.26 MHz, the Cl–ion density and ClO+ion density first increase with bias voltage rising, and then they decrease, and finally they rise again, which is different from the densities of other charged species, such as O and Cl atoms. At the bias frequency of 13.56 MHz and 27.12 MHz, except Cl–and
2024, 73(4): 042101.
doi:10.7498/aps.73.20231531
Abstract:
The interactions between hyperon-nucleon and hyperon-hyperon have been an important topic in strangeness nuclear physics, which play an important role in understanding the properties of hypernuclei and equation of state of strangeness nuclear matter. It is very difficult to perform a direct scattering experiment of the nucleon and hyperon because the short lifetime of the hyperon. Therefore, the hyperon-nucleon interaction and the hyperon-hyperon interaction have been mainly investigated experimentally by
\begin{document}$\gamma$\end{document}
spectroscopy of single-
\begin{document}$\Lambda$\end{document}
hypernuclei or double-
\begin{document}$\Lambda$\end{document}
hypernuclei. There are also many theoretical methods developed to describe the properties of hypernuclei. Most of these models focus mostly on the ground state properties of hypernuclei, and have given exciting results in producing the banding energy, the energy of single-particle levels, deformations, and other properties of hypernuclei. Only a few researches adopting Skyrme energy density functionals is devoted to the study of the collective excitation properties of hypernuclei. In present work, we have extended the relativistic mean field and relativistic random phase approximation theories to study the collective excitation properties of hypernuclei, and use the methods to study the isoscalar collective excited state properties of double
\begin{document}$\Lambda$\end{document}
hypernuclei. First, the effect of
\begin{document}$\Lambda$\end{document}
hyperons on the single-particle energy of16O and
\begin{document}$^{18}_{\Lambda\Lambda}{\rm{O}}$\end{document}
are discussed in the relativistic mean field theory, the calculations are performed within TM1 parameter set and related hyperon-nucleon interaction, and hyperon-hyperon interaction. We find that it gives a larger attractive effect on the
\begin{document}${{\mathrm{s}}}_{1/2}$\end{document}
state of proton and neutron, while gives a weaker attractive effect on the state around Fermi surface. The self-consistent relativistic random phase approximation is used to study the collectively excited state properties of hypernucleus
\begin{document}$^{18}_{\Lambda\Lambda}{\rm{O}}$\end{document}
. The isoscalar giant monopole resonance and quadrupole resonance are calculated and analysed in detail, we pay more attention to the effect of the inclusion of
\begin{document}$\Lambda$\end{document}
hyperons on the properties of giant resonances. Comparing with the strength distributions of16O, changes of response function of
\begin{document}$^{18}_{\Lambda\Lambda}{\rm{O}}$\end{document}
are evidently found both on the isoscalar giant monopole resonance and quadrupole resonance. It is shown that the difference comes mainly from the change of Hartree energy of particle-hole configuration and the contribution of the excitations of
\begin{document}$\Lambda$\end{document}
hyperons. We find that the hyperon-hyperon residual interactions have small effect on the monopole resonance function and quadrupole response function in the low-energy region, and have almost no effect on the response functions in the high-energy region.
The interactions between hyperon-nucleon and hyperon-hyperon have been an important topic in strangeness nuclear physics, which play an important role in understanding the properties of hypernuclei and equation of state of strangeness nuclear matter. It is very difficult to perform a direct scattering experiment of the nucleon and hyperon because the short lifetime of the hyperon. Therefore, the hyperon-nucleon interaction and the hyperon-hyperon interaction have been mainly investigated experimentally by
2024, 73(4): 042801.
doi:10.7498/aps.73.20231493
Abstract:
The global tally problem has a wide range of applications in major research fields such as Monte Carlo simulations of pin-by-pin reactor models and time-dependent particle transport problems in multi-physics coupling calculations. Due to the uneven power distribution of the simulated system, the statistical errors of all tallies are unevenly distributed, resulting in some low global efficiency. For this kind of problem with global characteristics, it is necessary to develop global variance reduction techniques to obtain the accurate distribution of target tallies in the entire space. A large number of global variance reduction algorithms have been studied based on the consideration of flattening global tally error distribution, so as to improve global efficiency. This work focuses on the combination of two efficient global variance reduction algorithms, namely, the uniform tally density algorithm and the weight window algorithm, which belong to source bias and transport process bias, respectively. In tally, a method is proposed to adjust the weight window parameters by using the bias factor of the uniform tally density algorithm. Then, the weight window method will be used to reduce the weight fluctuation caused by the uniform tally density method. In this way, an organic combination of these two algorithms can be realized. A series of comparative tests are carried out based on the Hoogenboom-Martin pressurized water reactor benchmark, and it is verified that the hybrid global variance reduction algorithm proposed in this work is better than the single weight window algorithm or the uniform tally density algorithm. In terms of reducing the maximum error, the global efficiency of the hybrid algorithm is 2.6 times and 3 times that of the weight window algorithm and the uniform tally density algorithm, respectively. In addition, through the comparative analysis of computational asymmetry degree and computational efficiency, it is verified that the uniform tally density algorithm has better performance than the classical uniform fission site algorithm, and the performance advantages of the uniform tally density algorithm are quantitatively evaluated based on some new indicators. The results show that the hybrid global variance reduction algorithm proposed in this work can solve the global tally problem efficiently, thereby further promoting research in related fields.
The global tally problem has a wide range of applications in major research fields such as Monte Carlo simulations of pin-by-pin reactor models and time-dependent particle transport problems in multi-physics coupling calculations. Due to the uneven power distribution of the simulated system, the statistical errors of all tallies are unevenly distributed, resulting in some low global efficiency. For this kind of problem with global characteristics, it is necessary to develop global variance reduction techniques to obtain the accurate distribution of target tallies in the entire space. A large number of global variance reduction algorithms have been studied based on the consideration of flattening global tally error distribution, so as to improve global efficiency. This work focuses on the combination of two efficient global variance reduction algorithms, namely, the uniform tally density algorithm and the weight window algorithm, which belong to source bias and transport process bias, respectively. In tally, a method is proposed to adjust the weight window parameters by using the bias factor of the uniform tally density algorithm. Then, the weight window method will be used to reduce the weight fluctuation caused by the uniform tally density method. In this way, an organic combination of these two algorithms can be realized. A series of comparative tests are carried out based on the Hoogenboom-Martin pressurized water reactor benchmark, and it is verified that the hybrid global variance reduction algorithm proposed in this work is better than the single weight window algorithm or the uniform tally density algorithm. In terms of reducing the maximum error, the global efficiency of the hybrid algorithm is 2.6 times and 3 times that of the weight window algorithm and the uniform tally density algorithm, respectively. In addition, through the comparative analysis of computational asymmetry degree and computational efficiency, it is verified that the uniform tally density algorithm has better performance than the classical uniform fission site algorithm, and the performance advantages of the uniform tally density algorithm are quantitatively evaluated based on some new indicators. The results show that the hybrid global variance reduction algorithm proposed in this work can solve the global tally problem efficiently, thereby further promoting research in related fields.
2024, 73(4): 043101.
doi:10.7498/aps.73.20231570
Abstract:
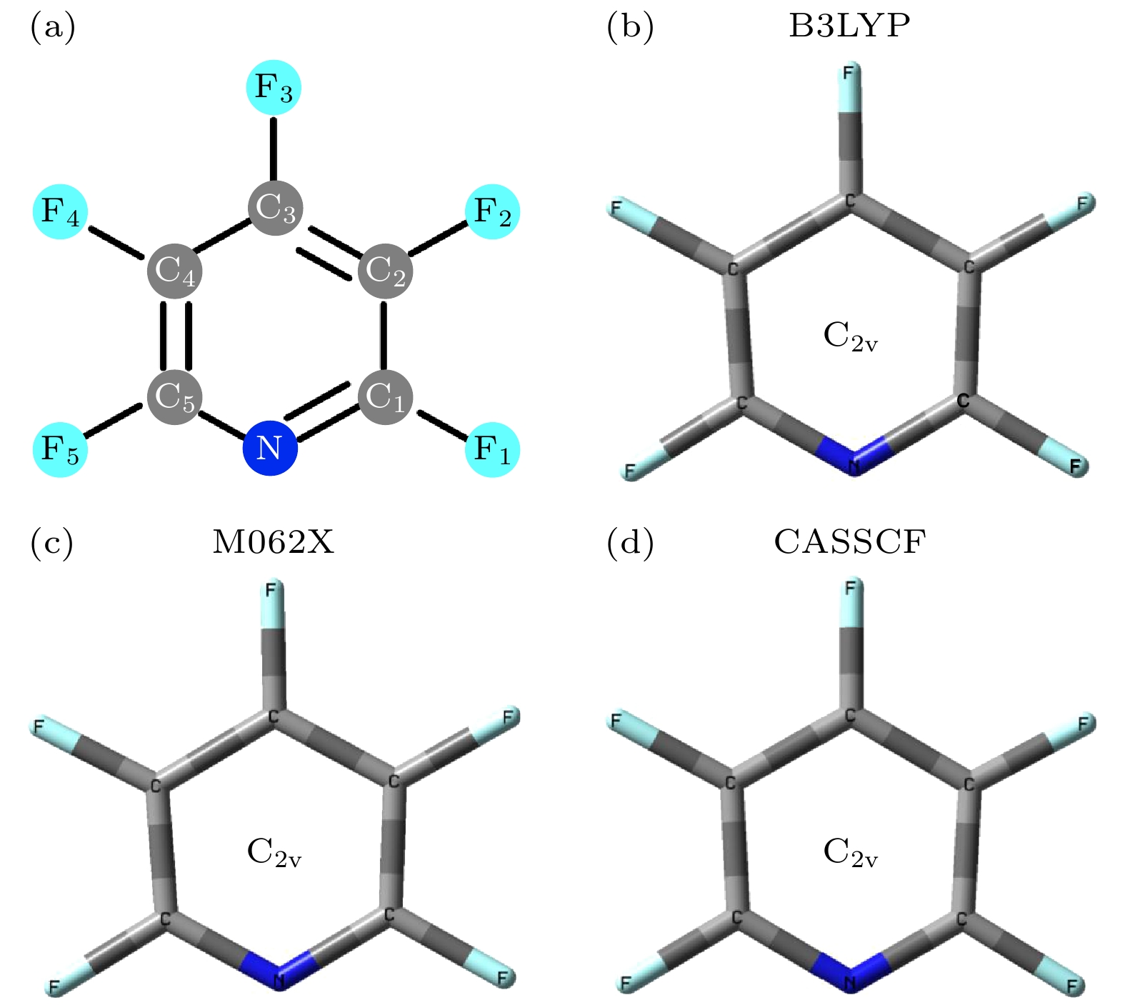
In this work, the molecular structure and energy of some critical points in nonradiative relaxation process of the excited state of pentafluoropyridine are studied through quantum chemistry calculation. The structures and the vertical excitation energies and adiabatic excitation energies of the ground state and two lowest exited states are calculated. The geometry of the ground state is a planar structure with C2vsymmetry, while the geometries of the two lowest excited states are half-boat structures with out-of-plane distortions. Furthermore, the topology structures and energy of the conical intersections of S2/S1, S1/S0and S2/S0are determined. The topology structures of the conical intersections S2/S1, S1/S0and S2/S0in the branching space are all peaked with asymmetric structures, and are determined to be structure of boat, half-boat, and chair, respectively. Their corresponding energy values are estimated at 6.39, 5.16 and 8.51 eV, respectively. The results show that the primary non-adiabatic relaxation pathway is the wavepacket of the S2state rapidly evolving into the S1state via the S2/S1, and then directly relaxing to the ground state via the S1/S0. In addition, the probability of directly relaxing to the ground state through S2/S0is smaller.
In this work, the molecular structure and energy of some critical points in nonradiative relaxation process of the excited state of pentafluoropyridine are studied through quantum chemistry calculation. The structures and the vertical excitation energies and adiabatic excitation energies of the ground state and two lowest exited states are calculated. The geometry of the ground state is a planar structure with C2vsymmetry, while the geometries of the two lowest excited states are half-boat structures with out-of-plane distortions. Furthermore, the topology structures and energy of the conical intersections of S2/S1, S1/S0and S2/S0are determined. The topology structures of the conical intersections S2/S1, S1/S0and S2/S0in the branching space are all peaked with asymmetric structures, and are determined to be structure of boat, half-boat, and chair, respectively. Their corresponding energy values are estimated at 6.39, 5.16 and 8.51 eV, respectively. The results show that the primary non-adiabatic relaxation pathway is the wavepacket of the S2state rapidly evolving into the S1state via the S2/S1, and then directly relaxing to the ground state via the S1/S0. In addition, the probability of directly relaxing to the ground state through S2/S0is smaller.
2024, 73(4): 043102.
doi:10.7498/aps.73.20230904
Abstract:
The two-dimensional (2D) semiconductor material of InSe has received much attention due to its excellent electrical properties and moderate adjustable bandgap. The vacancy defects in the material affect not only the optical and electrical properties, but also the environmental stability. Compared with other phases in InSe materials,δ-InSe has superior material properties, however, the effect of environment on this material stabilityhas not been reported. In this work, we systematically investigate the stability of 2Dδ-InSe material under oxygen environment based on density functional theory. The results are shown below. Firstly, in an oxygen environment, the perfectδ-InSe surface exhibits good inertness and stability, for O2molecules need to overcome an exceptionally high energy barrier of 1.827 eV from physical adsorption to chemical adsorption on its surface. Secondly, the presence of Se vacancies (VSe) promotes the oxidation reaction ofδ-InSe, which only requires overcoming a low energy barrier of 0.044 eV. This suggests that the stability ofδ-InSe in an oxygen environment is significantly reduced because of the presence of VSe. The O2molecules oxidizedδ-InSe monolayer is beneficial to the dissociation and adsorption of H2O molecules. Finally, the oxidation rate ofδ-InSe with In vacancies (VIn) is slower, with the adsorption energy and charge transfer involved in the physical adsorption of O2molecules on the VInsurface being similar to those on a perfect surface. The oxidation process needs to overcome a higher energy barrier of 1.234 eV. The findings of this study will provide theoretical guidance for better understanding the oxidation behavior of single vacancy defects in monolayerδ-InSe, and reference for experimental preparation of high-reliability 2Dδ-InSe devices.
The two-dimensional (2D) semiconductor material of InSe has received much attention due to its excellent electrical properties and moderate adjustable bandgap. The vacancy defects in the material affect not only the optical and electrical properties, but also the environmental stability. Compared with other phases in InSe materials,δ-InSe has superior material properties, however, the effect of environment on this material stabilityhas not been reported. In this work, we systematically investigate the stability of 2Dδ-InSe material under oxygen environment based on density functional theory. The results are shown below. Firstly, in an oxygen environment, the perfectδ-InSe surface exhibits good inertness and stability, for O2molecules need to overcome an exceptionally high energy barrier of 1.827 eV from physical adsorption to chemical adsorption on its surface. Secondly, the presence of Se vacancies (VSe) promotes the oxidation reaction ofδ-InSe, which only requires overcoming a low energy barrier of 0.044 eV. This suggests that the stability ofδ-InSe in an oxygen environment is significantly reduced because of the presence of VSe. The O2molecules oxidizedδ-InSe monolayer is beneficial to the dissociation and adsorption of H2O molecules. Finally, the oxidation rate ofδ-InSe with In vacancies (VIn) is slower, with the adsorption energy and charge transfer involved in the physical adsorption of O2molecules on the VInsurface being similar to those on a perfect surface. The oxidation process needs to overcome a higher energy barrier of 1.234 eV. The findings of this study will provide theoretical guidance for better understanding the oxidation behavior of single vacancy defects in monolayerδ-InSe, and reference for experimental preparation of high-reliability 2Dδ-InSe devices.
2024, 73(4): 043201.
doi:10.7498/aps.73.20231477
Abstract:
The physical process and experimental phenomena of the interaction between highly charged heavy ions and atoms are very complex, particularly in the intermediate energy region, because of the limitation of accelerator and existing theoretical analysis, less systematic researches, incomplete atomic data, and not so high accuracy. The research of celestial element X-ray data is more scarce and the research of X-ray data of celestial elements is even more scarce. Helium-like C ions with 15–55 MeV kinetic energy provided by the HI-13 MV series accelerator of the China Institute of Atomic Energy are used to bombard Fe, Ni, Nb and Mo thick targets. The HpGe detectors are used to measure the K-X ray emission, and the corresponding K-X ray emission cross sections are obtained. Due to the different ionization degrees of the shell layers of various target atoms, the branching intensity ratio of Kβto KαX rays emitted by Helium-like C ions interacting with Fe and Ni target atoms decreases with the increase of the kinetic energy of the incident ions, while the branching intensity ratio of K-X rays emitted by Nb and Mo target atoms does not change significantly. The K-X ray emission cross section of target atom is calculated by using the formula of thick target cross section, and compared with the results of different theoretical models and proton. The results show that with the increase of the kinetic energy of helium-like C ions, the total emission cross section of the Kβand KαX ray emitted from Fe and Ni target atoms are most consistent with the BEA correction model considering multiple ionization, and the total emission cross section of Kβand KαX ray emitted from Nb and Mo target atoms are closest to the theoretical values of PWBA model. When the energy of proton is the same as that of single nucleon C ion, the cross section of K-X ray produced by proton is about three orders of magnitude smaller than that produced by helium-like C ion.
The physical process and experimental phenomena of the interaction between highly charged heavy ions and atoms are very complex, particularly in the intermediate energy region, because of the limitation of accelerator and existing theoretical analysis, less systematic researches, incomplete atomic data, and not so high accuracy. The research of celestial element X-ray data is more scarce and the research of X-ray data of celestial elements is even more scarce. Helium-like C ions with 15–55 MeV kinetic energy provided by the HI-13 MV series accelerator of the China Institute of Atomic Energy are used to bombard Fe, Ni, Nb and Mo thick targets. The HpGe detectors are used to measure the K-X ray emission, and the corresponding K-X ray emission cross sections are obtained. Due to the different ionization degrees of the shell layers of various target atoms, the branching intensity ratio of Kβto KαX rays emitted by Helium-like C ions interacting with Fe and Ni target atoms decreases with the increase of the kinetic energy of the incident ions, while the branching intensity ratio of K-X rays emitted by Nb and Mo target atoms does not change significantly. The K-X ray emission cross section of target atom is calculated by using the formula of thick target cross section, and compared with the results of different theoretical models and proton. The results show that with the increase of the kinetic energy of helium-like C ions, the total emission cross section of the Kβand KαX ray emitted from Fe and Ni target atoms are most consistent with the BEA correction model considering multiple ionization, and the total emission cross section of Kβand KαX ray emitted from Nb and Mo target atoms are closest to the theoretical values of PWBA model. When the energy of proton is the same as that of single nucleon C ion, the cross section of K-X ray produced by proton is about three orders of magnitude smaller than that produced by helium-like C ion.
2024, 73(4): 044101.
doi:10.7498/aps.73.20231377
Abstract:
CH4is abundant in planetary atmosphere, and the study of CH4dissociation dynamics is of great importance and can help to understand the atmospheric evolution process in the universe. At present, the
\begin{document}$ {\text{CH}}_4^{2 + } \to {\text{CH}}_3^ + + {{\text{H}}^ + } $\end{document}
channel has been extensively studied, but the explanation of the dissociation mechanism for this channel is controversial. In this work, the double-photoionization experiment of CH4by extreme ultraviolet photon (XUV) in an energy range of 25-44 eV and the collision experiment between 1 MeV Ne8+and CH4are carried out by using the reaction microscope. The three-dimensional (3D) momenta of
\begin{document}$ {\text{CH}}_3^ + $\end{document}
and H+ions are measured in coincidence, the corresponding kinetic energy release (KER) is reconstructed, and fragmentation dynamics from the parent ion
\begin{document}$ {\text{CH}}_4^{2 + } $\end{document}
to the
\begin{document}$ {\text{CH}}_3^ + + {{\text{H}}^ + } $\end{document}
ion pair are investigated. In the photoionization experiment, two peaks in the KER spectrum are observed: one is located around 4.75 eV, and the other lies at 6.09 eV. Following the conclusions of previous experiments and the theoretical calculations of Williams et al. (Williams J B, Trevisan C S, Schöffler M S, et al. 2012J. Phys. B At. Mol. Opt. Phys.45194003), we discuss the corresponding mechanism of each KER peak. For the 6.09 eV peak, we attribute it to the
\begin{document}$ {\text{CH}}_4^{2 + } $\end{document}
dissociation caused by the Jahn-Teller effect, because this value is consistent with the energy difference in energy between the
\begin{document}$ {\text{CH}}_4^{2 + } $\end{document}
1E initial state and the
\begin{document}$ {\text{CH}}_3^ + /{{\text{H}}^ + } $\end{document}
final state involving the Jahn-Teller effect. For the 4.75 eV peak, we believe that it may come from the direct dissociation of
\begin{document}$ {\text{CH}}_4^{2 + } $\end{document}
without contribution from the Jahn-Teller effect. More specifically, Williams et al. presented the potential energy curve for one C—H bond stretching to 8 a.u., while other C—H bonds are fixed at the initial geometry of the CH4molecule. In the reflection approximation, we infer that the extra energy is released from the internuclear distance of 8 a.u. to infinity. It is found that the KER is 4.7 eV, which is consistent with the experimental observation, suggesting that the KER peak at 4.75 eV may arise from the direct dissociation of
\begin{document}$ {\text{CH}}_4^{2 + } $\end{document}
without contribution from the Jahn-Teller effect. In addition, in the 1 MeV Ne8+ion collision experiment, it is observed that the released energy values corresponding to the three KER peaks are about 4.65, 5.76, and 7.94 eV. By comparing the branching ratio of each peak with the previous experimental result, it is suggested that the velocity effect is not significant in KER spectra.
CH4is abundant in planetary atmosphere, and the study of CH4dissociation dynamics is of great importance and can help to understand the atmospheric evolution process in the universe. At present, the
2024, 73(4): 044201.
doi:10.7498/aps.73.20230432
Abstract:
We investigate an important aspect of electron-positron pair creation from vacuum in the presence of a strong background field, where the combined field plays a key role in the pair creation process. By utilizing computational quantum field theory, we explore electron-positron pair creation induced by double-located oscillating electric fields by numerically solving the Dirac equation in full spacetime dimensions. We demonstrate theoretically that computational quantum field theory is equivalent to the first-order time-dependent perturbation theory for single-photon transition pair creation in a spatially inhomogeneous and time-dependent electric field, and verify their equivalence through numerical simulations of pair creation in double-located oscillating fields. We show some interesting results about the periodic oscillation of the momentum spectrum structure of the created particle and the asymmetric multi-photon pair creation process due to the interference between two fields. By using first-order time-dependent perturbation theory, we find that the periodic oscillation in the momentum distribution of the created particle is affected by the field width, the field frequency and the distance between two fields. The period of the oscillation of momentum spectrum structure is changed by the distance between two fields, while the field width has an influence on both the difference between the peak and valley of the momentum spectra and the width of the momentum space available to the created particle. Increasing the frequency of the electric field results in larger momentum for the created particle pairs, while correspondingly reducing the coupling matrix element
\begin{document}$ \langle p|V|n \rangle $\end{document}
and diminishing the probability of electron-positron pair creation.
The interference between two fields significantly enhances the yield of pair numbers for small distances between two fields. When the distance is too large, the number of pairs created by double oscillating fields is twice that created by a single field, and the enhancement is vanished. When the distance between two fields increases, the period of oscillation decreases. In turn, the creation of electron-positron pairs can become more monochromatic in momentum (energy), while the number of pairs created remains almost constant. As the electric field broadens, the yield of the created pairs decreases for constant potential height. Increasing the field width will reduce the number of particles for each momentum and narrow the momentum space of the created particle. Increasing the field frequency leads to the reduction of the coupling matrix element
\begin{document}$ \langle p|V|n \rangle $\end{document}
and subsequently reduces the total number of electron-positron pairs created. The field profile parameters such as frequency, width, and distance between two fields can be utilized to select a specific momentum (energy) of particles in future electron-positron pair creation experiments.
2024, 73(4): 044202.
doi:10.7498/aps.73.20231194
Abstract:
Soliton, which can travel over long distance without attenuation or shape change due to the balance of the interplay between dispersion (or diffraction) and nonlinearity in nonlinear medium, becomes a good information carrier in quantum information processing and transmission. Up to now, the study on the optical solitons mainly focuses on ultra-cold atomic electromagnetic induction transparency (EIT) medium. This is mainly because ultra-cold atomic system can generate strong nonlinear effect under low light excitation. However, for the practical application, it is a big challenge to control accurately the optical soliton dynamics in the atomic EIT medium due to its low temperature (which approaches to absolute zero) and rarefaction. Fortunately, with the maturity of semiconductor quantum production technology, quantum dots have extensive application prospect in quantum information processing and transmission. So, in the paper, we study the optical soliton dynamics in a four-level asymmetric array-type three-quantum-dot EIT medium.
Based on the current experimental results, we first propose a four-level asymmetric array-type three-quantum-dot EIT model. Subsequently, by using amplitude variable approach combined with multi-scale method, we study analytically the propagation of a probe pulse in this system. It is shown that when one (the another) inter-dot tunneling coupling is turned on (off), only a single transparency window appears in the center range of the probe field detuning. Only if two inter-dot tunneling couplings are turned on will two transparent windows be distributed on both sides of the central region of the probe field detuning. And the width of the single transparent window or the widths of two transparent windows become wider with the strength of the inter-dot tunneling coupling increasing. For the nonlinear case, by choosing appropriate parameters in the area of the transparency window, the stable propagation of soliton can be realized. Interestingly, we find that the strength of the inter-dot tunneling coupling has an important effect on the soliton dynamic behaviors. In the case that one (the another) inter-dot tunneling coupling is turned on (off), with the increase of strength of the inter-dot tunneling coupling, the velocity of the soliton exhibits a trend of first increasing and then decreasing, and the amplitude of the soliton presents a increasing trend for ever. For the case that two inter-dot tunneling couplings are turned on, with the strength of the two inter-dot tunneling coupling increasing, the velocity of the soliton presents a decreasing trend for ever, while the amplitude of the soliton exhibits a trend of first decreasing and then increasing. Thus, the amplitude modulation effect of optical soliton can be realized in semiconductor quantum dot devices.
2024, 73(4): 044203.
doi:10.7498/aps.73.20231519
Abstract:
We propose a theoretical scheme to study the topological properties of magnon-photon in a one-dimensional coupled cavity lattice. Each unit cell is composed of the cavity microwave photon and the magnon, where the magnon is placed inside the cavity. The coupling of cavity microwave photon and magnon is controlled by an external magnetic field, and multiple cavities are coupled with each other to form a one-dimensional coupled cavity lattice system. Here, we study the topological phase transition and topological quantum channels of magnon-photon in the system by adjusting the magnon-photon coupling. Firstly, considering odd and even number lattices, we analyze and discuss the energy spectrum and the edge state in one-dimensional coupled cavity lattices. It is found that the energy band of the system is symmetric, and the edge states in the energy gap have time reversal symmetry, which makes the system topologically protected. At the same time, it is also noted that the maximum value, flipping, and period of the energy spectrum have changed, and the region of the edge state has expanded and extended. In addition, the edge state distribution can undergo the flipping process, which can achieve multi-channel topological quantum state transmission. Besides, considering the presence of defects and disorder in the system, it is found that when the random defect potential is small, the edge state of the system is robust to it, but when the random defect potential is large, the fluctuation of the energy band will be enhanced, and the edge state will be submerged in the energy band. However, when the disorder is very small, it can cause band fluctuations and flipping phenomena, and the edge state is robust to it, indicating the topological protection of the edge state. This work offers an effective way to study topological magnon-photon, which will have promising applications in quantum information processing.
We propose a theoretical scheme to study the topological properties of magnon-photon in a one-dimensional coupled cavity lattice. Each unit cell is composed of the cavity microwave photon and the magnon, where the magnon is placed inside the cavity. The coupling of cavity microwave photon and magnon is controlled by an external magnetic field, and multiple cavities are coupled with each other to form a one-dimensional coupled cavity lattice system. Here, we study the topological phase transition and topological quantum channels of magnon-photon in the system by adjusting the magnon-photon coupling. Firstly, considering odd and even number lattices, we analyze and discuss the energy spectrum and the edge state in one-dimensional coupled cavity lattices. It is found that the energy band of the system is symmetric, and the edge states in the energy gap have time reversal symmetry, which makes the system topologically protected. At the same time, it is also noted that the maximum value, flipping, and period of the energy spectrum have changed, and the region of the edge state has expanded and extended. In addition, the edge state distribution can undergo the flipping process, which can achieve multi-channel topological quantum state transmission. Besides, considering the presence of defects and disorder in the system, it is found that when the random defect potential is small, the edge state of the system is robust to it, but when the random defect potential is large, the fluctuation of the energy band will be enhanced, and the edge state will be submerged in the energy band. However, when the disorder is very small, it can cause band fluctuations and flipping phenomena, and the edge state is robust to it, indicating the topological protection of the edge state. This work offers an effective way to study topological magnon-photon, which will have promising applications in quantum information processing.
2024, 73(4): 044204.
doi:10.7498/aps.73.20231384
Abstract:
With the rapid development of emerging technologies such as multimedia services, live broadcasting, video conferencing, and high-definition television, traditional radio frequency communication is unable to meet people 's growing demand for communication capacity and transmission rate. In recent years, optical communication has received extensive attention from the industrial and scientific communities due to its advantages of large bandwidth, high speed, low power consumption, light weight, and strong anti-interference ability. As an emerging light source, the optical frequency comb (OFC) has a wide spectral range, multi-wavelength, high stability, and good phase coherence, providing a new idea for studying microwave signals with simple system structure, strong tunability and high frequency stability. At the same time, the multi-optical mode characteristics of OFC are compatible with the current communication system based on wavelength division multiplexing technology. Hundreds of laser arrays in a traditional communication system can be replaced by only one laser, which greatly reduces the power consumption of the system.
Combining the above advantages, in this paper, a large-scale parallel high-speed optical communication system based on mode-locked OFC is proposed. The linewidth of the OFC locked to the rubidium atomic clock can reach 1 Hz, which is sufficient to support the transmission of high-order modulation signals. The electro-optic modulators are used to adjust the amplitude and phase of each optical mode of the mode-locked OFC and self-coherently map to the RF domain. The high-speed high-order modulation signal with coded information is obtained by frequency screening through a narrow-band filter. The communication capability of the microwave photonic modulation signal in the 16 quadrature amplitude modulation (QAM) format is verified by simulation. The 16QAM communication with the rate of 2, 6, and 14 Gbit/s is realized by using the photonic microwave signal on the 100 m space optical link, and the bit error rate (BER) is less than 10
–6. The proposed large-scale parallel optical communication system based on mode-locked OFC can achieve high-speed information transmission with a compact system structure, which is suitable for inter-satellite communication, emergency communication, military communication and other fields.
2024, 73(4): 044205.
doi:10.7498/aps.73.20231616
Abstract:
The 2.94 μm nanosecond erbium laser is an important solid-state laser source in the wide-tuning mid-infrared laser and clinical medical research. In this work, a novel LiNbO3acousto-opticallyQ-switched Er:YAG laser is developed, and the effects of differentQ-switched delay times and output coupler’s reflectivities on the laser output pulse characteristics are investigated at a repetition frequency of 20 Hz. A concave-convex resonant cavity is designed to compensate for the thermal lens effect, and a singleQ-switched pulse is obtained. The maximum pulse energy and minimum pulse duration are 34.68 mJ and 119.9 ns respectively, with corresponding peak power of 289.24 kW. Compared with the plane-plane cavity, the cavity proposed herein increases the output energy by 2.09 times. To our knowledge, this is the highest energy ever obtained in the acousto-opticallyQ-switched Er:YAG laser. This work provides a new means for further studying wide-tuning mid-infrared laser technology.
The 2.94 μm nanosecond erbium laser is an important solid-state laser source in the wide-tuning mid-infrared laser and clinical medical research. In this work, a novel LiNbO3acousto-opticallyQ-switched Er:YAG laser is developed, and the effects of differentQ-switched delay times and output coupler’s reflectivities on the laser output pulse characteristics are investigated at a repetition frequency of 20 Hz. A concave-convex resonant cavity is designed to compensate for the thermal lens effect, and a singleQ-switched pulse is obtained. The maximum pulse energy and minimum pulse duration are 34.68 mJ and 119.9 ns respectively, with corresponding peak power of 289.24 kW. Compared with the plane-plane cavity, the cavity proposed herein increases the output energy by 2.09 times. To our knowledge, this is the highest energy ever obtained in the acousto-opticallyQ-switched Er:YAG laser. This work provides a new means for further studying wide-tuning mid-infrared laser technology.
2024, 73(4): 044206.
doi:10.7498/aps.73.20231348
Abstract:
3.4 μm mid-infrared pulse train laser generates the characteristic spectral lines of absorption peaks of CH4, NO2and other molecules. Its pulse train working mode can increase the signal-to-noise ratio of laser detection echo signal. It has broad application prospects in radar detection, environmental monitoring, spectral analysis and other fields, which has aroused great interest of scientists. Compared with the traditional intra-cavity control method, the stepQ-switching method has the advantages of simple structure, high energy utilization rate and accurate control. Therefore, in this paper, both the theoretical study and the experimental study of a 3.4 μm mid-infrared pulse train laser pumped by a step-type acousto-opticQ-switched external cavity in MgO:PPLN optical parametric oscillator are carried out. The theoretical model of fundamental frequency step acousto-opticQ-switching is established. The change trends of photon number density at different step intervals are simulated. The optimal trigger time of step signal required for step acousto-opticQ-switching is obtained. The possibility of obtaining pulse train laser output by step acousto-opticQ-switching is determined. In the simulation, the single pulse envelope contains 3 sub-pulse train waveforms. The pulse width of the sub-pulse in the pulse envelope gradually increases, the sub-pulse interval is 5 μs, and the pulse envelope repetition frequency is 20 kHz. At the same time, the optimal trigger times for the step signal are obtained to be 16.00, 21.00, 26.00, 50.00 μs. The mid-infrared pulse train laser experiment of step acousto-opticQ-switched external cavity pumped MgO:PPLN optical parametric oscillator is carried out, and the 3.4 μm mid-infrared pulse train laser output containing three sub-pulses in a single pulse envelope is obtained. The sub-pulse interval is 5 μs, the narrowest pulse width is 12.8 ns, and the pulse envelope repetition frequency is 20 kHz, when the maximum average output power is 1.08 W, the maximum optical-to-optical conversion efficiency of 1064 nm fundamental light and 3.4 μm parametric light is 10.05%, and the beam quality factor
\begin{document}$M^2$\end{document}
is 2.01. The output position of the sub pulses in each repetition period in the experiment is basically consistent with the simulation result, and it is found in both simulation and experiment that the width of the sub pulses within each pulse envelope gradually increases. The experimental results show that 3.4 μm mid-infrared pulse train laser output can be obtained by using step AOQS combined with OPO. This innovative method provides theoretical and technical support for detecting atmospheric pollutant concentration by using mid-infrared pulse train laser.
3.4 μm mid-infrared pulse train laser generates the characteristic spectral lines of absorption peaks of CH4, NO2and other molecules. Its pulse train working mode can increase the signal-to-noise ratio of laser detection echo signal. It has broad application prospects in radar detection, environmental monitoring, spectral analysis and other fields, which has aroused great interest of scientists. Compared with the traditional intra-cavity control method, the stepQ-switching method has the advantages of simple structure, high energy utilization rate and accurate control. Therefore, in this paper, both the theoretical study and the experimental study of a 3.4 μm mid-infrared pulse train laser pumped by a step-type acousto-opticQ-switched external cavity in MgO:PPLN optical parametric oscillator are carried out. The theoretical model of fundamental frequency step acousto-opticQ-switching is established. The change trends of photon number density at different step intervals are simulated. The optimal trigger time of step signal required for step acousto-opticQ-switching is obtained. The possibility of obtaining pulse train laser output by step acousto-opticQ-switching is determined. In the simulation, the single pulse envelope contains 3 sub-pulse train waveforms. The pulse width of the sub-pulse in the pulse envelope gradually increases, the sub-pulse interval is 5 μs, and the pulse envelope repetition frequency is 20 kHz. At the same time, the optimal trigger times for the step signal are obtained to be 16.00, 21.00, 26.00, 50.00 μs. The mid-infrared pulse train laser experiment of step acousto-opticQ-switched external cavity pumped MgO:PPLN optical parametric oscillator is carried out, and the 3.4 μm mid-infrared pulse train laser output containing three sub-pulses in a single pulse envelope is obtained. The sub-pulse interval is 5 μs, the narrowest pulse width is 12.8 ns, and the pulse envelope repetition frequency is 20 kHz, when the maximum average output power is 1.08 W, the maximum optical-to-optical conversion efficiency of 1064 nm fundamental light and 3.4 μm parametric light is 10.05%, and the beam quality factor
2024, 73(4): 044301.
doi:10.7498/aps.73.20231451
Abstract:
With the further development of the complementary metal-oxide-semiconductor (CMOS) technology and the silicon-germanium (SiGe) epitaxy technology, SiGe bipolar CMOS (BiCMOS) low noise amplifiers (LNAs) are widely used in the first level of radio frequency (RF) transceiver system in space. The core part of SiGe BiCMOS LNA is SiGe heterojunction bipolar transistor (SiGe HBT) which naturally possesses excellent temperature characteristic and favorable build-in total ionizing dose and displacement damage resistance without any radiation hardening. However, the single event effect caused by the transient charge collection is the bottleneck problem, restricting its application in space. In this work, laser microbeam experiments were carried out on a SiGe BiCMOS LNA in which the sensitive region of single event effect was located. The experimental results indicate that the transient charge collection of SiGe HBT is the main reason of the single event effect of SiGe BiCMOS LNA. TCAD simulations show that the ionization track caused by ion incident in CMOS region will cross the deep trench isolation (DTI) structure, generate electron-hole pairs in SiGe HBT region and cause transient charge collection. The circuit simulations by ADS show that the peak value of the transient voltage will drop sharply when the SEE pulse transient voltage crosses the capacitor between the first stage and the second stage, which indicates that the capacitor plays an important role in transmitting the transient pulses caused by single event effect. The experimental and simulation results in this work provide technical support for radiation hardening by design (RHBD) of the single event effect of SiGe BiCMOS LNA.
With the further development of the complementary metal-oxide-semiconductor (CMOS) technology and the silicon-germanium (SiGe) epitaxy technology, SiGe bipolar CMOS (BiCMOS) low noise amplifiers (LNAs) are widely used in the first level of radio frequency (RF) transceiver system in space. The core part of SiGe BiCMOS LNA is SiGe heterojunction bipolar transistor (SiGe HBT) which naturally possesses excellent temperature characteristic and favorable build-in total ionizing dose and displacement damage resistance without any radiation hardening. However, the single event effect caused by the transient charge collection is the bottleneck problem, restricting its application in space. In this work, laser microbeam experiments were carried out on a SiGe BiCMOS LNA in which the sensitive region of single event effect was located. The experimental results indicate that the transient charge collection of SiGe HBT is the main reason of the single event effect of SiGe BiCMOS LNA. TCAD simulations show that the ionization track caused by ion incident in CMOS region will cross the deep trench isolation (DTI) structure, generate electron-hole pairs in SiGe HBT region and cause transient charge collection. The circuit simulations by ADS show that the peak value of the transient voltage will drop sharply when the SEE pulse transient voltage crosses the capacitor between the first stage and the second stage, which indicates that the capacitor plays an important role in transmitting the transient pulses caused by single event effect. The experimental and simulation results in this work provide technical support for radiation hardening by design (RHBD) of the single event effect of SiGe BiCMOS LNA.
Probing microstructural heterogeneity of La-based amorphous alloy under versatile mechanical stimuli
2024, 73(4): 046101.
doi:10.7498/aps.73.20231421
Abstract:
The intrinsic structural heterogeneity of amorphous alloy is closely related to the thermodynamics and dynamical behavior, such as relaxation/crystallization, glass transition and plastic deformation. However, the structural information is submerged into the meta-stable disordered long-range structure, which makes it very difficult to explore the structural heterogeneity of amorphous alloy. A mechanical excitation factor is insufficient to effectively describe the heterogeneity of the microstructure in amorphous alloy, particularly the correlation between structure and dynamics. To explore the essence of the structure in amorphous alloy, it is necessary to consider the different mechanical stimuli. La62Cu12Ni12Al14amorphous alloy is selected as the model system, dynamic mechanical process is probed by dynamic mechanical analyzer (DMA). The contributions ofαrelaxation process andβrelaxation process are described in the framework of the quasi-point defect theory. Based on the quasi-point defect theory, theα-relaxation andβ-relaxation in the La-based amorphous alloy are separated. Tensile strain rate jump measurements are conducted to study the high temperature rheological behavior of amorphous alloy. The contributions of elasticity, anelasticity, and plastic deformation during the homogeneous flow of amorphous alloy are determined within the framework of quasi-point defect theory. The present work aims to reveal the structural heterogeneities of amorphous alloys under the action of dynamics on various temporal scales. The physical background of the activation, propagation and coalescence of defects in amorphous alloy under different mechanical stimuli are reviewed.
The intrinsic structural heterogeneity of amorphous alloy is closely related to the thermodynamics and dynamical behavior, such as relaxation/crystallization, glass transition and plastic deformation. However, the structural information is submerged into the meta-stable disordered long-range structure, which makes it very difficult to explore the structural heterogeneity of amorphous alloy. A mechanical excitation factor is insufficient to effectively describe the heterogeneity of the microstructure in amorphous alloy, particularly the correlation between structure and dynamics. To explore the essence of the structure in amorphous alloy, it is necessary to consider the different mechanical stimuli. La62Cu12Ni12Al14amorphous alloy is selected as the model system, dynamic mechanical process is probed by dynamic mechanical analyzer (DMA). The contributions ofαrelaxation process andβrelaxation process are described in the framework of the quasi-point defect theory. Based on the quasi-point defect theory, theα-relaxation andβ-relaxation in the La-based amorphous alloy are separated. Tensile strain rate jump measurements are conducted to study the high temperature rheological behavior of amorphous alloy. The contributions of elasticity, anelasticity, and plastic deformation during the homogeneous flow of amorphous alloy are determined within the framework of quasi-point defect theory. The present work aims to reveal the structural heterogeneities of amorphous alloys under the action of dynamics on various temporal scales. The physical background of the activation, propagation and coalescence of defects in amorphous alloy under different mechanical stimuli are reviewed.
2024, 73(4): 046501.
doi:10.7498/aps.73.20231696
Abstract:
2,6-diamino-3,5-dinitropyrazine-1-oxide (LLM-105) is a typical high-energy and low-sensitivity energetic material (EM), which has excellent detonation performance and thermal stability. In the quasi-harmonic approximation, the dispersion corrected density functional theory is used to study the intermolecular interactions and thermodynamic properties of energetic LLM-105 crystal. By introducing the zero-point energy and temperature effect corrections, PBE-D3 dispersion correction scheme can significantly improve the calculation accuracy of structural parameters at an experimental temperature (294 K). The temperature dependent lattice parameters and thermal expansion coefficients exhibit strong anisotropy, especially the thermal expansivity in
b-axis orientation (intermolecular layers) is much higher than that in the
acplane (intramolecular layers). Through Hirshfeld surface and fingerprint analysis, it is found that the intermolecular interactions of LLM-105 are mainly O···H hydrogen bonding interactions. The change of intermolecular interactions will result in the rotation of nitro group, which can contribute to forming new hydrogen-bonding interaction pattern. Mulliken population analysis shows that the bond order of C—NO
2bond is more sensitive to the change of temperature, so this bond may be a trigger bond for the high-temperature decomposition reaction of LLM-105.
The fundamental thermodynamic properties of EMs can not only provide key parameters for mesoscopic or macroscopic thermodynamic simulations, but also gain theoretical insights into the temperature effects of EMs. Specific heat capacity reflects the amount of heat to be supplied to heating the matter and it is important to make the risk assessment of EMs during storage or when exposed to external thermal stimuli. Herein, the basic thermodynamic parameters, such as heat capacity, entropy, bulk modulus and elastic constants under different conditions are predicted. Among them, the calculated heat capacity and entropy describe the nonlinear behaviors within a temperature range of 0 to 500 K, and the calculated isobaric heat capacity
C
p(
T) is in good agreement with the available experimental measurements. The elasticity of material describes the macroscopic response of crystal to external force, and the bulk modulus
B
0of molecular crystal can be determined through the equation of state, which is an important parameter for evaluating material stiffness. The bulk modulus under adiabatic condition is in reasonable agreement with experimental value, and the evolution of bulk modulus with temperature reflects the softening behavior of LLM-105 at temperature. Furthermore, the complete set of second-order elastic constants (SOECs) of LLM-105 is calculated and 13 independent SOECs (
C
11,
C
12,
C
13,
C
15,
C
22,
C
23,
C
25,
C
33,
C
35,
C
44,
C
46,
C
55,
C
66) are predicted. With the increasing temperature, all elastic constants gradually decrease due to the weakening of intermolecular interactions of LLM-105. Overall, these results will fundamentally provide a deep understanding of temperature effects and serve as a reference for the experimental measurement of the thermodynamic parameters of EMs.
2024, 73(4): 046801.
doi:10.7498/aps.73.20231555
Abstract:
Metal organic chemical vapor deposition (MOCVD) is a key means of epitaxy of heterojunction semiconductor material, the uniformity of its epitaxial layer thickness will directly affect the yield of the product, especially the vertical cavity surface emitting device, which has a higher requirement for thickness uniformity. For the multi-MO nozzle vertical reaction cavity MOCVD, this paper combines theory and experiment to give an effective method of improving the epitaxial layer thickness uniformity through adjusting the flow rate of each MO nozzle. Firstly, each MO source nozzle is equivalent to an evaporation surface source, and an equivalent height is introduced to cover the relevant epitaxial parameters of MOCVD and the quantitative relationship between the epitaxial layer thickness and the flow rate of each MO source nozzle is established by taking three MO source nozzles as an example. After that, the model parameters are extracted by fitting through the least squares method based on the experimentally measured epitaxial layer thickness distribution results. Finally, based on the extracted model parameters, a method to optimize the epitaxial layer thickness uniformity is given. Accordingly, the AlGaAs resonant cavity structure, which is easy to accurately test the epitaxial layer thickness, is designed and epitaxially grown by using the EMCORE D125 MOCVD system. The statistical results of the mapping reflection spectra of the 4-inch epitaxial wafers are that the average wavelength of the cavity mode is 651.89 nm, with a standard deviation of 1.03 nm, and thickness uniformity of 0.16% is achieved. At the same time, epitaxial growth of GaInP quantum well structure, 4-inch epitaxial wafers mapping photoluminescence spectrum statistics for the average peak wavelength of 653.3 nm, the standard deviation of only 0.46 nm, and peak wavelength uniformity of 0.07% are achieved. Both the wavelength uniformity of cavity mode and the peak wavelength uniformity of quantum well fully meet the requirements of vertical cavity surface emitting device. The method of adjusting epitaxial layer thickness uniformity proposed in this paper is simple, effective, and fast, and it can be further extended to vertical reaction cavity MOCVD systems with more than four MO nozzles.
Metal organic chemical vapor deposition (MOCVD) is a key means of epitaxy of heterojunction semiconductor material, the uniformity of its epitaxial layer thickness will directly affect the yield of the product, especially the vertical cavity surface emitting device, which has a higher requirement for thickness uniformity. For the multi-MO nozzle vertical reaction cavity MOCVD, this paper combines theory and experiment to give an effective method of improving the epitaxial layer thickness uniformity through adjusting the flow rate of each MO nozzle. Firstly, each MO source nozzle is equivalent to an evaporation surface source, and an equivalent height is introduced to cover the relevant epitaxial parameters of MOCVD and the quantitative relationship between the epitaxial layer thickness and the flow rate of each MO source nozzle is established by taking three MO source nozzles as an example. After that, the model parameters are extracted by fitting through the least squares method based on the experimentally measured epitaxial layer thickness distribution results. Finally, based on the extracted model parameters, a method to optimize the epitaxial layer thickness uniformity is given. Accordingly, the AlGaAs resonant cavity structure, which is easy to accurately test the epitaxial layer thickness, is designed and epitaxially grown by using the EMCORE D125 MOCVD system. The statistical results of the mapping reflection spectra of the 4-inch epitaxial wafers are that the average wavelength of the cavity mode is 651.89 nm, with a standard deviation of 1.03 nm, and thickness uniformity of 0.16% is achieved. At the same time, epitaxial growth of GaInP quantum well structure, 4-inch epitaxial wafers mapping photoluminescence spectrum statistics for the average peak wavelength of 653.3 nm, the standard deviation of only 0.46 nm, and peak wavelength uniformity of 0.07% are achieved. Both the wavelength uniformity of cavity mode and the peak wavelength uniformity of quantum well fully meet the requirements of vertical cavity surface emitting device. The method of adjusting epitaxial layer thickness uniformity proposed in this paper is simple, effective, and fast, and it can be further extended to vertical reaction cavity MOCVD systems with more than four MO nozzles.
2024, 73(4): 047101.
doi:10.7498/aps.73.20231406
Abstract:
Antimony selenide (Sb2Se3) is an element-rich, cost-effective, and non-toxic material used as an absorber layer in solar cells. The performance of solar cells is significantly influenced by the transport characteristics of charge carriers. However, these characteristics in Sb2Se3have not been well understood. In this work, through density functional theory and deformation potential theory, we investigate the hole transport properties of pure Sb2Se3and As-, Bi-doped Sb2Se3. The incorporation of as element and Bi element does not introduce additional impurity levels within the band gap. However, the band gaps are reduced in both As-Sb2Se3and Bi-Sb2Se3due to the band shifts of energy levels. This phenomenon is primarily attributed to the interactions between the unoccupied 4p and 6p states of the doping atoms and the unoccupied 4p states of Se atoms, as well as the unoccupied 5p states of Sb atoms. In this study, we calculate and analyze three key parameters affecting mobility: effective mass, deformation potential, and elastic constants. The results indicate that effective mass has the greatest influence on mobility, with Bi-Sb2Se3exhibiting the highest average mobility. The average effective mass is highest in As-Sb2Se3and lowest in Bi-Sb2Se3. The elastic constants of the As- and Bi-doped Sb2Se3structures show minimal differences compared with that of the intrinsic Sb2Se3structure. By comparing the intrinsic, As-doped, and Bi-doped Sb2Se3, it is evident that doping has a minor influence on deformation potential energy along various directions. The study reveals that the hole mobility in Sb2Se3displays significant anisotropy, with higher mobilities observed in thex-direction and they-direction than in thez-direction. This discrepancy is attributed to stronger covalent bonding primarily in thex- andy-direction, while in thez-direction weaker van der Waals forces is dominant. The directions with enhanced charge carrier transport capability contribute to efficient transfer and collection of photo-generated charge carriers. Therefore, our research theoretically underscores the significance of controlling the growth of antimony selenide along specific directions.
Antimony selenide (Sb2Se3) is an element-rich, cost-effective, and non-toxic material used as an absorber layer in solar cells. The performance of solar cells is significantly influenced by the transport characteristics of charge carriers. However, these characteristics in Sb2Se3have not been well understood. In this work, through density functional theory and deformation potential theory, we investigate the hole transport properties of pure Sb2Se3and As-, Bi-doped Sb2Se3. The incorporation of as element and Bi element does not introduce additional impurity levels within the band gap. However, the band gaps are reduced in both As-Sb2Se3and Bi-Sb2Se3due to the band shifts of energy levels. This phenomenon is primarily attributed to the interactions between the unoccupied 4p and 6p states of the doping atoms and the unoccupied 4p states of Se atoms, as well as the unoccupied 5p states of Sb atoms. In this study, we calculate and analyze three key parameters affecting mobility: effective mass, deformation potential, and elastic constants. The results indicate that effective mass has the greatest influence on mobility, with Bi-Sb2Se3exhibiting the highest average mobility. The average effective mass is highest in As-Sb2Se3and lowest in Bi-Sb2Se3. The elastic constants of the As- and Bi-doped Sb2Se3structures show minimal differences compared with that of the intrinsic Sb2Se3structure. By comparing the intrinsic, As-doped, and Bi-doped Sb2Se3, it is evident that doping has a minor influence on deformation potential energy along various directions. The study reveals that the hole mobility in Sb2Se3displays significant anisotropy, with higher mobilities observed in thex-direction and they-direction than in thez-direction. This discrepancy is attributed to stronger covalent bonding primarily in thex- andy-direction, while in thez-direction weaker van der Waals forces is dominant. The directions with enhanced charge carrier transport capability contribute to efficient transfer and collection of photo-generated charge carriers. Therefore, our research theoretically underscores the significance of controlling the growth of antimony selenide along specific directions.
2024, 73(4): 047801.
doi:10.7498/aps.73.20231301
Abstract:
To date, in the traditional method of obtaining near-ultraviolet (NUV) light, mercury atoms, which can create a highly toxic heavy metal contaminant, have been used. Therefore, it is an important issue to obtain NUV light by using new environmentally friendly devices. In the last decade, the fabrication of near ultraviolet organic light-emitting diodes (NUV-OLEDs) has become a research hotspot in the field of organic electronics. However, when the electroluminescence wavelength is extended to shorter than 400 nm, higher requirements are put forward for the materials used for each functional layer in these devices. In this work, a wide bandgap small molecule material of BCPO is used as the luminescent layer. The electron-transporting and hole-transporting materials are determined based on the overlaps between absorption spectra of these materials and emission spectrum of BCPO. And NUV-OLEDs with electroluminescent peak wavelength at 384 nm are prepared. By using the optimal device structure, the maximum external quantum efficiency of the device reaches 2.98%, and the maximum radiance of the device reaches 38.2 mW/cm2. In the electroluminescence spectrum, NUV light with wavelengths below 400 nm accounts for 57% of the light emission. In addition, the device demonstrates good stability when biased at two different constant voltage modes. The multiple key factors which affect the stability of the device are analyzed in detail. Firstly, it is found that the high glass transition temperature (Tg) of hole-transporting material is very important for the long-time stability of this device. The poor device stability is closely related to the lowTgtemperature of hole-transporting material. Secondly, due to the widespread use of PEDOT:PSS as hole injection material in OLEDs, the electron leakage from the hole-transpor layer into the PEDOT:PSS layer may cause significant damage to the conducting polymer. When bombarded with low energy electrons, bond breakage occurs on the surface of PEDOT:PSS, followed by the release of oxygen and sulfur, resulting in changes in conductivity and oxidation reactions with molecules of hole transport material. Thirdly, the photoelectrical stability of organic molecules is the most fundamental reason that restricts the device lifetime. The aging process of material or device is directly relevant to the bond dissociation energy (BDE) of organic molecule. Generally, the BDE value of organic molecule is not high enough. As a result, molecules are prone to chemical bond breakage during electrochemical or photochemical aging. In summary, highly stable NUV-OLEDs should be fabricated by using hole-transporting materials with highTgtemperature, sufficient electron-blocking capacity, and large BDE value.
To date, in the traditional method of obtaining near-ultraviolet (NUV) light, mercury atoms, which can create a highly toxic heavy metal contaminant, have been used. Therefore, it is an important issue to obtain NUV light by using new environmentally friendly devices. In the last decade, the fabrication of near ultraviolet organic light-emitting diodes (NUV-OLEDs) has become a research hotspot in the field of organic electronics. However, when the electroluminescence wavelength is extended to shorter than 400 nm, higher requirements are put forward for the materials used for each functional layer in these devices. In this work, a wide bandgap small molecule material of BCPO is used as the luminescent layer. The electron-transporting and hole-transporting materials are determined based on the overlaps between absorption spectra of these materials and emission spectrum of BCPO. And NUV-OLEDs with electroluminescent peak wavelength at 384 nm are prepared. By using the optimal device structure, the maximum external quantum efficiency of the device reaches 2.98%, and the maximum radiance of the device reaches 38.2 mW/cm2. In the electroluminescence spectrum, NUV light with wavelengths below 400 nm accounts for 57% of the light emission. In addition, the device demonstrates good stability when biased at two different constant voltage modes. The multiple key factors which affect the stability of the device are analyzed in detail. Firstly, it is found that the high glass transition temperature (Tg) of hole-transporting material is very important for the long-time stability of this device. The poor device stability is closely related to the lowTgtemperature of hole-transporting material. Secondly, due to the widespread use of PEDOT:PSS as hole injection material in OLEDs, the electron leakage from the hole-transpor layer into the PEDOT:PSS layer may cause significant damage to the conducting polymer. When bombarded with low energy electrons, bond breakage occurs on the surface of PEDOT:PSS, followed by the release of oxygen and sulfur, resulting in changes in conductivity and oxidation reactions with molecules of hole transport material. Thirdly, the photoelectrical stability of organic molecules is the most fundamental reason that restricts the device lifetime. The aging process of material or device is directly relevant to the bond dissociation energy (BDE) of organic molecule. Generally, the BDE value of organic molecule is not high enough. As a result, molecules are prone to chemical bond breakage during electrochemical or photochemical aging. In summary, highly stable NUV-OLEDs should be fabricated by using hole-transporting materials with highTgtemperature, sufficient electron-blocking capacity, and large BDE value.
2024, 73(4): 047802.
doi:10.7498/aps.73.20231514
Abstract:
Refractive index sensors based on metal metasurfaces are commonly limited by their low quality factors due to significant Ohmic losses in the metal material. In contrast, sensors based on all-dielectric metasurfaces can overcome this disadvantage. Currently, all-dielectric metesurface sensors based on symmetry-protected bound states in the continuum (BIC) have aroused intense research interest due to their ability to achieve ultrahigh quality factors. Such a metasurface sensor is mainly based on single BIC and single form of symmetry breaking. There are few studies on metasurface sensors of multiple BICs and multiple forms of symmetry breaking. In additon, the refractive-index sensors commonly neglect the influence of temperature fluctuation and thus suffer the crosstalk between the refractive index and temperature of the environment.
In this work, an all-dielectric metasurface composed of a periodic array of asymmetric semicircular-cylinder pairs is designed and two quasi-bound states in the continuum (QBIC) with high quality factors are obtained. By choosing three different forms of symmetry breaking (two in-plane and one out-of-plane), two robust QBIC modes can be generated in the selected near-infrared frequency band, and their resonance wavelengths, quality factors and polarization dependences exhibit different characteristics. Full-wave simulation results show that by measuring the resonance wavelengths of the two QBICs (denoted by QBIC1 and QBIC2), two-parameter sensing of refractive index and temperature can be achieved, which then solves the problem of crosstalk between the refractive index and temperature of the environment in refractive-index sensing. The dependence of quality factor on asymmetric parameters follows an inverse quadratic relation for the two QBICs. By adjusting the asymmetric parameters, the quality factor can be theoretially increased to any value, so that the sensing performance can be improved and adjusted. For refractive-index sensing, the QBIC1 can achieve a sensitivity of 194.7 nm/RIU and a highest figure of merit (FOM) of 8197 (corresponding to a quality factor of 45829); the QBIC2 can achieve a sensitivity of 170 nm/RIU, and a highest FOM of 4970 (corresponding to a quality factor of 28097). For temperature sensing, the QBIC1 can achieve a sensitivity of 7.77 pm/℃, and the QBIC2 can achieve a sensitivity of 24 pm/℃.
2024, 73(4): 047803.
doi:10.7498/aps.73.20231600
Abstract:
Bi2O2Se is a new type of semiconductor material, which has the advantages of high carrier mobility, air stability, strong spin-orbit coupling, etc. It has a variety of synthesis methods and a wide range of applications. In the past few years, many explorations have been made in the synthesis, large-size growth, and applications of Bi2O2Se. It has been applied to field effect transistors, infrared photodetectors, semiconductor devices, heterojunctions, spin electronics, etc. Since nanowire has a larger surface area-to-volume ratio than nano-film, nanowire may have greater advantages in gate regulation and strong spin-orbit coupling, and these properties can play a crucial role in certain fields. However, most of the studies focused on its two-dimensional films, and there are less researches of its one-dimensional counterpart. In this work, a method of growing Bi2O2Se one-dimensional nanowires by chemical vapor deposition in a three-temperature-zone tubular furnace is introduced. High-quality suspended Bi2O2Se nanowires are obtained. In addition, the effects on the Bi2O2Se nanowire growth of the position of the mica substrates, i.e, different horizontal positions and vertical heights in the quartz boat, are studied, and the optimal conditions for the growth are summarized. The nanowires are characterized by atomic force microscope and energy dispersive spectrometer to show the information about the size and component. Then, superconducting quantum interference device based on the Bi2O2Se nanowires is constructed, and the superconducting quantum interference in a magnetic field is observed, which provides a way to broaden the application of Bi2O2Se nanowires.
Bi2O2Se is a new type of semiconductor material, which has the advantages of high carrier mobility, air stability, strong spin-orbit coupling, etc. It has a variety of synthesis methods and a wide range of applications. In the past few years, many explorations have been made in the synthesis, large-size growth, and applications of Bi2O2Se. It has been applied to field effect transistors, infrared photodetectors, semiconductor devices, heterojunctions, spin electronics, etc. Since nanowire has a larger surface area-to-volume ratio than nano-film, nanowire may have greater advantages in gate regulation and strong spin-orbit coupling, and these properties can play a crucial role in certain fields. However, most of the studies focused on its two-dimensional films, and there are less researches of its one-dimensional counterpart. In this work, a method of growing Bi2O2Se one-dimensional nanowires by chemical vapor deposition in a three-temperature-zone tubular furnace is introduced. High-quality suspended Bi2O2Se nanowires are obtained. In addition, the effects on the Bi2O2Se nanowire growth of the position of the mica substrates, i.e, different horizontal positions and vertical heights in the quartz boat, are studied, and the optimal conditions for the growth are summarized. The nanowires are characterized by atomic force microscope and energy dispersive spectrometer to show the information about the size and component. Then, superconducting quantum interference device based on the Bi2O2Se nanowires is constructed, and the superconducting quantum interference in a magnetic field is observed, which provides a way to broaden the application of Bi2O2Se nanowires.
2024, 73(4): 047901.
doi:10.7498/aps.73.20231604
Abstract:
Amorphous carbon films have attracted much attention in the field of abnormal discharge of vacuum microwave devices and equipment due to their extremely low secondary electron yields (SEYs). However, the dynamic process and microscopic mechanism of the effect of amorphous carbon film on secondary electron emission are still poorly understood. In this work, a numerical simulation model of the secondary electron emission of amorphous carbon film on copper surface is developed by the Monte Carlo method, which can accurately simulate the dynamic processes of electron scattering and emission of the film and the substrate. The results show that the maximum SEY decreases by about 20% when the film thickness increases from 0 to 1.5 nm. Further increasing the thickness, the SEY no longer decreases. However, when the film is thicker than 0.9 nm, the SEY curve exhibits a double-hump form, but with the thickness increasing to 3 nm, the second peak gradually weakens or even disappears. The electron scattering trajectories and energy distribution of secondary electrons indicate that this double-hump phenomenon is caused by electron scattering in two different materials. Compared with previous models, the proposed model takes into account the change of work function and the effect of interfacial barrier on electron scattering path. Our model can explain the formation of the double-hump of SEY curve and provides theoretical predictions for suppressing the SEY by amorphous carbon film.
Amorphous carbon films have attracted much attention in the field of abnormal discharge of vacuum microwave devices and equipment due to their extremely low secondary electron yields (SEYs). However, the dynamic process and microscopic mechanism of the effect of amorphous carbon film on secondary electron emission are still poorly understood. In this work, a numerical simulation model of the secondary electron emission of amorphous carbon film on copper surface is developed by the Monte Carlo method, which can accurately simulate the dynamic processes of electron scattering and emission of the film and the substrate. The results show that the maximum SEY decreases by about 20% when the film thickness increases from 0 to 1.5 nm. Further increasing the thickness, the SEY no longer decreases. However, when the film is thicker than 0.9 nm, the SEY curve exhibits a double-hump form, but with the thickness increasing to 3 nm, the second peak gradually weakens or even disappears. The electron scattering trajectories and energy distribution of secondary electrons indicate that this double-hump phenomenon is caused by electron scattering in two different materials. Compared with previous models, the proposed model takes into account the change of work function and the effect of interfacial barrier on electron scattering path. Our model can explain the formation of the double-hump of SEY curve and provides theoretical predictions for suppressing the SEY by amorphous carbon film.
2024, 73(4): 048701.
doi:10.7498/aps.73.20231515
Abstract:
p53 is a tumor suppressor protein that plays a crucial role in inhibiting cancer development and maintaining the genetic integrity. Within the cell nucleus, four p53 molecules constitute a stable tetrameric active structure through highly cooperative interactions, bind to DNA via its DNA-binding domain, and transcriptionally activate or inhibit their target genes. However, in most human tumor cells, there are numerous p53 mutations. The majority of these mutations are formed in the p53 DNA-binding domain, importantly, the p53 DNA-binding domain is critical for p53 to form the tetrameric active structures and to regulate the transcription of its downstream target genes. In this work, the all-atom molecular dynamics simulation is conducted to investigate the mechanism of interaction within the wild-type p53 tetramers. This study indicates that the symmetric dimers on either side of the DNA are stable ones, keeping stable structures before and after DNA binding. The binding of two monomers on the same side of the DNA depends on protein-protein interaction provided by two contact surfaces. DNA scaffold stabilizes the tetrameric active structure. Such interactions crucially contribute to the tetramer formation. This study clarifies the internal interactions and key residues within the p53 tetramer in dynamic process, as well as the critical sites at various interaction interfaces. The findings of this study may provide a significant foundation for us to further understand the p53’s anticancer mechanisms, to explore the effective cancer treatment strategies, and in near future, to develop the effective anti-cancer drugs.
p53 is a tumor suppressor protein that plays a crucial role in inhibiting cancer development and maintaining the genetic integrity. Within the cell nucleus, four p53 molecules constitute a stable tetrameric active structure through highly cooperative interactions, bind to DNA via its DNA-binding domain, and transcriptionally activate or inhibit their target genes. However, in most human tumor cells, there are numerous p53 mutations. The majority of these mutations are formed in the p53 DNA-binding domain, importantly, the p53 DNA-binding domain is critical for p53 to form the tetrameric active structures and to regulate the transcription of its downstream target genes. In this work, the all-atom molecular dynamics simulation is conducted to investigate the mechanism of interaction within the wild-type p53 tetramers. This study indicates that the symmetric dimers on either side of the DNA are stable ones, keeping stable structures before and after DNA binding. The binding of two monomers on the same side of the DNA depends on protein-protein interaction provided by two contact surfaces. DNA scaffold stabilizes the tetrameric active structure. Such interactions crucially contribute to the tetramer formation. This study clarifies the internal interactions and key residues within the p53 tetramer in dynamic process, as well as the critical sites at various interaction interfaces. The findings of this study may provide a significant foundation for us to further understand the p53’s anticancer mechanisms, to explore the effective cancer treatment strategies, and in near future, to develop the effective anti-cancer drugs.
2024, 73(4): 048901.
doi:10.7498/aps.73.20231416
Abstract:
Identifying influential nodes in spreading process in the network is an important step to control the speed and range of spreading, which can be used to accelerate the spread of beneficial information such as healthy behaviors, innovations and suppress the spread of epidemics, rumors and fake news. Existing researches on identification of influential spreaders are mostly based on low-order complex networks with pairwise interactions. However, interactions between individuals occur not only between pairwise nodes but also in groups of three or more nodes, which introduces complex mechanism of reinforcement and indirect influence. The higher-order networks such as simplicial complexes and hypergraphs, can describe features of interactions that go beyond the limitation of pairwise interactions. Currently, there are relatively few researches of identifying influential spreaders in higher-order networks. Some centralities of nodes such as higher-order degree centrality and eigenvector centrality are proposed, but they mostly consider only the network structure. As for identification of influential spreaders, the spreading influence of a node is closely related to the spreading process. In this paper, we work on identification of influential spreaders on simplicial complexes by taking both network structure and dynamical process into consideration. Firstly, we quantitatively describe the dynamics of disease spreading on simplicial complexes by using the Susceptible-Infected-Recovered microscopic Markov equations. Next, we use the microscopic Markov equations to calculate the probability that a node is infected in the spreading process, which is defined as the spreading centrality (SC) of nodes. This spreading centrality involves both the structure of simplicial complex and the dynamical process on it, and is then used to rank the spreading influence of nodes. Simulation results on two types of synthetic simplicial complexes and four real simplicial complexes show that compared with the existing centralities on higher-order networks and the optimal centralities of collective influence and nonbacktracking centrality in complex networks, the proposed spreading centrality can more accurately identify the most influential spreaders in simplicial complexes. In addition, we find that the probability of nodes infected is highly positively correlated with its influence, which is because disease preferentially reaches nodes with many contacts, who can in turn infect their many neighbors and become influential spreaders.
Identifying influential nodes in spreading process in the network is an important step to control the speed and range of spreading, which can be used to accelerate the spread of beneficial information such as healthy behaviors, innovations and suppress the spread of epidemics, rumors and fake news. Existing researches on identification of influential spreaders are mostly based on low-order complex networks with pairwise interactions. However, interactions between individuals occur not only between pairwise nodes but also in groups of three or more nodes, which introduces complex mechanism of reinforcement and indirect influence. The higher-order networks such as simplicial complexes and hypergraphs, can describe features of interactions that go beyond the limitation of pairwise interactions. Currently, there are relatively few researches of identifying influential spreaders in higher-order networks. Some centralities of nodes such as higher-order degree centrality and eigenvector centrality are proposed, but they mostly consider only the network structure. As for identification of influential spreaders, the spreading influence of a node is closely related to the spreading process. In this paper, we work on identification of influential spreaders on simplicial complexes by taking both network structure and dynamical process into consideration. Firstly, we quantitatively describe the dynamics of disease spreading on simplicial complexes by using the Susceptible-Infected-Recovered microscopic Markov equations. Next, we use the microscopic Markov equations to calculate the probability that a node is infected in the spreading process, which is defined as the spreading centrality (SC) of nodes. This spreading centrality involves both the structure of simplicial complex and the dynamical process on it, and is then used to rank the spreading influence of nodes. Simulation results on two types of synthetic simplicial complexes and four real simplicial complexes show that compared with the existing centralities on higher-order networks and the optimal centralities of collective influence and nonbacktracking centrality in complex networks, the proposed spreading centrality can more accurately identify the most influential spreaders in simplicial complexes. In addition, we find that the probability of nodes infected is highly positively correlated with its influence, which is because disease preferentially reaches nodes with many contacts, who can in turn infect their many neighbors and become influential spreaders.












