2024 Vol. 73, No. 5
column
- SPECIAL TOPIC—Two-dimensional magnetism and topological spin physics
- SPECIAL TOPIC——Two-dimensional magnetism and topological spin physics • COVER ARTICLE
- DATA PAPERS
- GENERAL
- NUCLEAR PHYSICS
- ATOMIC AND MOLECULAR PHYSICS
- ELECTROMAGNETISM, OPTICS, ACOUSTICS, HEAT TRANSFER, CLASSICAL MECHANICS, AND FLUID DYNAMICS
- PHYSICS OF GASES, PLASMAS, AND ELECTRIC DISCHARGES
- CONDENSED MATTER: STRUCTURAL, MECHANICAL, AND THERMAL PROPERTIES
- CONDENSED MATTER: ELECTRONIC STRUCTURE, ELECTRICAL, MAGNETIC, AND OPTICAL PROPERTIES
- INTERDISCIPLINARY PHYSICS AND RELATED AREAS OF SCIENCE AND TECHNOLOGY
- GEOPHYSICS, ASTRONOMY, AND ASTROPHYSICS
Display Method:
2024, 73(5): 058502.
doi:10.7498/aps.73.20231908
Abstract:
Acoustic wave in solid has two modes of propagation: the bulk acoustic wave (BAW), which propagates inside solid in the form of longitudinal or transverse wave, and the surface acoustic wave (SAW), which is generated on the surface of solid and propagates along the surface. In acoustic radio frequency (RF) technologies acoustic waves are used to intercept and process RF signals, which are typified by the rapidly developing RF filter technology. Acoustic filter has the advantages of small size, low cost, steady performance and simple fabrication, and is widely used in mobile communication and other fields. Due to the mature fabrication process and well-defined resonance frequency of acoustic device, acoustic wave has become an extremely intriguing way to manipulate magnetism and spin current, with the goal of pursuing miniaturized, ultra-fast, and energy-efficient spintronic device applications. The integration of magnetic materials into acoustic RF device also provides a new way of thinking about the methods of acoustic device modulation and performance enhancement. This review first summarizes various physical mechanisms of magneto-acoustic coupling, and then based on these mechanisms, a variety of magnetic and spin phenomena such as acoustically controlled magnetization dynamics, magnetization switching, magnetic domain wall and magnetic skyrmions generation and motion, and spin current generation are systematically introduced. In addition, the research progress of magnetic control of acoustic wave, the inverse process of acoustic control of magnetism, is discussed, including the magnetic modulation of acoustic wave parameters and nonreciprocal propagation of acoustic waves, as well as new magneto-acoustic devices developed based on this, such as SAW-based magnetic field sensors, magneto-electric antennas, and tunable filters. Finally, the possible research objectives and applications of magneto-acoustic coupling in the future are prospected. In summary, the field of magneto-acoustic coupling is still in a stage of rapid development, and a series of groundbreaking breakthroughs has been made in the last decades, and the major advances are summarized in this field. The field of magneto-acoustic coupling is expected to make further significant breakthroughs, and we hope that this review will further promote the researches of physical phenomena of the coupling between magnetism and acoustic wave, spin and lattice, and potential device applications as well.
Acoustic wave in solid has two modes of propagation: the bulk acoustic wave (BAW), which propagates inside solid in the form of longitudinal or transverse wave, and the surface acoustic wave (SAW), which is generated on the surface of solid and propagates along the surface. In acoustic radio frequency (RF) technologies acoustic waves are used to intercept and process RF signals, which are typified by the rapidly developing RF filter technology. Acoustic filter has the advantages of small size, low cost, steady performance and simple fabrication, and is widely used in mobile communication and other fields. Due to the mature fabrication process and well-defined resonance frequency of acoustic device, acoustic wave has become an extremely intriguing way to manipulate magnetism and spin current, with the goal of pursuing miniaturized, ultra-fast, and energy-efficient spintronic device applications. The integration of magnetic materials into acoustic RF device also provides a new way of thinking about the methods of acoustic device modulation and performance enhancement. This review first summarizes various physical mechanisms of magneto-acoustic coupling, and then based on these mechanisms, a variety of magnetic and spin phenomena such as acoustically controlled magnetization dynamics, magnetization switching, magnetic domain wall and magnetic skyrmions generation and motion, and spin current generation are systematically introduced. In addition, the research progress of magnetic control of acoustic wave, the inverse process of acoustic control of magnetism, is discussed, including the magnetic modulation of acoustic wave parameters and nonreciprocal propagation of acoustic waves, as well as new magneto-acoustic devices developed based on this, such as SAW-based magnetic field sensors, magneto-electric antennas, and tunable filters. Finally, the possible research objectives and applications of magneto-acoustic coupling in the future are prospected. In summary, the field of magneto-acoustic coupling is still in a stage of rapid development, and a series of groundbreaking breakthroughs has been made in the last decades, and the major advances are summarized in this field. The field of magneto-acoustic coupling is expected to make further significant breakthroughs, and we hope that this review will further promote the researches of physical phenomena of the coupling between magnetism and acoustic wave, spin and lattice, and potential device applications as well.
2024, 73(5): 057501.
doi:10.7498/aps.73.20232010
Abstract:
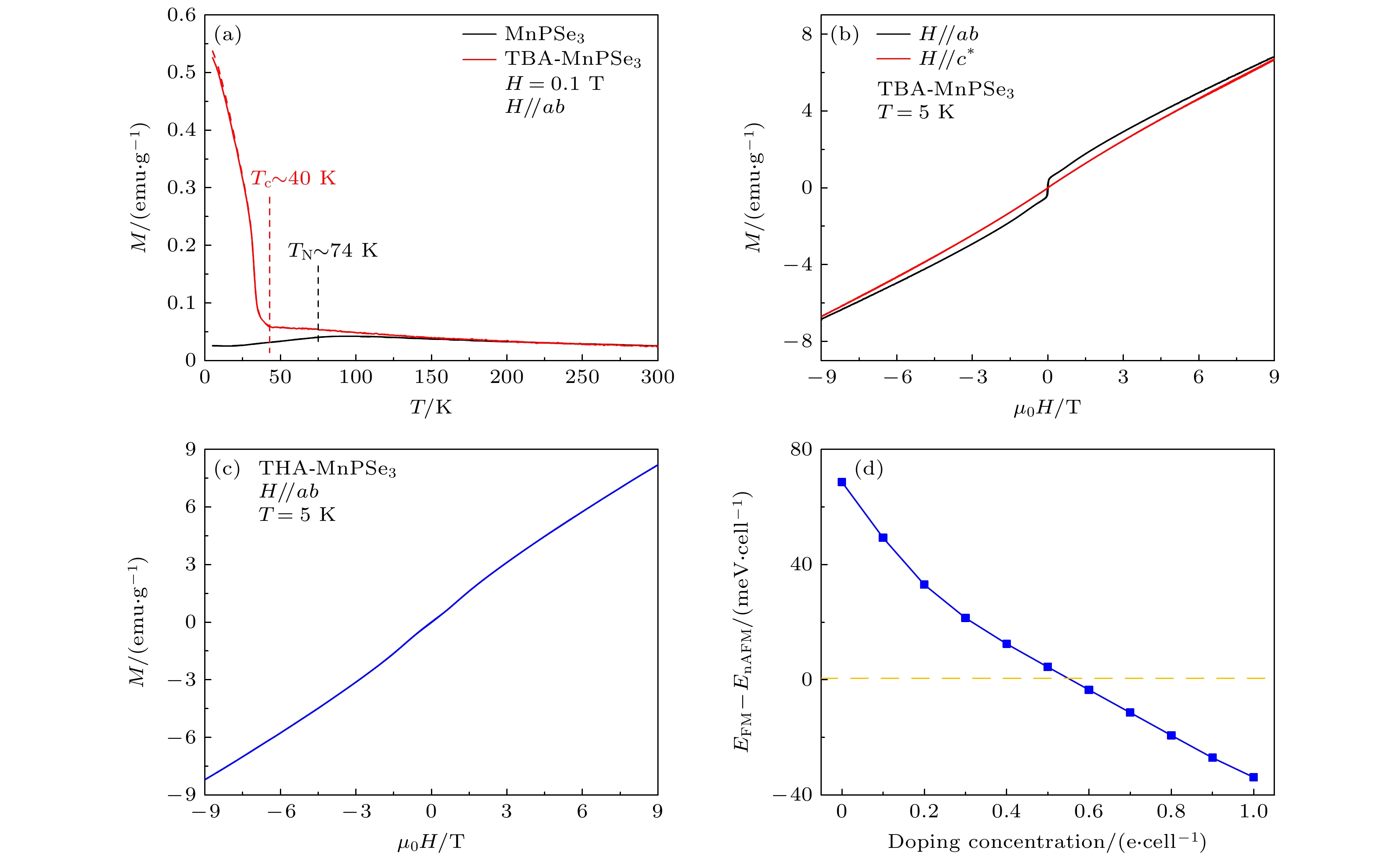
Electrical control of magnetism of two-dimensional (2D) antiferromagnetic (AFM) materials combines the advantages of controlling magnetism by purely electrical means, compatibility with semiconductor process, low energy consumption, heterogeneous integration of 2D materials with van der Waals (vdW) interface, and AFM materials with no stray field, resistance to external magnetic field interference, and high intrinsic frequency, and thus becomes a research focus in the field. The carrier concentration control is the main mechanism of electrical control of magnetism, and has been proved to be an effective way to control the magnetic properties of materials. The intralayer-antiferromagnetic materials have net-zero magnetic moments, and it is a challenging task to measure their regulated magnetic properties. Therefore, there is limited research on the electrical control of magnetism of intralayer-antiferromagnetic materials, and their potential mechanisms are not yet clear. Based on the diversity of organic cations, the present work systematically modulates the carrier concentrations of 2D intralayer-antiferromagnetic materialsMPX3(M= Mn, Fe, Ni;X= S, Se) by utilizing organic cations intercalation, and investigates the influence of electron doping on their magnetic properties. Phase transitions between AFM-ferrimagnetic (FIM)/ferromagnetic (FM) depending on carrier concentration changes are observed inMPX3materials, and the corresponding regulation mechanism is revealed through theoretical calculations. This research provides new insights into the carrier-controlled magnetic phase transition of 2D magnetic materials, and opens up a pathway for studying the correlation between the electronic structure and magnetic properties of 2D magnets, and designing novel spintronic devices as well.
Electrical control of magnetism of two-dimensional (2D) antiferromagnetic (AFM) materials combines the advantages of controlling magnetism by purely electrical means, compatibility with semiconductor process, low energy consumption, heterogeneous integration of 2D materials with van der Waals (vdW) interface, and AFM materials with no stray field, resistance to external magnetic field interference, and high intrinsic frequency, and thus becomes a research focus in the field. The carrier concentration control is the main mechanism of electrical control of magnetism, and has been proved to be an effective way to control the magnetic properties of materials. The intralayer-antiferromagnetic materials have net-zero magnetic moments, and it is a challenging task to measure their regulated magnetic properties. Therefore, there is limited research on the electrical control of magnetism of intralayer-antiferromagnetic materials, and their potential mechanisms are not yet clear. Based on the diversity of organic cations, the present work systematically modulates the carrier concentrations of 2D intralayer-antiferromagnetic materialsMPX3(M= Mn, Fe, Ni;X= S, Se) by utilizing organic cations intercalation, and investigates the influence of electron doping on their magnetic properties. Phase transitions between AFM-ferrimagnetic (FIM)/ferromagnetic (FM) depending on carrier concentration changes are observed inMPX3materials, and the corresponding regulation mechanism is revealed through theoretical calculations. This research provides new insights into the carrier-controlled magnetic phase transition of 2D magnetic materials, and opens up a pathway for studying the correlation between the electronic structure and magnetic properties of 2D magnets, and designing novel spintronic devices as well.
2024, 73(5): 053101.
doi:10.7498/aps.73.20231347
Abstract:
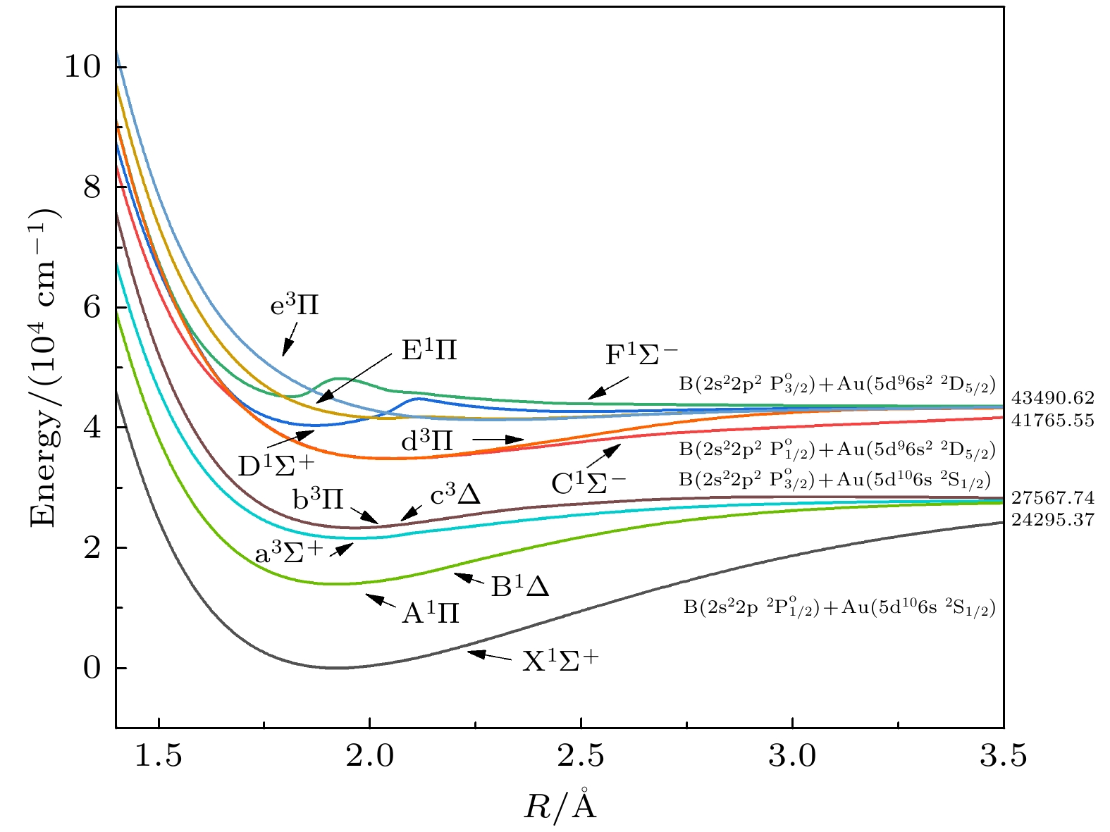
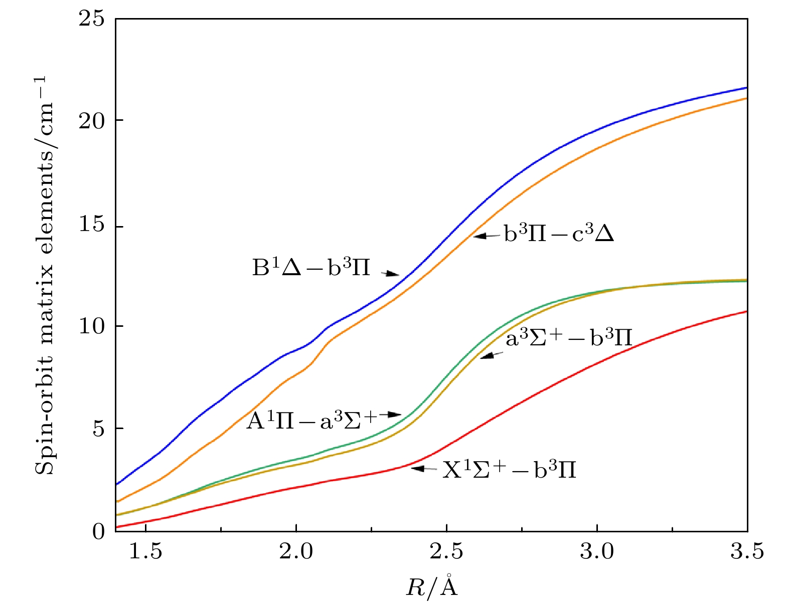
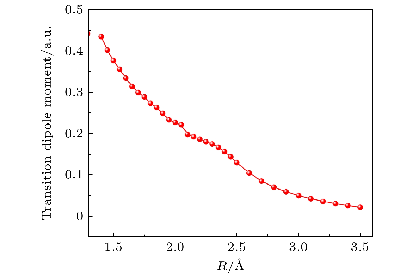
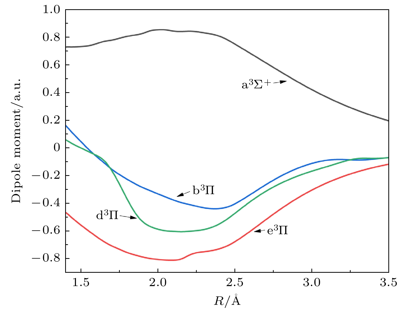
High-level configuration interaction method including the spin-orbit coupling is used to investigate the low-lying excited electronic states of AuB that is not reported experimentally. The electronic structure in our work is preformed through the three steps stated below. First of all, Hartree-Fock method is performed to compute the singlet-configuration wavefunction as the initial guess. Next, we generate a multi-reference wavefunction by using the state-averaged complete active space self-consistent field (SACASSCF). Finally, the wavefunctions from CASSCF are utilized as reference, the exact energy point values are calculated by the explicitly correlated dynamic multi-reference configuration interaction method (MRCI). The Davidson correction (+Q) is put forward to solve the size-consistence problem caused by the MRCI method. To ensure the accuracy, the spin-orbit effect and correlation for inner shell electrons and valence shell electrons are considered in our calculation. The potential energy curves of 12 Λ-S electronic states are obtained. According to the explicit potential energy curves, we calculate the spectroscopic constants through solving radial Schrödinger equation numerically. We analyze the influence of electronic state configuration on the dipole moment by using the variation of dipole moment with nuclear distance. The spin-orbit matrix elements for parts of low-lying exciting states are computed, and the relation between spin-orbit coupling and predissociation is discussed. The predissociation is analyzed by using the obtained spin-orbit matrix elements of the 4 Λ-S states which spilt into 12 Ω states. It indicates that due to the absence of the intersections between the curves of spin-orbit matrix elements related with the 4 low-lying Λ-S states, the predissociation for these low-lying exciting states will not occur. Finally, the properties of optical transition between the ground Ω state
\begin{document}$ {\rm A}^{1}{{{\Pi}}}_{1} $\end{document}
and first excited Ω state
\begin{document}$ {{\mathrm{X}}}^{1}{{{\Sigma }}}_{{0}^{+}} $\end{document}
are discussed in laser-cooling filed by analyzing the Franck-Condon factors and radiative lifetime. And the transition dipole moment is also calculated. But our results reveal that the AuB is not an ideal candidate for laser-cooling. In conclusion, this work is helpful in deepening the understanding of AuB, especially the structures of electronic states, interaction between excited states, and optical transition properties. All the data presented in this paper are openly available at
https://www.doi.org/10.57760/sciencedb.j00213.00009
.
High-level configuration interaction method including the spin-orbit coupling is used to investigate the low-lying excited electronic states of AuB that is not reported experimentally. The electronic structure in our work is preformed through the three steps stated below. First of all, Hartree-Fock method is performed to compute the singlet-configuration wavefunction as the initial guess. Next, we generate a multi-reference wavefunction by using the state-averaged complete active space self-consistent field (SACASSCF). Finally, the wavefunctions from CASSCF are utilized as reference, the exact energy point values are calculated by the explicitly correlated dynamic multi-reference configuration interaction method (MRCI). The Davidson correction (+Q) is put forward to solve the size-consistence problem caused by the MRCI method. To ensure the accuracy, the spin-orbit effect and correlation for inner shell electrons and valence shell electrons are considered in our calculation. The potential energy curves of 12 Λ-S electronic states are obtained. According to the explicit potential energy curves, we calculate the spectroscopic constants through solving radial Schrödinger equation numerically. We analyze the influence of electronic state configuration on the dipole moment by using the variation of dipole moment with nuclear distance. The spin-orbit matrix elements for parts of low-lying exciting states are computed, and the relation between spin-orbit coupling and predissociation is discussed. The predissociation is analyzed by using the obtained spin-orbit matrix elements of the 4 Λ-S states which spilt into 12 Ω states. It indicates that due to the absence of the intersections between the curves of spin-orbit matrix elements related with the 4 low-lying Λ-S states, the predissociation for these low-lying exciting states will not occur. Finally, the properties of optical transition between the ground Ω state
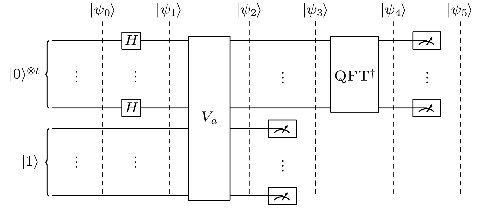
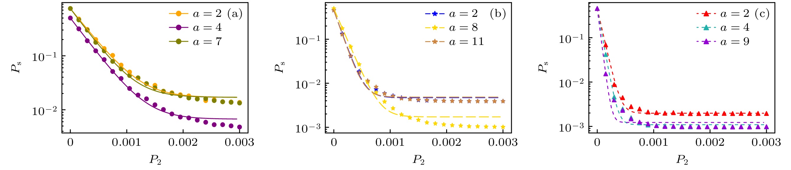
2024, 73(5): 050301.
doi:10.7498/aps.73.20231414
Abstract:
Shor’s quantum factoring algorithm (Shor’s algorithm) can solve factorization problem of large integers by using a fully-operational quantum computer with the complexity of polynomial-time level, thereby cracking a series of encryption algorithms (such as Rivest-Shamir-Adleman encryption algorithm, and Diffie-Hellman key exchange protocol) whose security is guaranteed by factorizing large integers, which is a difficult problem. We are currently in a noisy intermediate-scale quantum era, which means that we can only operate on quantum computers with a limited number of qubits and we have to take care of the effects of quantum noise. Quantum states on a quantum computer are prone to quantum noise caused by low-fidelity gates or interactions between qubits and the environment, which results in inaccurate measurements. We study the influence of quantum noise on Shor’s algorithm through 3 typical quantum noise channels: the depolarizing channel, the state preparation and measurement channel, and the thermal relaxation channel. We successfully simulate the factorization of the numbers 15, 21, and 35 into their corresponding prime factors by using the quantum circuit we have constructed on a classical computer. Then we simulate a running quantum circuit of Shor’s algorithm in a noisy environment with different level of noise for a certain type of noise channel and present numerical results. We can obtain precise measurements by calculating the state vector prior to measurement, instead of simulating and measuring expending much time, which contributes to higher efficiency. Each experiment is repeated 1000 times to reduce discrepancy. Our research indicates that Shor’s algorithm is easily affected by quantum noise. Successful rate of Shor’s algorithm decreases exponentially with the increase of noise level in the depolarizing channel, where the successful rate is an indicator we propose in this research to quantify the influence of noise on Shor’s algorithm, meanwhile the noise in the state preparation and measurement channel and the thermal relaxation channel can linearly affect the successful rate of Shor’s algorithm. There are
\begin{document}$O(n^4) $\end{document}
quantum gates in the circuit, each of which is disrupted by noise in depolarizing channel during running the circuit, meanwhile there are onlyO(n) interruptions caused by noise in state preparation and measurement channel since we repeat the measurements onlyO(n) times in the circuit wherenis the number of bits of the integer about to be factored. Linear relationship in thermal relaxation channel is mainly due to the large gap between quantum gate time and relaxation time even if each gate in the circuit is disrupted by noise in thermal relaxation channel such as depolarizing channel. The present research results can be used for correcting the subsequent errors, improving Shor’s algorithm, and providing guidance for the fidelity required in engineering implementation of Shor’s algorithm.
Shor’s quantum factoring algorithm (Shor’s algorithm) can solve factorization problem of large integers by using a fully-operational quantum computer with the complexity of polynomial-time level, thereby cracking a series of encryption algorithms (such as Rivest-Shamir-Adleman encryption algorithm, and Diffie-Hellman key exchange protocol) whose security is guaranteed by factorizing large integers, which is a difficult problem. We are currently in a noisy intermediate-scale quantum era, which means that we can only operate on quantum computers with a limited number of qubits and we have to take care of the effects of quantum noise. Quantum states on a quantum computer are prone to quantum noise caused by low-fidelity gates or interactions between qubits and the environment, which results in inaccurate measurements. We study the influence of quantum noise on Shor’s algorithm through 3 typical quantum noise channels: the depolarizing channel, the state preparation and measurement channel, and the thermal relaxation channel. We successfully simulate the factorization of the numbers 15, 21, and 35 into their corresponding prime factors by using the quantum circuit we have constructed on a classical computer. Then we simulate a running quantum circuit of Shor’s algorithm in a noisy environment with different level of noise for a certain type of noise channel and present numerical results. We can obtain precise measurements by calculating the state vector prior to measurement, instead of simulating and measuring expending much time, which contributes to higher efficiency. Each experiment is repeated 1000 times to reduce discrepancy. Our research indicates that Shor’s algorithm is easily affected by quantum noise. Successful rate of Shor’s algorithm decreases exponentially with the increase of noise level in the depolarizing channel, where the successful rate is an indicator we propose in this research to quantify the influence of noise on Shor’s algorithm, meanwhile the noise in the state preparation and measurement channel and the thermal relaxation channel can linearly affect the successful rate of Shor’s algorithm. There are
2024, 73(5): 050401.
doi:10.7498/aps.73.20231462
Abstract:
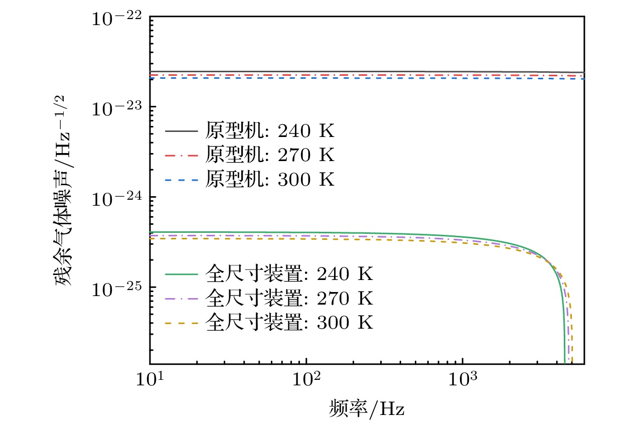
Gravitational waves (GWs) are ripples in spacetime caused by most violent and energetic processes in the universe, such as the rapid motion of massive celestial bodies. The GWs carry energy when they propagate through the universe. The detection of GWs holds significance for advancing human understanding of the nature and driving scientific and technological progress. The continual upgrading and optimizing of GW detectors offer novel avenues for cosmic measurements. However, ground-based GW detectors based on a large interferometer necessitate addressing various noises which are harmful to the sensitivity of the GW detectors. Among these noises, the noise from residual gas in the light beam of the interferometer is a crucial factor to affect the sensitivity. Consequently, it is necessary to establish a vacuum system to shield the laser interferometer from the effects of gas flow. This paper focuses on China’s third-generation ground-based GWs detector, conducting theoretical analysis of the influence of residual gas noise on both a 20-meter arm-length prototype and a full-scale device with a 10-kilometer arm-length. In this paper, a theoretical model for the residual gas particles passing through the laser beam is established and the effect on the beam phase is analyzed. The theoretical simulations are performed to discover the relations between the residual gas noise and significant parameters such as gas pressure of the vacuum system, temperature, mass of residual gas particles, polarization rate of the residual gas, and the curvature radius of the test mass. The simulations indicate that when the residual gas pressure is below 2×10–6Pa, the GW detector can achieve the enough sensitivity, 10–24Hz–1/2, in a frequency range from 10 to 103Hz. The findings of this research offer crucial theoretical insights for designing and constructing the vacuum systems in future third-generation GWs detector prototypes and full-scale devices.
Gravitational waves (GWs) are ripples in spacetime caused by most violent and energetic processes in the universe, such as the rapid motion of massive celestial bodies. The GWs carry energy when they propagate through the universe. The detection of GWs holds significance for advancing human understanding of the nature and driving scientific and technological progress. The continual upgrading and optimizing of GW detectors offer novel avenues for cosmic measurements. However, ground-based GW detectors based on a large interferometer necessitate addressing various noises which are harmful to the sensitivity of the GW detectors. Among these noises, the noise from residual gas in the light beam of the interferometer is a crucial factor to affect the sensitivity. Consequently, it is necessary to establish a vacuum system to shield the laser interferometer from the effects of gas flow. This paper focuses on China’s third-generation ground-based GWs detector, conducting theoretical analysis of the influence of residual gas noise on both a 20-meter arm-length prototype and a full-scale device with a 10-kilometer arm-length. In this paper, a theoretical model for the residual gas particles passing through the laser beam is established and the effect on the beam phase is analyzed. The theoretical simulations are performed to discover the relations between the residual gas noise and significant parameters such as gas pressure of the vacuum system, temperature, mass of residual gas particles, polarization rate of the residual gas, and the curvature radius of the test mass. The simulations indicate that when the residual gas pressure is below 2×10–6Pa, the GW detector can achieve the enough sensitivity, 10–24Hz–1/2, in a frequency range from 10 to 103Hz. The findings of this research offer crucial theoretical insights for designing and constructing the vacuum systems in future third-generation GWs detector prototypes and full-scale devices.
2024, 73(5): 050601.
doi:10.7498/aps.73.20231394
Abstract:
In the field of quantum metrology, an important application is quantum parameter estimation. As the fundamental theory of quantum parameter estimation, quantum Cramér-Rao inequality shows that the variance of parameter estimation is determined by the inverse of quantum Fisher information. Higher quantum Fisher information corresponds to a lower variance, thereby improving the precision of parameter estimation. Quantum Fisher information has been extensively investigated in many aspects of non-relativistic quantum mechanics, including entanglement structure detection, quantum teleportation, quantum phase transition, quantum chaos, and quantum computation. However, there are few researches considering the influence of relativistic effect on quantum Fisher information, and therefore, we attempt to investigate this topic in this work. The relativistic transformation of particle states is employed, and the quantum Fisher information about amplitude parameter
\begin{document}$ \theta $\end{document}
and phase parameter
\begin{document}$\varphi $\end{document}
are investigated in moving reference frame. In this work, the parameters to be estimated are encoded into the spin degree of freedom, and the pure single-qubit state and the pure two-qubit state are both considered. The quantum Fisher information about
\begin{document}$ \theta $\end{document}
and
\begin{document}$\varphi $\end{document}
of single-qubit state and two-qubit state in moving reference frame are numerically calculated, respectively. It can be observed that the quantum Fisher information is associated with rapidity, amplitude parameter, and the ratio of the width to the particle mass
\begin{document}${{{\sigma _r}} \mathord{\left/ {\vphantom {{{\sigma _r}} m}} \right. } m}$\end{document}
. The quantum Fisher information of the estimated parameters decreases with rapidity increasing for both single-qubit state and two-qubit state. As rapidity approaches infinity, i.e. increases to the speed of light, the quantum Fisher information reaches to a constant which decreases as the ratio
\begin{document}${{{\sigma _r}} \mathord{\left/ {\vphantom {{{\sigma _r}} m}} \right. } m}$\end{document}
increases. More importantly, for the phase parameter
\begin{document}$ \varphi $\end{document}
, it is observed that the quantum Fisher information of two-qubit state reduces more significantly than that of single-qubit state. While, for the amplitude parameter
\begin{document}$\theta $\end{document}
, the quantum Fisher information of two-qubit state is greater than that of single-qubit state. These results are useful and valuable for improving the precision of parameter estimation under the influence of relativistic effect.
In the field of quantum metrology, an important application is quantum parameter estimation. As the fundamental theory of quantum parameter estimation, quantum Cramér-Rao inequality shows that the variance of parameter estimation is determined by the inverse of quantum Fisher information. Higher quantum Fisher information corresponds to a lower variance, thereby improving the precision of parameter estimation. Quantum Fisher information has been extensively investigated in many aspects of non-relativistic quantum mechanics, including entanglement structure detection, quantum teleportation, quantum phase transition, quantum chaos, and quantum computation. However, there are few researches considering the influence of relativistic effect on quantum Fisher information, and therefore, we attempt to investigate this topic in this work. The relativistic transformation of particle states is employed, and the quantum Fisher information about amplitude parameter
2024, 73(5): 052101.
doi:10.7498/aps.73.20231649
Abstract:
In this work, we investigate the thermodynamical properties of strange quark matter (SQM) and color-flavor-locked (CFL) quark matter under strong magnetic fields by using a quasiparticle model. We calculate the energy density and the corresponding anisotropic pressure of both SQM and CFL quark matter. Our results indicate that CFL quark matter exhibits greater stability than the SQM, and the pressure of CFL quark matter increases with the energy gap constant
\begin{document}$\varDelta $\end{document}
increasing. We also observe that the oscillation effects coming from the lowest Landau level can be reduced by increasing the energy gap constant
\begin{document}$ \varDelta $\end{document}
, which cannot be observed in SQM under a similar strong magnetic field. The equivalent quark mass for u, d, and s quark and the chemical potential for each flavor of quarks decrease with the energy gap constant
\begin{document}$ \varDelta $\end{document}
increasing, which matches the conclusion that CFL quark matter is more stable than SQM. From the calculations of the magnetars with SQM and CFL quark matter, we find that the maximum mass of magnetars increases with the energy gap constant
\begin{document}$\varDelta $\end{document}
increasing for both the longitudinal and the transverse orientation distribution of magnetic field. Additionally, the tidal deformability of the magnetars increases with the
\begin{document}$\varDelta $\end{document}
increasing. On the other hand, the central baryon density of the maximum mass of the magnetars decreases with the
\begin{document}$\varDelta $\end{document}
increasing. The results also indicate that the mass-radius lines of the CFL quark star can also satisfy the new estimates of the mass-radius region from PSR J0740 + 6620, PSR J0030 + 0451, and HESS J1731-347.
In this work, we investigate the thermodynamical properties of strange quark matter (SQM) and color-flavor-locked (CFL) quark matter under strong magnetic fields by using a quasiparticle model. We calculate the energy density and the corresponding anisotropic pressure of both SQM and CFL quark matter. Our results indicate that CFL quark matter exhibits greater stability than the SQM, and the pressure of CFL quark matter increases with the energy gap constant
2024, 73(5): 052401.
doi:10.7498/aps.73.20231499
Abstract:
Indium phosphide (InP) material hasmany advantages, such as large band gap, high electron mobility, high photoelectric conversion efficiency, high temperature resistance, and radiation resistance, which is superior to silicon (Si) and gallium arsenide (GaAs). Meanwhile InP is widely used in optical communication, high-frequency millimeter waves, optoelectronic integrated circuits, satellite communication, space solar cells, and other fields. Radiation particles incident on InP device can generate displacement atoms inside the device through elastic processes. And these displacement atoms continue cascade collisions to generate lattice defects which are vacancies, interstitials, and clusters. These defects capture electrons-holes by defective energy levels in the energy band, and then resulting in a decrease in the life of minority carriers which is the reason of degradation of InP devices. The process of degradation of InP device, induced by lattice defects from ion-irradiation, is called displacement damage effect (DDE). The non-ionizing loss energy (NIEL) scaling is a useful method to predict the degradation of device caused by DDE of radiation particles. Many studies have shown that the NIEL is linearly related to the damage coefficient of InP device. Previous studies of radiation damage effect of InP device mainly focused on single-energy protons, electrons, and neutrons. Of the particles in low earth orbit (LEO),the vast majority of particles are protons, with a few being α particles and electrons, while the electron’s NIEL is too small and its DDE is negligible. The InP’s NIEL induced by proton and α energy in LEO has not been studied in detail. Therefore, this paper uses Monte Carlo software Geant4 to study the NIEL, damage energy distribution with depth, and annual total non-ionization loss energy generated by protons and α particles in LEO in 500/1000/5000 μm InP materials. The shielding of 150-μm-thick SiO2layer and 2.54-mm-thick Al layer from protons and α particles are used as InP solar cell and InP devices in spacecraft, respectively. It is found that the energy spectrum determines the non-ionizing damage energy
\begin{document}$ {T}_{\text{dam}} $\end{document}
distribution, and then influences the NIEL value: the NIEL value increases with
\begin{document}$ {T}_{\text{dam}} $\end{document}
increasing and thickness of InP material decreasing. And α NIEL is larger than proton’s, the single particle DDE of InP device, induced by α particles, should be concerned. The annual non-ionizing damage energy of proton accounts for 98%, which means that proton is the main factor degrading InP devices in LEO.
Indium phosphide (InP) material hasmany advantages, such as large band gap, high electron mobility, high photoelectric conversion efficiency, high temperature resistance, and radiation resistance, which is superior to silicon (Si) and gallium arsenide (GaAs). Meanwhile InP is widely used in optical communication, high-frequency millimeter waves, optoelectronic integrated circuits, satellite communication, space solar cells, and other fields. Radiation particles incident on InP device can generate displacement atoms inside the device through elastic processes. And these displacement atoms continue cascade collisions to generate lattice defects which are vacancies, interstitials, and clusters. These defects capture electrons-holes by defective energy levels in the energy band, and then resulting in a decrease in the life of minority carriers which is the reason of degradation of InP devices. The process of degradation of InP device, induced by lattice defects from ion-irradiation, is called displacement damage effect (DDE). The non-ionizing loss energy (NIEL) scaling is a useful method to predict the degradation of device caused by DDE of radiation particles. Many studies have shown that the NIEL is linearly related to the damage coefficient of InP device. Previous studies of radiation damage effect of InP device mainly focused on single-energy protons, electrons, and neutrons. Of the particles in low earth orbit (LEO),the vast majority of particles are protons, with a few being α particles and electrons, while the electron’s NIEL is too small and its DDE is negligible. The InP’s NIEL induced by proton and α energy in LEO has not been studied in detail. Therefore, this paper uses Monte Carlo software Geant4 to study the NIEL, damage energy distribution with depth, and annual total non-ionization loss energy generated by protons and α particles in LEO in 500/1000/5000 μm InP materials. The shielding of 150-μm-thick SiO2layer and 2.54-mm-thick Al layer from protons and α particles are used as InP solar cell and InP devices in spacecraft, respectively. It is found that the energy spectrum determines the non-ionizing damage energy
2024, 73(5): 052402.
doi:10.7498/aps.73.20231671
Abstract:
Gallium nitride materials, due to their excellent electrical properties and irradiation resistance, are expected to be used in future space electronics systems where electronic devices are composed of different amounts of AlxGa1–xN materials. However, most of their displacement damage studies currently focus on GaN materials, and less on AlxGa1–xN materials themselves. The mechanism of displacement damage induced by 10-keV to 300-MeV protons incident on AlxGa1–xN materials with different Al content is investigated by binary collision approximation method. The results show that the non-ionization energy loss of AlxGa1–xN material decreases with proton energy increasing. When the proton energy is lower than 40 MeV, the non-ionization energy loss becomes larger with the increase of Al content, while the trend is reversed when the proton energy increases. Analyzing the primary knock-on atoms and non-ionizing energy deposition caused by protons, it is found that the primary knock-on atoms’ spectra of different AlxGa1–xN materials are similar, but the higher the content of Al, the higher the proportion of the self primary knock-on atoms generated by elastic collisions is. For the non-ionizing energy deposition produced by protons at different depths, the energy deposition due to elastic collisions is largest at the end of the trajectory, while the energy deposition due to inelastic collisions is uniformly distributed in the front of the trajectory but decreases at the end of the trajectory. This study provides a good insight into the applications of GaN materials and devices in space radiation environment.
Gallium nitride materials, due to their excellent electrical properties and irradiation resistance, are expected to be used in future space electronics systems where electronic devices are composed of different amounts of AlxGa1–xN materials. However, most of their displacement damage studies currently focus on GaN materials, and less on AlxGa1–xN materials themselves. The mechanism of displacement damage induced by 10-keV to 300-MeV protons incident on AlxGa1–xN materials with different Al content is investigated by binary collision approximation method. The results show that the non-ionization energy loss of AlxGa1–xN material decreases with proton energy increasing. When the proton energy is lower than 40 MeV, the non-ionization energy loss becomes larger with the increase of Al content, while the trend is reversed when the proton energy increases. Analyzing the primary knock-on atoms and non-ionizing energy deposition caused by protons, it is found that the primary knock-on atoms’ spectra of different AlxGa1–xN materials are similar, but the higher the content of Al, the higher the proportion of the self primary knock-on atoms generated by elastic collisions is. For the non-ionizing energy deposition produced by protons at different depths, the energy deposition due to elastic collisions is largest at the end of the trajectory, while the energy deposition due to inelastic collisions is uniformly distributed in the front of the trajectory but decreases at the end of the trajectory. This study provides a good insight into the applications of GaN materials and devices in space radiation environment.
2024, 73(5): 053401.
doi:10.7498/aps.73.20231513
Abstract:
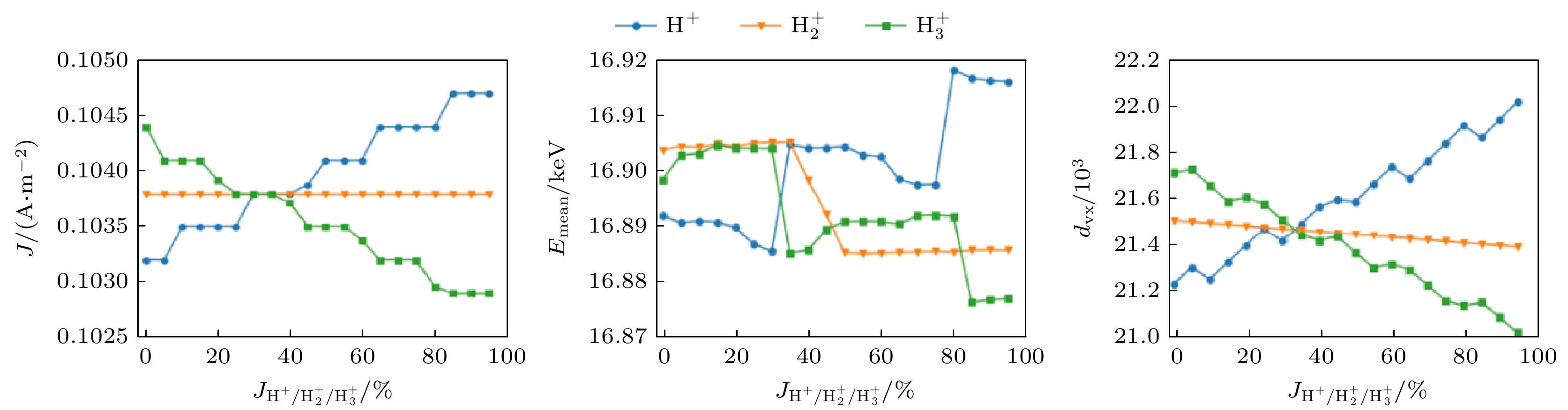
The tapered glass capillaries have been widely used in physics, biology, materials. The features of ions transmitted through the insulating tapered glass capillary manifest themselves mainly in the interaction between positive ions and tapered glass capillary, However, the transmission process of negative ions in tapered glass capillary has been studied scarcely so far.
In the present study, we measure the properties of 16 keV C
–ions transmitted through the tapered glass capillary, such as the two-dimensional spectral distribution, the relative transmission rate, the centroid angle, the charge state purity and the full width at half maximum of the transmitted particles. As the tapered glass capillary tilt angle is equal to 0°, the transmitted particles are composed of three components, i.e. the core, the C
–of halo and the C
0of halo. As the tilt angle is 1°, the transmitted particles are composed of two components, i.e. C
–and C
0. As the tilt angle is >1°, there is no core region, the transmitted particles are composed of two components, i.e. C
–and C
0. No matter how the tilt angle changes, the centroid angles of core are always along the direction of the incident ions, independent of the tilt angels. And the centroid angles of transmitted C
–and C
0are always along the direction of the capillary axis. The transmission processes of 16 keV C
–ions in tapered glass capillary with different tilting angles are analyzed qualitatively. When the tilting angle is small (0°–1°), the C
–ions are directly traveling straight through the back cone hole of tapered glass capillary, which are mainly composed of C
–ions. When the tilt angle is large (>1°), the C
–ions cannot directly travel straight through the back cone hole of the tapered glass capillary, and the core region does not appear. Due to the guiding effect of the negative charges deposited on inner wall of tapered glass capillary, the transmitted C
–ions are located around the direction of the capillary axis. The tapered glass capillary has a focusing effect on the incident ions. This experiment covers the lack of the studies of low-energy negative ions transmitted through tapered capillary and helps to strengthen the understanding of the transmission process of low-energy ions transmitted through tapered capillary.
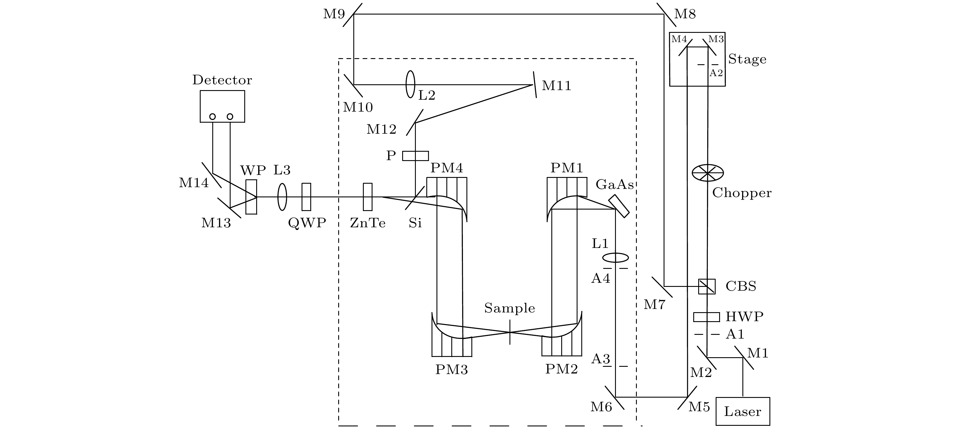
2024, 73(5): 054201.
doi:10.7498/aps.73.20231534
Abstract:
Optical bistability has attracted much attention due to its enormous potential applications in all-optical operation and signal processing. However, the weak nonlinear responses typically require huge pump power to reach the threshold of the optical bistability, thus hindering the real applications. In this study, we propose an efficient optical bistable metamaterial, which is composed of multilayer Ga2O3-SiC-Ag metal-dielectric nanostructures. We not only use the epsilon-near-zero (ENZ) with SiC-Ag thin layers to enhance the substantial field, but also incorporate the SiC material to increase its significant optical nonlinear coefficient. In the structural design, the introduction of Ga2O3layer facilitates the light field concentration, contributing to the further reduction in threshold power for optical bistability, and also conducing to the improvement of the physical and chemical stability of the device. The influences of the thickness and length of the ENZ layer on the optical bistability are systematically investigated by using the finite element method. The results demonstrate that optical bistability becomes more pronounced with the increase of the thickness and length of ENZ layer, exhibiting a bistability switching threshold as low as ~10–6W/cm2in the telecommunication band. Comparing with the previously reported optical bistability based on ENZ mechanism, the threshold shows a significant reduction by 9 orders of magnitude, demonstrating great application potential in the fields of semiconductor devices and photonic integrated circuits.
Optical bistability has attracted much attention due to its enormous potential applications in all-optical operation and signal processing. However, the weak nonlinear responses typically require huge pump power to reach the threshold of the optical bistability, thus hindering the real applications. In this study, we propose an efficient optical bistable metamaterial, which is composed of multilayer Ga2O3-SiC-Ag metal-dielectric nanostructures. We not only use the epsilon-near-zero (ENZ) with SiC-Ag thin layers to enhance the substantial field, but also incorporate the SiC material to increase its significant optical nonlinear coefficient. In the structural design, the introduction of Ga2O3layer facilitates the light field concentration, contributing to the further reduction in threshold power for optical bistability, and also conducing to the improvement of the physical and chemical stability of the device. The influences of the thickness and length of the ENZ layer on the optical bistability are systematically investigated by using the finite element method. The results demonstrate that optical bistability becomes more pronounced with the increase of the thickness and length of ENZ layer, exhibiting a bistability switching threshold as low as ~10–6W/cm2in the telecommunication band. Comparing with the previously reported optical bistability based on ENZ mechanism, the threshold shows a significant reduction by 9 orders of magnitude, demonstrating great application potential in the fields of semiconductor devices and photonic integrated circuits.
2024, 73(5): 054202.
doi:10.7498/aps.73.20231765
Abstract:
Two-mode orthogonal squeezed vacuum states are an important quantum resource for quantum communication, quantum computing, quantum simulation, quantum precision measurement and sensing. It is essential to obtain stable two-mode orthogonal squeezed vacuum states in a low frequency range and compact configurations for practical applications, especially in quantum precision measurement and sensing. Two-mode orthogonal squeezed vacuum states are commonly produced via a subthreshold nondegenerate optical parametric amplifier (NOPA) in a continuous variable system. However, it is a difficult problem that the subthreshold NOPA cavity is phase sensitive manipulated to obtain stable squeezed vacuum states. Previous signal light injecting scheme relies on an injection of a weak light field into the subthreshold NOPA for phase sensitive manipulation. The injected signal light has the same frequency as the generated squeezed vacuum state. Thereby even the weakest injected signal light can introduce large amounts of excessive noise at low frequencies and the squeezing degree of two-mode squeezed vacuum states will be reduced or squeezing cannot be achieved.
In this paper, a single sideband frequency shifted light injecting scheme is proposed for phase sensitive manipulation of NOPA. The comparison between the single sideband frequency shifted light injecting scheme and the signal light injecting scheme for realization of phase sensitive manipulation of NOPA is conducted. The effects of the two schemes on the generation of the low-frequency two-mode orthogonal squeezed vacuum state light field are investigated experimentally . The experimental results show that in the signal light injecting scheme for phase sensitive manipulation, the squeezing degree of the two-mode orthogonal squeezed vacuum state continuously decreases until it disappears as the power of injected signal light increases. In the process of phase sensitive manipulation of NOPA by using the single sideband frequency shifted light injecting scheme, the squeezing degree of the two-mode orthogonal squeezed vacuum state does not change with the power of the injected frequency shifted light increasing. Stable phase sensitive manipulation is realized by injecting single sideband frequency shifted light into NOPA. The NOPA is operated in a phase sensitive amplification state for 30 min. Stable low-frequency two-mode orthogonal squeezed vacuum states are obtained. The (4.1 ± 0.1) dB amplitude orthogonal squeezed vacuum states and (4.0 ± 0.2) dB phase orthogonal squeezed vacuum states at a frequency of 200 kHz are generated stably, in a compact NOPA configuration.
2024, 73(5): 054203.
doi:10.7498/aps.73.20231835
Abstract:
Quantum-enhanced optical phase tracking is a quantum optical technique for tracking and measuring optical phases with high accuracy. It has important applications in laser interferometry, spectral analysis, and optical measurements. In this study, we propose a quantum-enhanced optical phase tracking protocol based on squeezed state optical fields. By using a continuous solid-state laser source with a central wavelength of 1064 nm, combing second harmonic generation, optical parametric oscillator, and PDH (Pound-Drever-Hall) locking technology, we prepare an initial squeezed state with a squeezing level of (8.0±0.2) dB. Through signal modulation technique and demodulation technique, we control the phase of the squeezed state optical field, thereby realizing the quantum-enhanced tracking of optical phases within the range of 0-2π. Compared with classical protocols, this protocol can suppress the noise fluctuations of phase tracking to at least 6.27 dB below the shot noise limit, improving the phase tracking accuracy by more than 76.4%. Because of the high requirements for phase measurement accuracy in applications such as angle estimation, phased array radar, and phased array sonar, this protocol is expected to improve the phase estimation accuracy beyond the shot noise limit. It provides compressed light sources for relevant fields, laying a theoretical and experimental foundation for higher-precision spatial positioning and quantum ranging techniques. The probe is made of amino acids arranged in a linear chain and joined together by peptide bonds between the carboxyl and amino groups of adjacent amino acid residues. The sequence of amino acids in a protein is determined by a gene and encoded in the genetic code. This can happen either before the protein is used in the cell, or as part of control mechanism.
Quantum-enhanced optical phase tracking is a quantum optical technique for tracking and measuring optical phases with high accuracy. It has important applications in laser interferometry, spectral analysis, and optical measurements. In this study, we propose a quantum-enhanced optical phase tracking protocol based on squeezed state optical fields. By using a continuous solid-state laser source with a central wavelength of 1064 nm, combing second harmonic generation, optical parametric oscillator, and PDH (Pound-Drever-Hall) locking technology, we prepare an initial squeezed state with a squeezing level of (8.0±0.2) dB. Through signal modulation technique and demodulation technique, we control the phase of the squeezed state optical field, thereby realizing the quantum-enhanced tracking of optical phases within the range of 0-2π. Compared with classical protocols, this protocol can suppress the noise fluctuations of phase tracking to at least 6.27 dB below the shot noise limit, improving the phase tracking accuracy by more than 76.4%. Because of the high requirements for phase measurement accuracy in applications such as angle estimation, phased array radar, and phased array sonar, this protocol is expected to improve the phase estimation accuracy beyond the shot noise limit. It provides compressed light sources for relevant fields, laying a theoretical and experimental foundation for higher-precision spatial positioning and quantum ranging techniques. The probe is made of amino acids arranged in a linear chain and joined together by peptide bonds between the carboxyl and amino groups of adjacent amino acid residues. The sequence of amino acids in a protein is determined by a gene and encoded in the genetic code. This can happen either before the protein is used in the cell, or as part of control mechanism.
2024, 73(5): 054204.
doi:10.7498/aps.73.20231614
Abstract:
Due to the excellent characteristics such as good beam quality, dynamic single-longitudinal mode, low power consumption, and good wavelength stability, especially easy-to-integrate high-density 2D area arrays, vertical-cavity surface-emitting laser (VCSEL) is widely used in optical identification, optical interconnection systems, optical data storage and other fields. In recent years, with the improvement of materials and process technology, VCSEL has played an increasingly important role in the fields of smartphone face recognition, drone obstacle avoidance, virtual reality/augmented reality (VR/AR), sweeping robots, home cameras, etc., and with the rapid development and application of 5G communication, VCSEL will become an indispensable main component. However, due to the introduction of distributed Bragg mirrors, the thermal effect of VCSEL is very serious, especially when VCSEL is integrated into an array device, current-induced self-heating of each individual array cell and the thermal coupling among array cells have become the major factors contributing to thermal rollover and hence restraining the optical output performance of the VCSEL arrays. Therefor it is of great significance to study the thermal characteristics of VCSELs, in order to solve the problem of thermal crosstalk between single-tube devices, and increase the life of the device. This paper analyzes the influence of cell spacing and arrangement on the thermal crosstalk phenomenon and thermal diffusion performance of VCSEL array device based on the finite element model. The simulation results show that the maximum temperature of the device decays exponentially with the increase of cell spacing, the thermal crosstalk phenomenon and thermal diffusion performance of VCSEL array devices are significantly improved. When the cell spacing is 120 μm, the influence between the cells is small, the thermal crosstalk phenomenon is significantly improved, and the heat dissipation effect is better. On this basis, four non-square VCSEL arrays with 16 cells are designed, and it can be seen that compared with the square arrangement, the isosceles triangle, pentagonal and hexagonal configurations have improved the thermal crosstalk phenomenon and thermal diffusion performance, and the overall temperature rise of the VCSEL array is significantly reduced. The thermal crosstalk phenomenon of the pentagonal arrangement is significantly improved, and the device temperature is 37.32 ℃, which is the best effect among several arrangement methods. According to the results of theoretical simulation, the VCSEL array devices with different arrangements are prepared and characterized on the same epitaxial wafer by the same process. From theP-I-Vcharacteristic curves, it can be seen that the threshold currents of isosceles triangles, pentagons and hexagons are lower than those of the square arrangement, and the maximum output power is higher than that of the square arrangement, especially the maximum output power value of the pentagonal is 150 mW. The results show that the new arrangement can effectively improve the thermal crosstalk phenomenon between the cells, increase the output power of the device, and make the VCSEL array device have good optoelectronic and thermal characteristics.
Due to the excellent characteristics such as good beam quality, dynamic single-longitudinal mode, low power consumption, and good wavelength stability, especially easy-to-integrate high-density 2D area arrays, vertical-cavity surface-emitting laser (VCSEL) is widely used in optical identification, optical interconnection systems, optical data storage and other fields. In recent years, with the improvement of materials and process technology, VCSEL has played an increasingly important role in the fields of smartphone face recognition, drone obstacle avoidance, virtual reality/augmented reality (VR/AR), sweeping robots, home cameras, etc., and with the rapid development and application of 5G communication, VCSEL will become an indispensable main component. However, due to the introduction of distributed Bragg mirrors, the thermal effect of VCSEL is very serious, especially when VCSEL is integrated into an array device, current-induced self-heating of each individual array cell and the thermal coupling among array cells have become the major factors contributing to thermal rollover and hence restraining the optical output performance of the VCSEL arrays. Therefor it is of great significance to study the thermal characteristics of VCSELs, in order to solve the problem of thermal crosstalk between single-tube devices, and increase the life of the device. This paper analyzes the influence of cell spacing and arrangement on the thermal crosstalk phenomenon and thermal diffusion performance of VCSEL array device based on the finite element model. The simulation results show that the maximum temperature of the device decays exponentially with the increase of cell spacing, the thermal crosstalk phenomenon and thermal diffusion performance of VCSEL array devices are significantly improved. When the cell spacing is 120 μm, the influence between the cells is small, the thermal crosstalk phenomenon is significantly improved, and the heat dissipation effect is better. On this basis, four non-square VCSEL arrays with 16 cells are designed, and it can be seen that compared with the square arrangement, the isosceles triangle, pentagonal and hexagonal configurations have improved the thermal crosstalk phenomenon and thermal diffusion performance, and the overall temperature rise of the VCSEL array is significantly reduced. The thermal crosstalk phenomenon of the pentagonal arrangement is significantly improved, and the device temperature is 37.32 ℃, which is the best effect among several arrangement methods. According to the results of theoretical simulation, the VCSEL array devices with different arrangements are prepared and characterized on the same epitaxial wafer by the same process. From theP-I-Vcharacteristic curves, it can be seen that the threshold currents of isosceles triangles, pentagons and hexagons are lower than those of the square arrangement, and the maximum output power is higher than that of the square arrangement, especially the maximum output power value of the pentagonal is 150 mW. The results show that the new arrangement can effectively improve the thermal crosstalk phenomenon between the cells, increase the output power of the device, and make the VCSEL array device have good optoelectronic and thermal characteristics.
2024, 73(5): 054205.
doi:10.7498/aps.73.20231541
Abstract:
Laser-induced breakdown spectroscopy (LIBS) is an ideal real-time on-line method of detecting minor elements in alloys. However, in the case of laser-produced high-density plasma, the self-absorption is usually an undesired effect because it not only reduces the true line intensity, leading the line intensity to become nonlinear with the increase of emitting species content, but also affects the characterization parameters of the plasma, and finally affects the accuracy of quantitative analysis. Since the plasma electron temperature
\begin{document}$(T)$\end{document}
, radiation particle number density and absorption path length (Nl) determine the degree of self-absorption and affect the corrected spectral line intensity, a new self-absorption correction method is proposed based on temperature iteration. The initialTis obtained by using this method through spectral line intensity, and the self-absorption coefficient SA is calculated based on the initialNlparameter to correct the spectral line intensity. Then a newTis obtained from the new spectral line intensity and the new SA is calculated to further correct the spectral line intensity. Through continuous calculation and correction of these two parameters, self-absorption correction is finally achieved. The experimental results of alloy steel samples show that the linearity of Boltzmann plot is increased from 0.867 without self-absorption correction to 0.974 with self-absorption correction, and the linear correlation coefficientR2of the single variable calibration curve for Mn element increases from 0.971 to 0.997. The relative error of elemental content measurement is improved from 4.32% without self-absorption correction to 1.23% with self-absorption correction. Compared with the commonly applied self-absorption correction methods, this method has obvious advantages of simpler programming, higher computation efficiency, and its independence of the availability or accuracy of Stark broadening coefficients. Moreover, this method can directly obtain the radiation particle number density and absorption path length, which is beneficial to the diagnosis and quantitative analysis of plasma.
Laser-induced breakdown spectroscopy (LIBS) is an ideal real-time on-line method of detecting minor elements in alloys. However, in the case of laser-produced high-density plasma, the self-absorption is usually an undesired effect because it not only reduces the true line intensity, leading the line intensity to become nonlinear with the increase of emitting species content, but also affects the characterization parameters of the plasma, and finally affects the accuracy of quantitative analysis. Since the plasma electron temperature
2024, 73(5): 054206.
doi:10.7498/aps.73.20231663
Abstract:
The construction of core-shell structure can effectively reduce the quenching effect on the surface of material and regulate ion-ion interaction, which has become one of the effective ways to enhance and regulate the spectral characteristics of rare-earth upconversion luminescent materials. In this paper, a variety of NaYbF4: 2%Er3+micron core-shell structures are constructed with the help of epitaxial growth technology, effectively improving the red up-conversion emission of Er3+ions. The prepared microcrystals with core-shell structures are of hexagonal phase microdisks, and their sizes are relatively uniform. In order to better obtain the material spectral data, a confocal microscopic spectroscopy is used to study spectral properties. Under 980 nm near-infrared laser excitation, the red emission intensity of single NaYbF4:2%Er3+@NaYbF4@NaYF4core-shell-shell microdisk is 4.6 times higher than that of NaYbF4:2%Er3+micron disk, and the red-to-green ratio increases from 6.3 to 8.1. Meanwhile, Ho3+ions are introduced into the NaYbF4:2%Er3+@NaYbF4: 2%Ho3+@NaYF4core-shell-shell microdisk, and the red emission intensity is nearly 6.7 times higher than that of single NaYbF4: 2%Er3+microdisk, and the red-to-green ratio increases from 6.3 to 9.4 through the interaction between ions. The microcrystal spectral characteristics and luminescence kinetics of different core-shell structures are studied, showing that the red emission enhancement of Er3+ions is mainly derived from the construction of different core-shell structures, which can effectively enhance the cross-relaxation between Er3+ions, the energy back transfer between Yb3+and Er3+ions, and the energy transfer from Ho3+ions to Er3+ions. The micron core-shell structures with efficient red emission in this study has great application prospects in the fields of luminescence, anti-counterfeiting and optoelectronic devices.
The construction of core-shell structure can effectively reduce the quenching effect on the surface of material and regulate ion-ion interaction, which has become one of the effective ways to enhance and regulate the spectral characteristics of rare-earth upconversion luminescent materials. In this paper, a variety of NaYbF4: 2%Er3+micron core-shell structures are constructed with the help of epitaxial growth technology, effectively improving the red up-conversion emission of Er3+ions. The prepared microcrystals with core-shell structures are of hexagonal phase microdisks, and their sizes are relatively uniform. In order to better obtain the material spectral data, a confocal microscopic spectroscopy is used to study spectral properties. Under 980 nm near-infrared laser excitation, the red emission intensity of single NaYbF4:2%Er3+@NaYbF4@NaYF4core-shell-shell microdisk is 4.6 times higher than that of NaYbF4:2%Er3+micron disk, and the red-to-green ratio increases from 6.3 to 8.1. Meanwhile, Ho3+ions are introduced into the NaYbF4:2%Er3+@NaYbF4: 2%Ho3+@NaYF4core-shell-shell microdisk, and the red emission intensity is nearly 6.7 times higher than that of single NaYbF4: 2%Er3+microdisk, and the red-to-green ratio increases from 6.3 to 9.4 through the interaction between ions. The microcrystal spectral characteristics and luminescence kinetics of different core-shell structures are studied, showing that the red emission enhancement of Er3+ions is mainly derived from the construction of different core-shell structures, which can effectively enhance the cross-relaxation between Er3+ions, the energy back transfer between Yb3+and Er3+ions, and the energy transfer from Ho3+ions to Er3+ions. The micron core-shell structures with efficient red emission in this study has great application prospects in the fields of luminescence, anti-counterfeiting and optoelectronic devices.
2024, 73(5): 054207.
doi:10.7498/aps.73.20231710
Abstract:
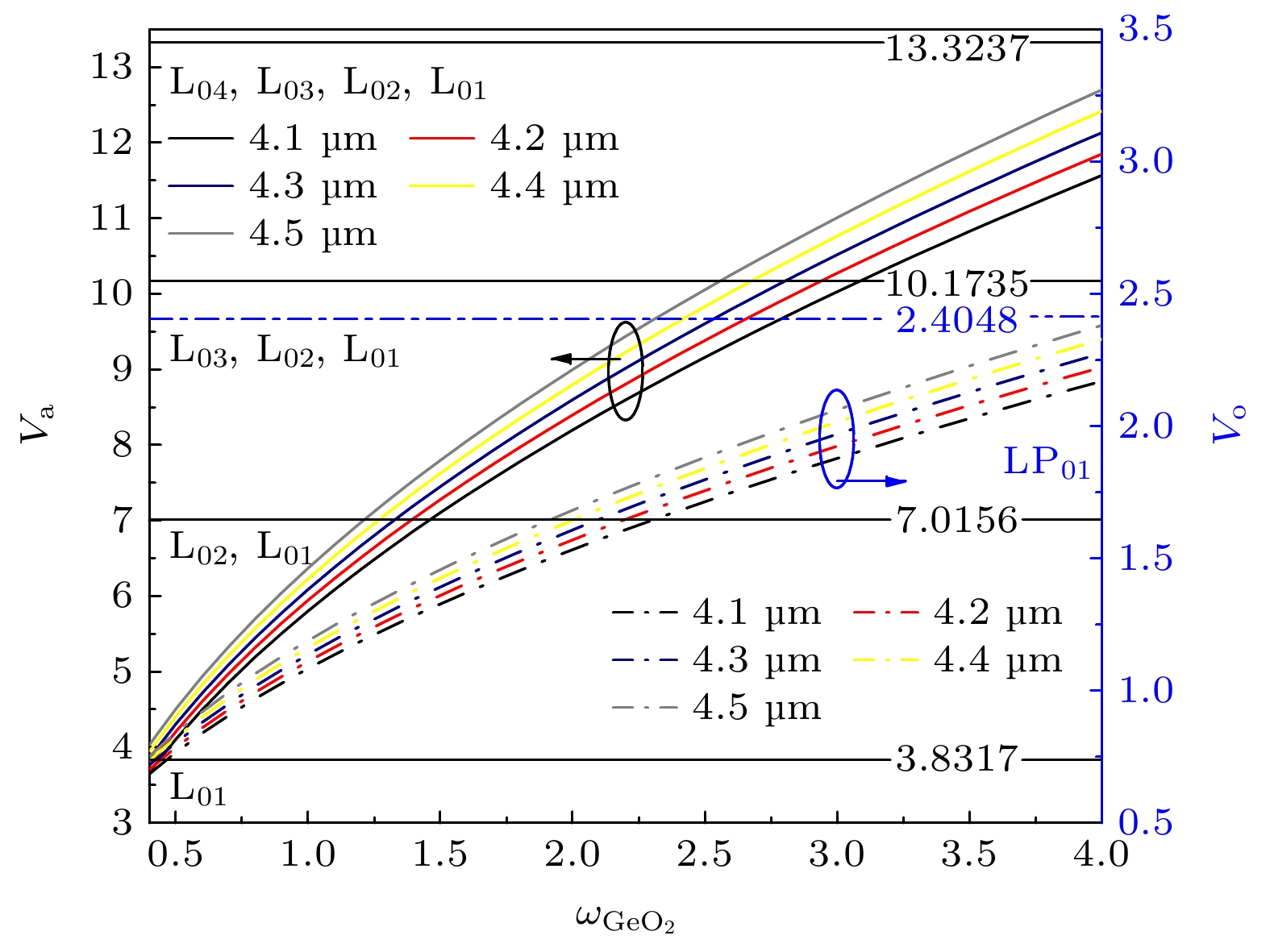
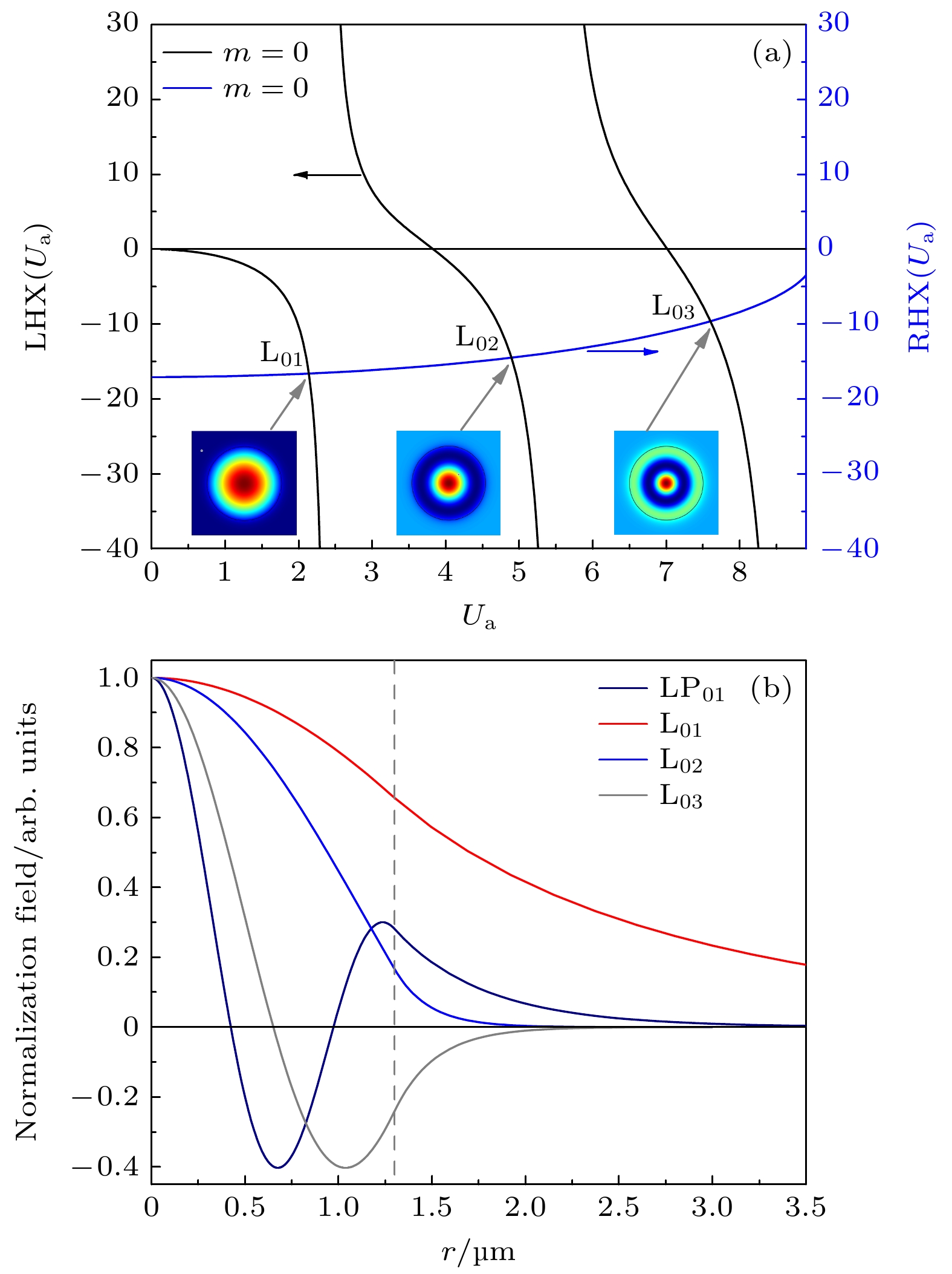
In this work, the acoustic Helmholtz equation is derived, and its analytical solution and the characteristic equation of the uniform guide mode in single mode fibers are obtained by the method of separation of variables. The normalized frequency of the acoustic mode is defined. By combining the argument approximation of the Bessel function are analyzed the eigenvalue range of the acoustic mode, the cut-off frequency, far from the cut-off state of the acoustic mode induced by backward stimulated Brillouin scattering, the dispersion and the multi-peak Brillouin gain spectrum. The research results indicate that the longitudinal acoustic fundamental mode L01cannot be cut-off and is mainly confined in the fiber core, which is coupled with the optical fundamental mode LP01to form the main peak of the Brillouin gain spectrum. The other higher-order acoustic modes all have low cut-off frequencies and are distributed more in the fiber cladding than mode L01which couples with the optical fundamental mode LP01to form the subpeaks of the Brillouin gain spectrum. The transverse normalized phase constant and effective refractive index of the acoustic mode increase with normalized frequency increasing. Only longitudinal acoustic modes L0ncontribute to backward Brillouin gain spectrum in single mode fiber. When the GeO2concentration is less than 4% and core radius is 4.5 μm, the single mode characteristics of the fiber remain unchanged, but the maximum number of acoustic L0nmodes is 4. With the increase of GeO2concentration in the fiber core, the Brillouin gain spectrum is red-shifted and the number of acoustic modes increases, the Brillouin gain peak value of L01mode gradually increases, and the contributions of higher-order modes decrease. The single-mode fiber with a core’s germanium doped concentration of 3.65% and core radius of 4.3 μm has 4 L0nmodes and 16 Lmn(m>0) modes at a wavelength of 1.55 μm, with one main peak and two subpeaks in the Brillouin gain spectrum appearing due to the acousto-optic coupling of the acoustic L01, L03, and L04modes with the optical LP01mode. The single-mode fiber with a core’s germanium doped concentration of 15% and core radius of 1.3 μm has 3 L0nmodes and 7 Lmn(m>0) modes, with the Brillouin gain spectrum having 3 main peaks due to the acousto-optic coupling of the L01, L02, and L03modes with the LP01mode. These conclusions are well consistent with the reported experimental phenomena and provide theoretical references for studying and utilizing the SBS acoustic waveguide in optical fibers.
In this work, the acoustic Helmholtz equation is derived, and its analytical solution and the characteristic equation of the uniform guide mode in single mode fibers are obtained by the method of separation of variables. The normalized frequency of the acoustic mode is defined. By combining the argument approximation of the Bessel function are analyzed the eigenvalue range of the acoustic mode, the cut-off frequency, far from the cut-off state of the acoustic mode induced by backward stimulated Brillouin scattering, the dispersion and the multi-peak Brillouin gain spectrum. The research results indicate that the longitudinal acoustic fundamental mode L01cannot be cut-off and is mainly confined in the fiber core, which is coupled with the optical fundamental mode LP01to form the main peak of the Brillouin gain spectrum. The other higher-order acoustic modes all have low cut-off frequencies and are distributed more in the fiber cladding than mode L01which couples with the optical fundamental mode LP01to form the subpeaks of the Brillouin gain spectrum. The transverse normalized phase constant and effective refractive index of the acoustic mode increase with normalized frequency increasing. Only longitudinal acoustic modes L0ncontribute to backward Brillouin gain spectrum in single mode fiber. When the GeO2concentration is less than 4% and core radius is 4.5 μm, the single mode characteristics of the fiber remain unchanged, but the maximum number of acoustic L0nmodes is 4. With the increase of GeO2concentration in the fiber core, the Brillouin gain spectrum is red-shifted and the number of acoustic modes increases, the Brillouin gain peak value of L01mode gradually increases, and the contributions of higher-order modes decrease. The single-mode fiber with a core’s germanium doped concentration of 3.65% and core radius of 4.3 μm has 4 L0nmodes and 16 Lmn(m>0) modes at a wavelength of 1.55 μm, with one main peak and two subpeaks in the Brillouin gain spectrum appearing due to the acousto-optic coupling of the acoustic L01, L03, and L04modes with the optical LP01mode. The single-mode fiber with a core’s germanium doped concentration of 15% and core radius of 1.3 μm has 3 L0nmodes and 7 Lmn(m>0) modes, with the Brillouin gain spectrum having 3 main peaks due to the acousto-optic coupling of the L01, L02, and L03modes with the LP01mode. These conclusions are well consistent with the reported experimental phenomena and provide theoretical references for studying and utilizing the SBS acoustic waveguide in optical fibers.
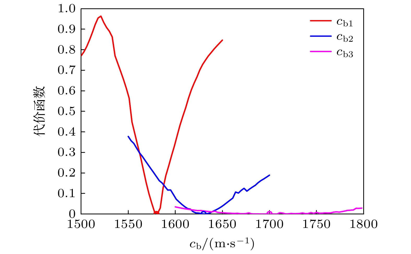
2024, 73(5): 054301.
doi:10.7498/aps.73.20231715
Abstract:
Sound propagation in shallow water is significantly influenced by geoacoustic properties. Estimating these geoacoustic parameters is essential for sound field analysis and sonar performance assessment. As a common practice, the seafloor is often treated as a single-layer or two-layer range-independent geoacoustic model to reduce the number of involved parameters. However, acoustic parameters inverted through these two geoacoustic models are typically limited in their applicability to a specific frequency range, thus posing challenges when applied across a broader frequency range. A range-dependent multi-layer geoacoustic model based on experimental measurements obtained with a sub-bottom profiler is proposed in this study. The inversion scheme combines three inversion methods to estimate geoacoustic parameters, considering the different sensitivities of geoacoustic parameters to different physical parameters within the acoustic field. Firstly, modal dispersion is used to invert the geoacoustic parameters of each layer, with the dispersion curve obtained through warping transform and the Wigner-Ville distribution. After that, both the localization using matched field processing and the dispersion curve fitting demonstrate the effectiveness of the inversion results for each layer, although the peak of the probability distribution of sound speed in the first layer is broader than in others. Secondly, matched field processing is employed to invert the geoacoustic parameters of the first layer. This method is based on the theory that as frequency increases, the depth of sound rays penetrating the seabed decreases, revealing changes in the first layer's sound speed with the seabed depth. Lastly, bottom attenuation coefficients at different frequencies are inverted by the transmission loss (TL), and a fitting relationship between the attenuation coefficient and the frequency is derived. The inversion results obtained by using the range-dependent multi-layer geoacoustic model are compared with results estimated by the single-layer geoacoustic model. The findings indicate that the transmission loss (TL) error from the range-dependent multi-layer geoacoustic model in this study is smaller than that from the single-layer geoacoustic model, especially in the lower frequency band. The range-dependent multi-layer geoacoustic model proves to be suitable for a broader frequency range, providing better precision in explaining various acoustic phenomena.
Sound propagation in shallow water is significantly influenced by geoacoustic properties. Estimating these geoacoustic parameters is essential for sound field analysis and sonar performance assessment. As a common practice, the seafloor is often treated as a single-layer or two-layer range-independent geoacoustic model to reduce the number of involved parameters. However, acoustic parameters inverted through these two geoacoustic models are typically limited in their applicability to a specific frequency range, thus posing challenges when applied across a broader frequency range. A range-dependent multi-layer geoacoustic model based on experimental measurements obtained with a sub-bottom profiler is proposed in this study. The inversion scheme combines three inversion methods to estimate geoacoustic parameters, considering the different sensitivities of geoacoustic parameters to different physical parameters within the acoustic field. Firstly, modal dispersion is used to invert the geoacoustic parameters of each layer, with the dispersion curve obtained through warping transform and the Wigner-Ville distribution. After that, both the localization using matched field processing and the dispersion curve fitting demonstrate the effectiveness of the inversion results for each layer, although the peak of the probability distribution of sound speed in the first layer is broader than in others. Secondly, matched field processing is employed to invert the geoacoustic parameters of the first layer. This method is based on the theory that as frequency increases, the depth of sound rays penetrating the seabed decreases, revealing changes in the first layer's sound speed with the seabed depth. Lastly, bottom attenuation coefficients at different frequencies are inverted by the transmission loss (TL), and a fitting relationship between the attenuation coefficient and the frequency is derived. The inversion results obtained by using the range-dependent multi-layer geoacoustic model are compared with results estimated by the single-layer geoacoustic model. The findings indicate that the transmission loss (TL) error from the range-dependent multi-layer geoacoustic model in this study is smaller than that from the single-layer geoacoustic model, especially in the lower frequency band. The range-dependent multi-layer geoacoustic model proves to be suitable for a broader frequency range, providing better precision in explaining various acoustic phenomena.
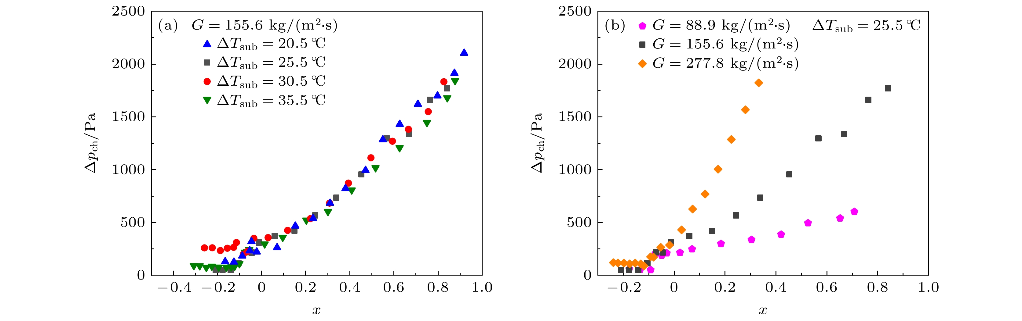
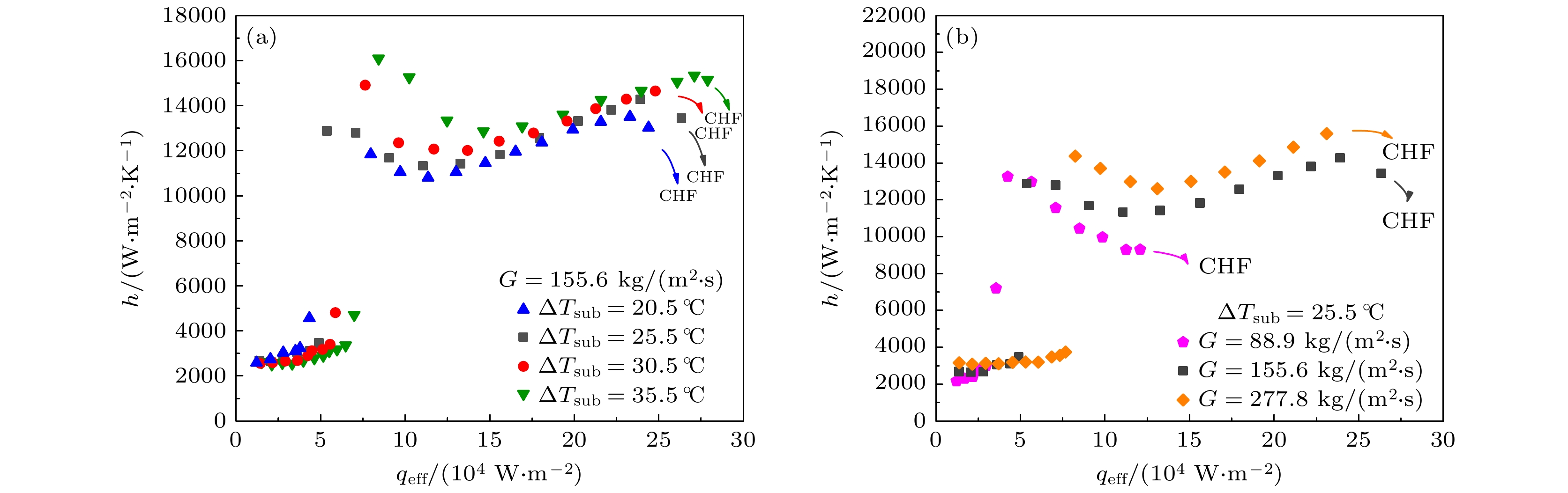
2024, 73(5): 054401.
doi:10.7498/aps.73.20231415
Abstract:
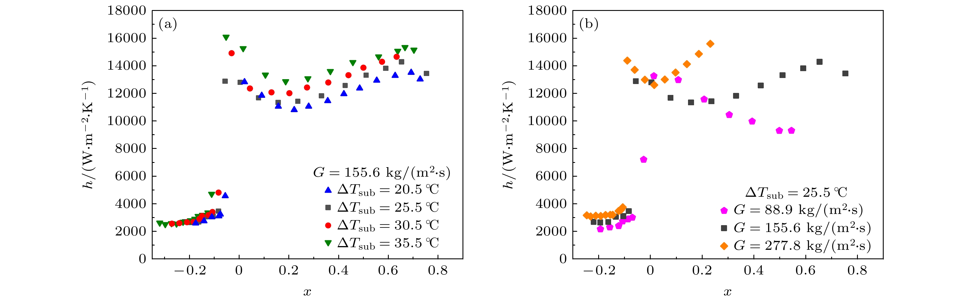
With the rapid development of microelectronic technology, the integration and power of chip are increasing. Heat dissipation with high heat flux in limited space has become a bottleneck restricting the efficient and stable operation of the microelectronic devices. Flow boiling in microchannel heat sink is one of the most essential candidates for solving this problem. It has been shown that remarkable high heat transfer performance can be achieved through the liquid-to-vapor change process, which can dissipate a large amount of heat from a small area. In addition, dielectric fluorinated fluids, such as HFE-7100, HFE-7200, and FC-72, are especially suitable for cooling microelectronic devices, because of their excellent safety and environmental characteristics. However, dielectric fluorinated fluids have poorer thermophysical properties than water. Thus, the flow boiling heat transfer characteristics of dielectric fluorinated fluids can be different from those of water. In this work, flow boiling heat transfer and flow characteristics of HFE-7100 in a rectangular parallel microchannel are investigated. The tests are conducted at mass fluxes from 88.9 to 277.8 kg·m–2·s–1, inlet subcooling temperature from 20.5 to 35.5 ℃ and effective heat flux from 12 to 279 kW·m–2at nearly atmospheric pressure. The effects of mass flux, inlet subcooling temperature, effective heat flux and vapor quality are examined and analyzed. Additionally, flow visualization is also obtained to explain the heat transfer mechanism during the experiments. The results show that the boiling hysteresis is observed for HFE-7100 at low inlet subcooling temperature, and the increasing inlet subcooling temperature and mass flux can delay the onset of nucleate boiling. The increases of inlet subcooling temperature and mass flux can enhance the two-phase heat transfer coefficient. And the two-phase heat transfer coefficient is significantly dependent on the inlet subcooling temperature in the slug flow, while it is significantly dependent on the mass flux in the annular flow. The two-phase pressure drop increases drastically as the effective heat flux increases. And the two-phase pressure drops with different mass fluxes at constant vapor quality are obviously different between the slug flow and the annular flow. Furthermore, the experimental data are compared with four predicted values of the literature. It is found that the correlation of Lockhart has the best statistical agreement with an MAE of 19.6% and over 85% of points in the deviation bandwidth of ±30%. The results in this paper give valuable theoretical guidance for designing and optimizing heat dissipation equipment for microelectronic devices. By utilizing HFE-7100 as the coolant and microchannel heat sinks in flow boiling, it is possible to enhance the stability and reliability of the electronic devices. Additionally, the heat transfer performance associated with different heat fluxes can be improved by regulating the inlet subcooling and mass flow rate. Finally, the two-phase pressure drop correlation proposed by Lockhart can be employed to predict the pump power for heat dissipation equipment.
With the rapid development of microelectronic technology, the integration and power of chip are increasing. Heat dissipation with high heat flux in limited space has become a bottleneck restricting the efficient and stable operation of the microelectronic devices. Flow boiling in microchannel heat sink is one of the most essential candidates for solving this problem. It has been shown that remarkable high heat transfer performance can be achieved through the liquid-to-vapor change process, which can dissipate a large amount of heat from a small area. In addition, dielectric fluorinated fluids, such as HFE-7100, HFE-7200, and FC-72, are especially suitable for cooling microelectronic devices, because of their excellent safety and environmental characteristics. However, dielectric fluorinated fluids have poorer thermophysical properties than water. Thus, the flow boiling heat transfer characteristics of dielectric fluorinated fluids can be different from those of water. In this work, flow boiling heat transfer and flow characteristics of HFE-7100 in a rectangular parallel microchannel are investigated. The tests are conducted at mass fluxes from 88.9 to 277.8 kg·m–2·s–1, inlet subcooling temperature from 20.5 to 35.5 ℃ and effective heat flux from 12 to 279 kW·m–2at nearly atmospheric pressure. The effects of mass flux, inlet subcooling temperature, effective heat flux and vapor quality are examined and analyzed. Additionally, flow visualization is also obtained to explain the heat transfer mechanism during the experiments. The results show that the boiling hysteresis is observed for HFE-7100 at low inlet subcooling temperature, and the increasing inlet subcooling temperature and mass flux can delay the onset of nucleate boiling. The increases of inlet subcooling temperature and mass flux can enhance the two-phase heat transfer coefficient. And the two-phase heat transfer coefficient is significantly dependent on the inlet subcooling temperature in the slug flow, while it is significantly dependent on the mass flux in the annular flow. The two-phase pressure drop increases drastically as the effective heat flux increases. And the two-phase pressure drops with different mass fluxes at constant vapor quality are obviously different between the slug flow and the annular flow. Furthermore, the experimental data are compared with four predicted values of the literature. It is found that the correlation of Lockhart has the best statistical agreement with an MAE of 19.6% and over 85% of points in the deviation bandwidth of ±30%. The results in this paper give valuable theoretical guidance for designing and optimizing heat dissipation equipment for microelectronic devices. By utilizing HFE-7100 as the coolant and microchannel heat sinks in flow boiling, it is possible to enhance the stability and reliability of the electronic devices. Additionally, the heat transfer performance associated with different heat fluxes can be improved by regulating the inlet subcooling and mass flow rate. Finally, the two-phase pressure drop correlation proposed by Lockhart can be employed to predict the pump power for heat dissipation equipment.
2024, 73(5): 054701.
doi:10.7498/aps.73.20231745
Abstract:
In the present paper, a hybrid RANS/LES model with the wall-modelled LES capability (called WM-HRL model) is developed to perform the high-fidelity CFD simulation investigation for complex flow phenomena around a bluff body with coherent structure in subcritical Reynolds number region. The proposed method can achieve a fast and seamless transition from RANS to LES through a filter parameterrkwhich is only related to the space resolution capability of the local grid system for various turbulent scales. Furthermore, the boundary positions of the transition region from RANS to LES, as well as the resolving capabilities for the turbulent kinetic energy in the three regions, i.e. RANS, LES and transition region, can be preset by two guide index parametersnrk1-Qandnrk2-Q. Through a series of numerical simulations of the flow around a circular cylinder at Reynolds numberRe= 3900, the combination conditions are obtained for such two guide index parametersnrk1-Qandnrk2-Qthat have the capability of high-fidelity resolving and capturing temporally- and spatially-developing coherent structures for such complex three-dimensional flows around such a circular cylinder. The results demonstrate that the new WM-HRL model is capable of accurately resolving and capturing the fine spectral structures of the small-scale Kelvin-Helmholtz instability in the shear layer for flow around such a circular cylinder. Furthermore, under a consistent grid system, through different combinations of these two guide index parametersrk1andrk2, the fine structuresof the recirculation zones with two different lengths and the U-shaped and V-shaped distribution of the average stream-wise velocity in the cylinder near the wake can also be obtained.
In the present paper, a hybrid RANS/LES model with the wall-modelled LES capability (called WM-HRL model) is developed to perform the high-fidelity CFD simulation investigation for complex flow phenomena around a bluff body with coherent structure in subcritical Reynolds number region. The proposed method can achieve a fast and seamless transition from RANS to LES through a filter parameterrkwhich is only related to the space resolution capability of the local grid system for various turbulent scales. Furthermore, the boundary positions of the transition region from RANS to LES, as well as the resolving capabilities for the turbulent kinetic energy in the three regions, i.e. RANS, LES and transition region, can be preset by two guide index parametersnrk1-Qandnrk2-Q. Through a series of numerical simulations of the flow around a circular cylinder at Reynolds numberRe= 3900, the combination conditions are obtained for such two guide index parametersnrk1-Qandnrk2-Qthat have the capability of high-fidelity resolving and capturing temporally- and spatially-developing coherent structures for such complex three-dimensional flows around such a circular cylinder. The results demonstrate that the new WM-HRL model is capable of accurately resolving and capturing the fine spectral structures of the small-scale Kelvin-Helmholtz instability in the shear layer for flow around such a circular cylinder. Furthermore, under a consistent grid system, through different combinations of these two guide index parametersrk1andrk2, the fine structuresof the recirculation zones with two different lengths and the U-shaped and V-shaped distribution of the average stream-wise velocity in the cylinder near the wake can also be obtained.
2024, 73(5): 055201.
doi:10.7498/aps.73.20231452
Abstract:
Magnetized plasma sheath plays an important role in semiconductor processing, material surface modification, film deposition, etc. In plasma experiments and discharge applications, multi-ion plasma consisting of more than two kinds of ions often exists. For a long range interacting plasma system, non-Maxwellian electrons can be described by the non-extensive distribution of Tsallis. In this work, a fluid model with one-dimensional spatial coordinates and three-dimensional velocity coordinates is established for the multi-ion plasma sheath. It is assumed that the electron velocity in the sheath follows a non-extensive distribution, and the background helium ions and different kinds of impurity ions are magnetized in a magnetic field with a certain tilt angle. The effects of non-extensive parameters, impurity ions and oblique magnetic field on the number density, velocity, wall potential and kinetic energy of ions in the multi-ion magnetic sheath are investigated by numerical simulation. The results show that in the helium-hydrogen or helium-argon mixed plasma sheath, the ionic velocity along the vertical wall direction decreases with the increase of the non-extensive parameters, the number density of ions and electrons in the sheath, the sheath thickness , and the kinetic energy of ions at the wall decrease. When the concentration of impurity ions increases, the kinetic energy of ions on the wall is independent of the type of ions. With the increase of magnetic field intensity, the number density of helium ions and the velocity along the vertical wall fluctuate along the sheath edge, and the fluctuation amplitude increases with the decrease of non-extensive parameters, while the heavy ions have no obvious fluctuation. In addition, the effects of the types and concentrations of impurity ions on the related properties of the sheath are also analyzed. With the increase of the magnetic field intensity, the number density and the velocity along the vertical wall direction fluctuate at the sheath edge, and the fluctuation amplitude increases with the decrease of the non-extensive parameter, whereas there are no significant fluctuations for heavy ions. In addition, when impurity ions are heavy ions, the absolute value of wall potential increases with the increase of impurity ion concentration and the decrease of non-extensibility parameters, and the kinetic energy of background ions increases at the wall surface. When the impurity ion is a light ion, the absolute value of the wall potential decreases with the increase of the impurity ion concentration and the decrease of the non-extensibility parameter, and the kinetic energy of the background ion at the wall decreases.
Magnetized plasma sheath plays an important role in semiconductor processing, material surface modification, film deposition, etc. In plasma experiments and discharge applications, multi-ion plasma consisting of more than two kinds of ions often exists. For a long range interacting plasma system, non-Maxwellian electrons can be described by the non-extensive distribution of Tsallis. In this work, a fluid model with one-dimensional spatial coordinates and three-dimensional velocity coordinates is established for the multi-ion plasma sheath. It is assumed that the electron velocity in the sheath follows a non-extensive distribution, and the background helium ions and different kinds of impurity ions are magnetized in a magnetic field with a certain tilt angle. The effects of non-extensive parameters, impurity ions and oblique magnetic field on the number density, velocity, wall potential and kinetic energy of ions in the multi-ion magnetic sheath are investigated by numerical simulation. The results show that in the helium-hydrogen or helium-argon mixed plasma sheath, the ionic velocity along the vertical wall direction decreases with the increase of the non-extensive parameters, the number density of ions and electrons in the sheath, the sheath thickness , and the kinetic energy of ions at the wall decrease. When the concentration of impurity ions increases, the kinetic energy of ions on the wall is independent of the type of ions. With the increase of magnetic field intensity, the number density of helium ions and the velocity along the vertical wall fluctuate along the sheath edge, and the fluctuation amplitude increases with the decrease of non-extensive parameters, while the heavy ions have no obvious fluctuation. In addition, the effects of the types and concentrations of impurity ions on the related properties of the sheath are also analyzed. With the increase of the magnetic field intensity, the number density and the velocity along the vertical wall direction fluctuate at the sheath edge, and the fluctuation amplitude increases with the decrease of the non-extensive parameter, whereas there are no significant fluctuations for heavy ions. In addition, when impurity ions are heavy ions, the absolute value of wall potential increases with the increase of impurity ion concentration and the decrease of non-extensibility parameters, and the kinetic energy of background ions increases at the wall surface. When the impurity ion is a light ion, the absolute value of the wall potential decreases with the increase of the impurity ion concentration and the decrease of the non-extensibility parameter, and the kinetic energy of the background ion at the wall decreases.
2024, 73(5): 055202.
doi:10.7498/aps.73.20231679
Abstract:
Laser plasma instability is one of the difficulties that plague inertial confinement fusion. Broadband laser, as an effective tool for suppressing laser-plasma instabilities, has received a lot of attention in recent years. However, the nonlinear bursts of high-frequency instabilities, such as stimulated Raman scattering driven by broadband laser in the kinetic regime, make the suppression effect less than expected. In this study, a broadband laser model with intensity modulation is proposed. By choosing an appropriate intensity modulation envelope, it is possible to interrupt the amplification process of backscattered light in strong pulses, reduce the probability of high-intensity pulses inducing intense bursts, and drastically reduce the fraction of backscattered light and hot electron yield. Numerical simulations show that the intensity-modulated laser has a good ability to suppress stimulated Raman scattering. For a broadband laser with average power of
\begin{document}$ 1.0 \times {10}^{15}\;{\mathrm{W}}/{\mathrm{c}}{{\mathrm{m}}}^{2} $\end{document}
and a bandwidth of 0.6%, the reflectivity decreases by an order of magnitude and the fraction of hot electron energy above 20 keV decreases from 7.34% to 0.31% by using the intensity modulation technique. The above results confirm the feasibility of using the intensity-modulated broadband laser to suppress the high-frequency instability and are expected to provide a reference for designing the subsequent broadband laser-driven fusion experiments.
Laser plasma instability is one of the difficulties that plague inertial confinement fusion. Broadband laser, as an effective tool for suppressing laser-plasma instabilities, has received a lot of attention in recent years. However, the nonlinear bursts of high-frequency instabilities, such as stimulated Raman scattering driven by broadband laser in the kinetic regime, make the suppression effect less than expected. In this study, a broadband laser model with intensity modulation is proposed. By choosing an appropriate intensity modulation envelope, it is possible to interrupt the amplification process of backscattered light in strong pulses, reduce the probability of high-intensity pulses inducing intense bursts, and drastically reduce the fraction of backscattered light and hot electron yield. Numerical simulations show that the intensity-modulated laser has a good ability to suppress stimulated Raman scattering. For a broadband laser with average power of
2024, 73(5): 055203.
doi:10.7498/aps.73.20231635
Abstract:
The propagation of electromagnetic wave in plasma is one of the long-standing concerns in the field of laser plasma, and it is closely related to the researches of radiation source generation, particle acceleration, and inertial confinement fusion. Recently, the proposal of various schemes for generating intense vortex beams has led to an increasing number of researchers focusing on the interaction between intense vortex beams and plasmas, resulting in significant research progress in various areas, such as particle acceleration, high-order harmonic generation, quasi-static self-generated magnetic fields, and parametric instability. Compared with traditional Gaussian beams, vortex beams, featuring their hollow amplitudes and helical phases, can exhibit novel phenomena during propagating through plasma. In this work, we primarily focus on studying the influence of the propagation process on the wave structure of vortex beams before filamentation occurs. The three-dimensional particle-in-cell simulations show that weakly relativistic vortex beams exhibit wavefront distortion during their propagation in plasma. The distortion degree is closely related to the intensity of the electromagnetic wave and the propagation distance for a given plasma density. This phenomenon is theoretically explained by using a phase correction model that considers the relativistic mass correction of electrons. Additionally, we demonstrate that the wavefront distortion can be compensated for and suppressed by appropriately modulating the initial plasma density, as confirmed by three-dimensional particle simulations. The results of decomposing the wavefront into Laguerre-Gaussian (LG) mode components indicate that the wavefront distortion is primarily caused by high-orderpLG modes, and it is independent of otherlLG modes. Additionally, we extend the present investigation to the propagation of vortex beams in axially magnetized plasma, where the phase correction model can also effectively explain the occurrence of wavefront distortion. Our work can deepen the understanding of the interaction between plasma and strong vortex beams, and provide some valuable references for designing plasma devices serving as the manipulation of intense vortex beams in future research.
The propagation of electromagnetic wave in plasma is one of the long-standing concerns in the field of laser plasma, and it is closely related to the researches of radiation source generation, particle acceleration, and inertial confinement fusion. Recently, the proposal of various schemes for generating intense vortex beams has led to an increasing number of researchers focusing on the interaction between intense vortex beams and plasmas, resulting in significant research progress in various areas, such as particle acceleration, high-order harmonic generation, quasi-static self-generated magnetic fields, and parametric instability. Compared with traditional Gaussian beams, vortex beams, featuring their hollow amplitudes and helical phases, can exhibit novel phenomena during propagating through plasma. In this work, we primarily focus on studying the influence of the propagation process on the wave structure of vortex beams before filamentation occurs. The three-dimensional particle-in-cell simulations show that weakly relativistic vortex beams exhibit wavefront distortion during their propagation in plasma. The distortion degree is closely related to the intensity of the electromagnetic wave and the propagation distance for a given plasma density. This phenomenon is theoretically explained by using a phase correction model that considers the relativistic mass correction of electrons. Additionally, we demonstrate that the wavefront distortion can be compensated for and suppressed by appropriately modulating the initial plasma density, as confirmed by three-dimensional particle simulations. The results of decomposing the wavefront into Laguerre-Gaussian (LG) mode components indicate that the wavefront distortion is primarily caused by high-orderpLG modes, and it is independent of otherlLG modes. Additionally, we extend the present investigation to the propagation of vortex beams in axially magnetized plasma, where the phase correction model can also effectively explain the occurrence of wavefront distortion. Our work can deepen the understanding of the interaction between plasma and strong vortex beams, and provide some valuable references for designing plasma devices serving as the manipulation of intense vortex beams in future research.
2024, 73(5): 055204.
doi:10.7498/aps.73.20231474
Abstract:
The formation and evolution of hotspots is important for achieving ignition and high energy gain in inertial fusion process. However, most of relevant studies are carried out on pre-compressed plasmas with an isobaric configuration, the evolution of the hotspot in a plasma with an isochoric configuration is rarely studied. In this paper, a semi-analytical model is developed to describe the evolution of the hotspot boundary and propagation of fusion burning waves for a high-density pre-compressed plasma with an isochoric configuration in the double-cone ignition scheme. For the shock wave, the strong shock wave approximation and the quasi-isobaric approximation are reasonable. The quasi-isobaric approximation shows that as the plasma density behind the shock wave increases, the plasma temperature decreases. Because of these, the range of
\begin{document}$ {\mathrm{\alpha }} $\end{document}
-particles decreases rapidly behind the shock wave, forming an
\begin{document}$ {\mathrm{\alpha }} $\end{document}
-particle absorption peak. Therefore, considering that the hotspot is the main region where
\begin{document}$ {\mathrm{\alpha }} $\end{document}
-particles are produced and deposited, the position of the shock peak can be used to identify the boundary of the hotspot in a high-density plasma with an isochoric configuration. It also shows that a “self-regulating burning process” exists in the burning process of the isochoric hotspot, most of
\begin{document}$ {\mathrm{\alpha }} $\end{document}
-particles are deposited in the stable region and behind the shock, and finally, transport through the shock peak and heat the cold fuel, resulting in the temperature rising. In the high-density hotspots of plasma with an isochoric configuration, the deposition of α-particles behaves as an obvious non-uniform distribution effect. By analyzing the non-uniform deposition of α-particles, the deposition rate of α-particles at the edge of spherical uniform hotspot is calculated, then the temperature and density evolution of the isochoric hotspot can be well described. The model can be used to estimate the Lawson parameter of the hotspots at the end of the early stage of ignition. It is found that a lower fast electron energy is more beneficial to ignition and high gain operation of fusion plasma. It is also shown that the high density of the hotspots in the isochoric plasma will lead to a higher fusion burning rate, which can offset the negative influence of the shock wave and even achieve higher energy gain. The semi-analytical model is verified by the hydrodynamic simulations of O-SUKI-N.
The formation and evolution of hotspots is important for achieving ignition and high energy gain in inertial fusion process. However, most of relevant studies are carried out on pre-compressed plasmas with an isobaric configuration, the evolution of the hotspot in a plasma with an isochoric configuration is rarely studied. In this paper, a semi-analytical model is developed to describe the evolution of the hotspot boundary and propagation of fusion burning waves for a high-density pre-compressed plasma with an isochoric configuration in the double-cone ignition scheme. For the shock wave, the strong shock wave approximation and the quasi-isobaric approximation are reasonable. The quasi-isobaric approximation shows that as the plasma density behind the shock wave increases, the plasma temperature decreases. Because of these, the range of
2024, 73(5): 056101.
doi:10.7498/aps.73.20231655
Abstract:
Orientationally ordered liquid crystals (LCs) exhibit remarkable physical anisotropy and responsiveness to external fields, which give rise to distinguished physical effects and have led to the emergence of a new generation of electric-optical applications. The LCs are also renowned for their abundance of phases and topological defects, which are of significance in studying both fundamental science and practical technology. One simple approach to generating umbilic defects involves applying an electric field to a homeotropically aligned nematic LC with negative dielectric anisotropy
\begin{document}$\Delta \varepsilon $\end{document}
. However, the influence of material properties and external conditions on the dynamic process of nematic LC defects remains unclear. Here, we select seven kinds of nematic LCs with negative dielectrically anisotropy, ranging from –1.1 to –11.5, to explore the dynamics of electric-field-induced umbilics. By using a linearly increasing electric field parallel to the molecular orientation of LC, we systematically investigate the effects of material property (dielectric anisotropy) and external conditions (temperature and electric field parameters) on the formation and annihilation of umbilic defects. The experimental results show that the dynamic process of forming the umbilic defects in nematic LCs is independent of dielectric anisotropy, temperature, and electric field frequency, but follows the Kibble-Zurek mechanism, in which the density of generated umbilic defects exhibits a power-law scaling with the change of the electric field ramp rate, with a scaling exponent of approximately
\begin{document}$1/2$\end{document}
. Interestingly, a stronger dielectric anisotropy leads to a higher density of umbilic defects. Additionally, a change in temperature has a significant influence on the density of umbilic defects , in which higher temperature leads to greater defect density under the same external electric field conditions. Furthermore, the annihilation rate of umbilic defects is closely related to the material properties and the ramp of the applied electric field. Specifically, the annihilation rate of umbilic defects becomes faster when dielectric anisotropy is stronger or the electric field ramp is larger. This study provides valuable insights into the relationship between the formation and annihilation of defects, material properties, and external conditions in nematic LCs with dielectrically negative anisotropy, contributing to our comprehensive understanding of the dynamic process of topological defects in soft matter.
Orientationally ordered liquid crystals (LCs) exhibit remarkable physical anisotropy and responsiveness to external fields, which give rise to distinguished physical effects and have led to the emergence of a new generation of electric-optical applications. The LCs are also renowned for their abundance of phases and topological defects, which are of significance in studying both fundamental science and practical technology. One simple approach to generating umbilic defects involves applying an electric field to a homeotropically aligned nematic LC with negative dielectric anisotropy
2024, 73(5): 056102.
doi:10.7498/aps.73.20231670
Abstract:
GeS2monolayers have been successfully prepared in this work. To further expand their applications and discover new physical properties, we construct armchair-type GeS2nanoribbons (AGeS2NR) and use different concentrations of H and O atoms for the edge modificationand their structural stabilities, electronic properties, carrier mobilities, and physical field modulation effects are studied in depth. The results show that the edge-modified nanoribbon has a higher energy and thermal stability. The bare edge nanoribbon is a nonmagnetic semiconductor, while the edge modification can change the bandgap of AGeS2NR and make it a wide or narrowed bandgap semiconductor, or a metal, which is closely related to the elimination or partial elimination of the edge states or the creation of hybridization bands. Thus edge modification extends the application range of nanoribbons in the fields of electronic devices and optical devices. In addition, the carrier mobility is found to be very sensitive to the edge modification: the carriers’ (electrons’ and holes’) mobilities of nanoribbons can be adjusted to a difference of up to one order of magnitude, and the difference in carrier mobility polarization can be tuned to one order of magnitude. Strain effect studies reveal that the semiconducting nanoribbons are robust in keeping the electronic phase unchanged over a wide strain range, which is useful for maintaining the stability of the electron transport in the related device. Most of the semiconducting nanoribbons have the stability to keep the semiconducting properties unchanged under high external electric field, but the bandgap can be reduced significantly with the increase of the electric field. In short, this study provides a theoretical analysis and reference for understanding the property of GeS2nanoribbons and developing related devices.
GeS2monolayers have been successfully prepared in this work. To further expand their applications and discover new physical properties, we construct armchair-type GeS2nanoribbons (AGeS2NR) and use different concentrations of H and O atoms for the edge modificationand their structural stabilities, electronic properties, carrier mobilities, and physical field modulation effects are studied in depth. The results show that the edge-modified nanoribbon has a higher energy and thermal stability. The bare edge nanoribbon is a nonmagnetic semiconductor, while the edge modification can change the bandgap of AGeS2NR and make it a wide or narrowed bandgap semiconductor, or a metal, which is closely related to the elimination or partial elimination of the edge states or the creation of hybridization bands. Thus edge modification extends the application range of nanoribbons in the fields of electronic devices and optical devices. In addition, the carrier mobility is found to be very sensitive to the edge modification: the carriers’ (electrons’ and holes’) mobilities of nanoribbons can be adjusted to a difference of up to one order of magnitude, and the difference in carrier mobility polarization can be tuned to one order of magnitude. Strain effect studies reveal that the semiconducting nanoribbons are robust in keeping the electronic phase unchanged over a wide strain range, which is useful for maintaining the stability of the electron transport in the related device. Most of the semiconducting nanoribbons have the stability to keep the semiconducting properties unchanged under high external electric field, but the bandgap can be reduced significantly with the increase of the electric field. In short, this study provides a theoretical analysis and reference for understanding the property of GeS2nanoribbons and developing related devices.
2024, 73(5): 056801.
doi:10.7498/aps.73.20231648
Abstract:
The interface adhesion properties are crucial for designing and fabricating two-dimensional materials and related nanoelectronic and nanomechanical devices. Although some progress of the interface adhesion properties of two-dimensional materials has been made, the underlying mechanism behind the size and temperature dependence of interface adhesion energy and related physical properties from the perspective of atomistic origin remain unclear. In this work, we investigate the effects of size and temperature on the thermal expansion coefficient and Young’s modulus of MoS2as well as interface adhesion energy of MoS2/SiO2based on the atomic-bond-relaxation approach and continuum medium mechanics. It is found that the thermal expansion coefficient of monolayer MoS2is significantly larger than that of its few-layer and bulk counterparts under the condition of ambient temperature due to size effect and its influence on Debye temperature, whereas the thermal expansion coefficient increases with temperature going up and almost tends to a constant as the temperature approaches the Debye temperature. Moreover, the variations of bond identity induced by size effect and temperature effect will change the mechanical properties of MoS2. When the temperature is fixed, the Young’s modulus of MoS2increases with size decreasing. However, the thermal strain induces the volume expansion, resulting in the Young’s modulus of MoS2decreasing. Furthermore, the size and temperature dependence of lattice strain, mismatch strain of interface, and Young’s modulus will lead the van der Waals interaction energy and elastic strain energy to change, resulting in the change of interface adhesion energy of MoS2/SiO2. Noticeably, the interface adhesion energy of MoS2/SiO2gradually increases with MoS2size decreasing, while the thermal strain induced by temperature causes interface adhesion energy of MoS2/SiO2to decrease with temperature increasing. In addition, we predict the conditions of the interface separation of MoS2/SiO2under different sizes and temperatures. Our results demonstrate that increasing both size and temperature can significantly reduce the interface adhesion energy, which is of great benefit in detaching MoS2film from the substrate. Therefore, the proposed theory not only clarifies the physical mechanism regarding the interface adhesion properties of transition metal dichalcogenides (TMDs) membranes, but also provides an effective way to design TMDs-based nanodevices for desirable applications.
The interface adhesion properties are crucial for designing and fabricating two-dimensional materials and related nanoelectronic and nanomechanical devices. Although some progress of the interface adhesion properties of two-dimensional materials has been made, the underlying mechanism behind the size and temperature dependence of interface adhesion energy and related physical properties from the perspective of atomistic origin remain unclear. In this work, we investigate the effects of size and temperature on the thermal expansion coefficient and Young’s modulus of MoS2as well as interface adhesion energy of MoS2/SiO2based on the atomic-bond-relaxation approach and continuum medium mechanics. It is found that the thermal expansion coefficient of monolayer MoS2is significantly larger than that of its few-layer and bulk counterparts under the condition of ambient temperature due to size effect and its influence on Debye temperature, whereas the thermal expansion coefficient increases with temperature going up and almost tends to a constant as the temperature approaches the Debye temperature. Moreover, the variations of bond identity induced by size effect and temperature effect will change the mechanical properties of MoS2. When the temperature is fixed, the Young’s modulus of MoS2increases with size decreasing. However, the thermal strain induces the volume expansion, resulting in the Young’s modulus of MoS2decreasing. Furthermore, the size and temperature dependence of lattice strain, mismatch strain of interface, and Young’s modulus will lead the van der Waals interaction energy and elastic strain energy to change, resulting in the change of interface adhesion energy of MoS2/SiO2. Noticeably, the interface adhesion energy of MoS2/SiO2gradually increases with MoS2size decreasing, while the thermal strain induced by temperature causes interface adhesion energy of MoS2/SiO2to decrease with temperature increasing. In addition, we predict the conditions of the interface separation of MoS2/SiO2under different sizes and temperatures. Our results demonstrate that increasing both size and temperature can significantly reduce the interface adhesion energy, which is of great benefit in detaching MoS2film from the substrate. Therefore, the proposed theory not only clarifies the physical mechanism regarding the interface adhesion properties of transition metal dichalcogenides (TMDs) membranes, but also provides an effective way to design TMDs-based nanodevices for desirable applications.
2024, 73(5): 057101.
doi:10.7498/aps.73.20231428
Abstract:
Anharmonic effect is often one of the physical root causes of some special material properties, such as soft mode phase transition, negative thermal expansion, multiferroicity, and ultra-low thermal conductivity. However, the existing methods of quantifying the anharmonicity of material do not give a clear and accurate anharmonicity descriptor. The calculation of the anharmonic effect requires extremely time-consuming molecular dynamics simulation, the calculation process is complex and costly. Therefore, a quantitative descriptor is urgently needed, which can be used to implement quick calculation so as to understand, evaluate, design, and screen functional materials with strong anharmonicity.
In this paper, we propose a method to quantify the anharmonicity of materials by only phonon spectrum and static self-consistent calculation through calculating and analyzing the material composed of germanium and its surrounding elements. In this method, the lattice anharmonicity is decomposed into the anharmonic contribution of independent phonon vibration modes, and the quantitative anharmonicity descriptor
\begin{document}$ {\sigma }_{\boldsymbol{q},j}^{A} $\end{document}
of phonons is proposed. Combining it with the Bose-Einstein distribution, the quantitative descriptor
\begin{document}$ {A}_{{\mathrm{p}}{\mathrm{h}}}\left(T\right) $\end{document}
of temperature-dependent material anharmonicity is proposed. We calculate the bulk moduli and lattice thermal conductivities at 300 K of nine widely representative materials. There is a clear linear trend between them and our proposed quantitative descriptor
\begin{document}$ {A}_{{\mathrm{p}}{\mathrm{h}}}\left(T\right) $\end{document}
, which verifies the accuracy of our proposed descriptor. The results show that the descriptor has the following functions. i) It can systematically and quantitatively classify materials as the strength of anharmonicity; ii) it intuitively shows the distribution of the anharmonic effect of the material on the phonon spectrum, and realizes the separate analysis of the phonon anharmonicity that affects the specific properties of the material; iii) it is cost-effective in first-principles molecular dynamics calculations and lays a foundation for screening and designing materials based on anharmonicity.
This study provides an example for the high-throughput study of functional materials driven by anharmonic effect in the future, and opens up new possibilities for material design and application. In addition, for strongly anharmonic materials such as CsPbI
3, the equilibrium position of the atoms is not fixed at high temperatures, resulting in a decrease in the accuracy of quantifying anharmonicity using our proposed descriptor. In order to get rid of this limitation, our future research will focus on the distribution of atomic equilibrium positions in strongly anharmonic materials at high temperatures, so as to propose a more accurate theoretical method to quantify the anharmonicity in strongly anharmonic materials.
2024, 73(5): 057102.
doi:10.7498/aps.73.20231797
Abstract:
In this paper, We prepare two groups of glasses: one is GexAs20Se80–xwith x ranging from 5% to 32.5%, the other is GexSb20Se80–xwith x spanning from 5% to 25%, by using the conventional melt-quench method, and investigate the effect of the elemental substitution of Sb for As on the threshold behaviors in GexAs(Sb)20Se80–xglasses. We are to understand to what extent the topological model and chemical order model can explain the correlation between physical properties and glass compositions, and how the chemical composition can affect the glass transition threshold. Glass transition temperature is measured by the differential scanning calorimeter (Mettler-Toledo, DSC1) with different scanning rates ranging from 5 K/min to 30 K/min under a uniform nitrogen gas flow of 50 mL/min, the glass density is measured by a Mettler H20 balance with a MgO crystal used as a reference. Samples of each glass composition are weighed five times and the average density is recorded. The refractive index of the glass at 1.5 um is measured by a Metricon Model 2010 prism coupler. Raman spectra are measured by a T64000 Jobin-Yvon-Horiba micro-Raman spectrometer equipped with a liquid-nitrogen-cooled CCD detector. The 830 nm laser line is used as an excitation source, and the laser power is kept as small as possible to avoid any photo-induced effects. The resolution of the spectrometer is about 0.5 cm–1. The systematic measurements of these physical parameters show that while the transition thresholds at MCN = 2.4 and 2.67 are verified in the Ge-As-Se glasses with ideal covalent network, these two transitions represent the covalent network structure inside the glass from an under-constrained “floppy” network to an over-constrained “rigid” phase and from the two-dimensional to the three-dimensional “stressed rigid” phase respectively. However, when As is substituted by Sb, the the resulting GexSb20Se80–xglass with non-ideal covalent network will change its transition threshold, changing into the chemically stoichiometric composition. We further deconvolve Raman scattering spectra into different structural units and the change of their respective intensity shows the same behavior, which is ascribed to the chemical effect induced by a large difference in atomic radius between As and Sb, and a relatively strong ionic feature of element Sb.
In this paper, We prepare two groups of glasses: one is GexAs20Se80–xwith x ranging from 5% to 32.5%, the other is GexSb20Se80–xwith x spanning from 5% to 25%, by using the conventional melt-quench method, and investigate the effect of the elemental substitution of Sb for As on the threshold behaviors in GexAs(Sb)20Se80–xglasses. We are to understand to what extent the topological model and chemical order model can explain the correlation between physical properties and glass compositions, and how the chemical composition can affect the glass transition threshold. Glass transition temperature is measured by the differential scanning calorimeter (Mettler-Toledo, DSC1) with different scanning rates ranging from 5 K/min to 30 K/min under a uniform nitrogen gas flow of 50 mL/min, the glass density is measured by a Mettler H20 balance with a MgO crystal used as a reference. Samples of each glass composition are weighed five times and the average density is recorded. The refractive index of the glass at 1.5 um is measured by a Metricon Model 2010 prism coupler. Raman spectra are measured by a T64000 Jobin-Yvon-Horiba micro-Raman spectrometer equipped with a liquid-nitrogen-cooled CCD detector. The 830 nm laser line is used as an excitation source, and the laser power is kept as small as possible to avoid any photo-induced effects. The resolution of the spectrometer is about 0.5 cm–1. The systematic measurements of these physical parameters show that while the transition thresholds at MCN = 2.4 and 2.67 are verified in the Ge-As-Se glasses with ideal covalent network, these two transitions represent the covalent network structure inside the glass from an under-constrained “floppy” network to an over-constrained “rigid” phase and from the two-dimensional to the three-dimensional “stressed rigid” phase respectively. However, when As is substituted by Sb, the the resulting GexSb20Se80–xglass with non-ideal covalent network will change its transition threshold, changing into the chemically stoichiometric composition. We further deconvolve Raman scattering spectra into different structural units and the change of their respective intensity shows the same behavior, which is ascribed to the chemical effect induced by a large difference in atomic radius between As and Sb, and a relatively strong ionic feature of element Sb.
2024, 73(5): 057301.
doi:10.7498/aps.73.20231434
Abstract:
The significant potential applications of Majorana bound state (MBS) in topological quantum computing manifest the importance and necessity of relevant in-depth research. To understand the physical properties of MBS, the most practical approach is to integrate it to a mesoscopic circuit and then investigate its quantum transport behaviors. In this work, we investigate the transport properties in the systems with MBS, and provide theoretical support for its further understanding and detection, by utilizing the nonequilibrium Green’s function method and scattering matrix theory. Specifically, we investigate theoretically the transport properties in a T-shaped double-quantum dot structure, by considering MBS to be coupled to the dot in the main channel, which shows that in the linear transmission region, when the level of side-coupled dot is tuned to the Fermi energy level, the contribution of MBS to the conductance is eliminated under weak and strong Coulomb interaction. The side-coupled dot is far away from the Fermi energy level, leading to different results. When Majorana zero mode is added, the linear conductance is independent of the level of the side-coupled quantum dot, and the conductance plateau appears. However, with coupling between the MBSs, the linear conductance is the same as that without coupling between the MBSs. The decoupling phenomenon of the MBS remains strong. Therefore, the signature of the MBS can be eliminated by adjusting the level of the side-coupled quantum dot or the inter-MBS coupling. When ferromagnetic leads are introduced, the appearance or disappearance of the conductance plateau is clearly dependent on the difference between the magnetic field direction and the lead polarization direction in the system, whereas the decoupling behavior of the MBS is still existent. This work contributes to further explaining the decoupling phenomenon of MBSs in a T-shaped double-quantum-dot system, and presents a theoretical approach to more in-depth understanding and detection of the MBS.
The significant potential applications of Majorana bound state (MBS) in topological quantum computing manifest the importance and necessity of relevant in-depth research. To understand the physical properties of MBS, the most practical approach is to integrate it to a mesoscopic circuit and then investigate its quantum transport behaviors. In this work, we investigate the transport properties in the systems with MBS, and provide theoretical support for its further understanding and detection, by utilizing the nonequilibrium Green’s function method and scattering matrix theory. Specifically, we investigate theoretically the transport properties in a T-shaped double-quantum dot structure, by considering MBS to be coupled to the dot in the main channel, which shows that in the linear transmission region, when the level of side-coupled dot is tuned to the Fermi energy level, the contribution of MBS to the conductance is eliminated under weak and strong Coulomb interaction. The side-coupled dot is far away from the Fermi energy level, leading to different results. When Majorana zero mode is added, the linear conductance is independent of the level of the side-coupled quantum dot, and the conductance plateau appears. However, with coupling between the MBSs, the linear conductance is the same as that without coupling between the MBSs. The decoupling phenomenon of the MBS remains strong. Therefore, the signature of the MBS can be eliminated by adjusting the level of the side-coupled quantum dot or the inter-MBS coupling. When ferromagnetic leads are introduced, the appearance or disappearance of the conductance plateau is clearly dependent on the difference between the magnetic field direction and the lead polarization direction in the system, whereas the decoupling behavior of the MBS is still existent. This work contributes to further explaining the decoupling phenomenon of MBSs in a T-shaped double-quantum-dot system, and presents a theoretical approach to more in-depth understanding and detection of the MBS.
2024, 73(5): 057801.
doi:10.7498/aps.73.20231556
Abstract:
Metasurfaces have found extensive applications in microwave, terahertz, and optical range, serving different purposes such as filters, sensors, slow light devices, and nonlinear devices due to their distinctive electromagnetic response characteristics. Recent development requires metasurface devices to exhibit enhanced monochromaticity and stronger light interaction. Consequently, there is a growing interest in designing metasurfaces with high-quality factor (Q-factor) resonances, considering their crucial role in achieving sharp resonances through constructing bound states in the continuum (BIC) mode. The utilization of BIC has emerged as a prominent method of designing metasurfaces with highQ-factor resonances. Due to the fact that the changes in the structural parameters of metasurfaces can simultaneously affect the resonance of two components of q-BICs, it is difficult to achieve on-demand design of operating frequency, bandwidth, andQ-factor. In this work, we investigate a novel THz metasurfaces supporting q-BIC resonance. We optimize the geometric parameters of two split ring resonators (SRRs) to tailor the operating frequencies of intrinsic resonance, and tune the coupling between different resonance modes to form the q-BIC mode resonance. The dominant modes are demonstrated by the results of multipolar decomposition calculations of the electromagnetic field distributions and scattered power at different resonant operating frequencies. Inx-polarized andy-polarized incident electromagnetic wave, the normalized coupling strength ratio between the two modes are calculated by Jaynes-Cummings model to be 0.54% (x-polarized) and 4.42% (y-polarized) respectively, which explains the law that the resonant frequency of different modes changes with the structural parameters of SRRs device. In order to analyze the refractive index sensing capabilities of our designed metasurfaces under the incident electromagnetic waves with different polarizations, we investigate the variations of the transmitted spectrum of the metasurface with refractive index of matters. The calculated results show that the sensitivity of the metasurface is 151 GHz/RIU when the incident wave isy-polarized and 108 GHz/RIU when the incident wave isx-polarized. We realize the effective control of the operating frequency, bandwidth, andQ-factor of the q-BIC mode resonance in the transmission spectrum of the metasurface, which provides a new idea for the practical designing of terahertz metasurfaces with highQ-factor.
Metasurfaces have found extensive applications in microwave, terahertz, and optical range, serving different purposes such as filters, sensors, slow light devices, and nonlinear devices due to their distinctive electromagnetic response characteristics. Recent development requires metasurface devices to exhibit enhanced monochromaticity and stronger light interaction. Consequently, there is a growing interest in designing metasurfaces with high-quality factor (Q-factor) resonances, considering their crucial role in achieving sharp resonances through constructing bound states in the continuum (BIC) mode. The utilization of BIC has emerged as a prominent method of designing metasurfaces with highQ-factor resonances. Due to the fact that the changes in the structural parameters of metasurfaces can simultaneously affect the resonance of two components of q-BICs, it is difficult to achieve on-demand design of operating frequency, bandwidth, andQ-factor. In this work, we investigate a novel THz metasurfaces supporting q-BIC resonance. We optimize the geometric parameters of two split ring resonators (SRRs) to tailor the operating frequencies of intrinsic resonance, and tune the coupling between different resonance modes to form the q-BIC mode resonance. The dominant modes are demonstrated by the results of multipolar decomposition calculations of the electromagnetic field distributions and scattered power at different resonant operating frequencies. Inx-polarized andy-polarized incident electromagnetic wave, the normalized coupling strength ratio between the two modes are calculated by Jaynes-Cummings model to be 0.54% (x-polarized) and 4.42% (y-polarized) respectively, which explains the law that the resonant frequency of different modes changes with the structural parameters of SRRs device. In order to analyze the refractive index sensing capabilities of our designed metasurfaces under the incident electromagnetic waves with different polarizations, we investigate the variations of the transmitted spectrum of the metasurface with refractive index of matters. The calculated results show that the sensitivity of the metasurface is 151 GHz/RIU when the incident wave isy-polarized and 108 GHz/RIU when the incident wave isx-polarized. We realize the effective control of the operating frequency, bandwidth, andQ-factor of the q-BIC mode resonance in the transmission spectrum of the metasurface, which provides a new idea for the practical designing of terahertz metasurfaces with highQ-factor.
2024, 73(5): 058101.
doi:10.7498/aps.73.20231491
Abstract:
The widespread application of ion beam sputtering coating, especially in optical devices, requires the improvement of beam current intensity and uniformity of large-area uniform coatings. The advent of high current Penning sources offers a potential solution. This study introduces an automated optimization simulation method based on a three-electrode extraction system to investigate its influence on ion beam quality and uniformity. Focusing on high current intensity and uniformity, our simulation explores the effects of plasma electrode, inhibition electrode, and extraction electrode angles and distances on ion beam performance. Evaluation metrics include average beam intensity density, average energy of a single particle, and reciprocal variance of each macro particle position, which are achieved through normalization functions, allowing comprehensive comparison of simulation results. To assess coating efficiency, we estimate sputtering yield and depth. The study identifies patterns among electrodes and emphasizes the influence of different ion ratios on beam extraction. The results indicate that optimizing the angle of the plasma electrode and the distance of the suppressed electrode yields a highly uniform ion beam for low charge ions. However, for highly charged ions, similar optimization will reduce the current strength, so compensation needs to be achieved through electrode shape optimization. This research provides a model for systematically optimizing the three-electrode extraction system, guiding researchers in achieving optimal solutions based on ion source characteristics and application requirements. Additionally, we introduce a method of estimating the sputtering depth of mixed ion beams. This study provides valuable insights for advancing ion beam sputtering coating technology and reference for making the decision on design and application of ion source.
The widespread application of ion beam sputtering coating, especially in optical devices, requires the improvement of beam current intensity and uniformity of large-area uniform coatings. The advent of high current Penning sources offers a potential solution. This study introduces an automated optimization simulation method based on a three-electrode extraction system to investigate its influence on ion beam quality and uniformity. Focusing on high current intensity and uniformity, our simulation explores the effects of plasma electrode, inhibition electrode, and extraction electrode angles and distances on ion beam performance. Evaluation metrics include average beam intensity density, average energy of a single particle, and reciprocal variance of each macro particle position, which are achieved through normalization functions, allowing comprehensive comparison of simulation results. To assess coating efficiency, we estimate sputtering yield and depth. The study identifies patterns among electrodes and emphasizes the influence of different ion ratios on beam extraction. The results indicate that optimizing the angle of the plasma electrode and the distance of the suppressed electrode yields a highly uniform ion beam for low charge ions. However, for highly charged ions, similar optimization will reduce the current strength, so compensation needs to be achieved through electrode shape optimization. This research provides a model for systematically optimizing the three-electrode extraction system, guiding researchers in achieving optimal solutions based on ion source characteristics and application requirements. Additionally, we introduce a method of estimating the sputtering depth of mixed ion beams. This study provides valuable insights for advancing ion beam sputtering coating technology and reference for making the decision on design and application of ion source.
2024, 73(5): 058301.
doi:10.7498/aps.73.20231686
Abstract:
Phase change material thermal diodes designed on the basis of different heat transfer forms and coefficients caused by different phase transition degrees in opposite heat transfer directions are considered as potential thermal management devices. However, the use of a variety of materials or only relying on numerical simulation research makes its structure complex or idealized, which reduces the possibility of practical application. Therefore, in this work, a simple thermal diode structure containing only CaCl2·6H2O single-phase variable material is proposed in combination with changes in heat transfer form and heat transfer coefficient in solid-liquid phase change and natural convection process. The corresponding device is prepared, and a steady-state heat flux test system is set up for experimental study, the measured results are close to those recorded in the literature with good accuracy. The influence of the temperature difference between hot end and cold end and the direction of positive heat transfer and negative heat transfer on the thermal rectification effect of the thermal diode are studied experimentally. The results show that the heat flux of the thermal diode decreases with the decrease of the difference in temperature between the cold source and hot source, and the thermal rectification ratio reaches to 1.58 when the forward and reverse along the antigravity direction and gravity direction, respectively. The optimal cold source temperature range is 20–25 ℃, which is close to room temperature. The proposed phase change material thermal diode structure has a certain application potential in energy saving and thermal management of building.
Phase change material thermal diodes designed on the basis of different heat transfer forms and coefficients caused by different phase transition degrees in opposite heat transfer directions are considered as potential thermal management devices. However, the use of a variety of materials or only relying on numerical simulation research makes its structure complex or idealized, which reduces the possibility of practical application. Therefore, in this work, a simple thermal diode structure containing only CaCl2·6H2O single-phase variable material is proposed in combination with changes in heat transfer form and heat transfer coefficient in solid-liquid phase change and natural convection process. The corresponding device is prepared, and a steady-state heat flux test system is set up for experimental study, the measured results are close to those recorded in the literature with good accuracy. The influence of the temperature difference between hot end and cold end and the direction of positive heat transfer and negative heat transfer on the thermal rectification effect of the thermal diode are studied experimentally. The results show that the heat flux of the thermal diode decreases with the decrease of the difference in temperature between the cold source and hot source, and the thermal rectification ratio reaches to 1.58 when the forward and reverse along the antigravity direction and gravity direction, respectively. The optimal cold source temperature range is 20–25 ℃, which is close to room temperature. The proposed phase change material thermal diode structure has a certain application potential in energy saving and thermal management of building.
2024, 73(5): 058501.
doi:10.7498/aps.73.20231829
Abstract:
In this paper, the total dose effects of graphene field-effect transistors (GFETs) with different structures and sizes are studied. The irradiation experiments are carried out by using the 10-keV X-ray irradiation platform with a dose rate of 200 rad(Si)/s. Positive gate bias (VG= +1 V,VD=VS= 0 V) is used during irradiation. Using a semiconductor parameter analyzer, the transfer characteristic curves of top-gate GFET and back-gate GFET are obtained before and after irradiation. At the same time, the degradation condition of the dirac voltageVDiracand the carrier mobilityμare extracted from the transfer characteristic curve. The experimental results demonstrate thatVDiracand carrier mobilityμdegrade with dose increasing. The depletion ofVDiracand carrier mobilityμare caused by the oxide trap charge generated in the gate oxygen layer during X-ray irradiation. Compared with the back-gate GFETs, the top-gate GFETs show more severely degradeVDiracand carrier mobility, therefore top-gate GFET is more sensitive to X-ray radiation at the same cumulative dose than back-gate GFET. The analysis shows that the degradation of top-gate GFET is mainly caused by the oxide trap charge. And in contrast to top-gate GFET, oxygen adsorption contributes to the irradiation process of back-gate GFET, which somewhat mitigates the effect of radiation damage. Furthermore, a comparison of electrical property deterioration of GFETs of varying sizes between the pre-irradiation and the post-irradiation is made. The back-gate GFET, which has a size of 50 μm×50 μm, and the top-gate GFET, which has a size of 200 μm×200 μm, are damaged most seriously. In the case of the top-gate GFET, the larger the radiation area, the more the generated oxide trap charges are and the more serious the damage. In contrast, the back-gate GFET has a larger oxygen adsorption area during irradiation and a more noticeable oxygen adsorption effect, which partially offsets the damage produced by irradiation. Finally, the oxide trap charge mechanism is simulated by using TCAD simulation tool. The TCAD simulation reveals that the trap charge at the interface between Al2O3and graphene is mainly responsible for the degradation of top-gate GFET property, significantly affecting the investigation of the radiation effect and radiation reinforcement of GFETs.
In this paper, the total dose effects of graphene field-effect transistors (GFETs) with different structures and sizes are studied. The irradiation experiments are carried out by using the 10-keV X-ray irradiation platform with a dose rate of 200 rad(Si)/s. Positive gate bias (VG= +1 V,VD=VS= 0 V) is used during irradiation. Using a semiconductor parameter analyzer, the transfer characteristic curves of top-gate GFET and back-gate GFET are obtained before and after irradiation. At the same time, the degradation condition of the dirac voltageVDiracand the carrier mobilityμare extracted from the transfer characteristic curve. The experimental results demonstrate thatVDiracand carrier mobilityμdegrade with dose increasing. The depletion ofVDiracand carrier mobilityμare caused by the oxide trap charge generated in the gate oxygen layer during X-ray irradiation. Compared with the back-gate GFETs, the top-gate GFETs show more severely degradeVDiracand carrier mobility, therefore top-gate GFET is more sensitive to X-ray radiation at the same cumulative dose than back-gate GFET. The analysis shows that the degradation of top-gate GFET is mainly caused by the oxide trap charge. And in contrast to top-gate GFET, oxygen adsorption contributes to the irradiation process of back-gate GFET, which somewhat mitigates the effect of radiation damage. Furthermore, a comparison of electrical property deterioration of GFETs of varying sizes between the pre-irradiation and the post-irradiation is made. The back-gate GFET, which has a size of 50 μm×50 μm, and the top-gate GFET, which has a size of 200 μm×200 μm, are damaged most seriously. In the case of the top-gate GFET, the larger the radiation area, the more the generated oxide trap charges are and the more serious the damage. In contrast, the back-gate GFET has a larger oxygen adsorption area during irradiation and a more noticeable oxygen adsorption effect, which partially offsets the damage produced by irradiation. Finally, the oxide trap charge mechanism is simulated by using TCAD simulation tool. The TCAD simulation reveals that the trap charge at the interface between Al2O3and graphene is mainly responsible for the degradation of top-gate GFET property, significantly affecting the investigation of the radiation effect and radiation reinforcement of GFETs.
2024, 73(5): 058503.
doi:10.7498/aps.73.20231645
Abstract:
Halide perovskite semiconductors have outstanding physical properties such as high light absorption coefficient, large carrier diffusion length, and high photoluminescence quantum efficiency, and demonstrate significant potential applications in optoelectronic devices such as photodetectors and solar cells. However, the toxicity and environmental instability associated with lead-based perovskites significantly limit their applications. An attractive solution is substituting tin for lead in perovskites and growing high-quality tin-based perovskite films. In this study, we adopt the pulsed laser deposition method to achieve the epitaxial growth of CsSnBr3films on silicon substrates. The morphologies, optical and electrical properties of the CsSnBr3films, as well as the CsSnBr3/Si heterojunction detectors, are comprehensively investigated with various characterization techniques, including XRD 2θ-ωandφscans, atomic force microscope, scanning electron microscope, photoluminescence and time-resolved photoluminescence spectroscopy, and Hall electrical measurements. The results indicate that such a CsSnBr3film grows epitaxially onto the silicon substrate via a face-to-face mode. Interestingly, an unusual temperature-dependent bandgap increase is found to be due to the high electron effective mass of CsSnBr3. The CsSnBr3film shows the P-type semiconductor behavior with a high mobility of 122 cm²/(V·s), enabling the formation of an ideal Type-II heterojunction with the silicon substrate. The CsSnBr3/Si semiconductor heterojunction detector exhibits distinctive heterojunction PN diode characteristics in the dark and a pronounced photoresponse under illumination. At zero bias, the detector displays a switch ratio exceeding 104, responsivity of 0.125 mA/W, external quantum efficiency of 0.0238%, detectivity (
\begin{document}$D^* $\end{document}
) of 2.1×109Jones, response time 3.23 ms, and recovery time of 4.87 ms. Under a small bias of –1 V, the switch ratio decreases to 50, but responsivity and external quantum efficiency increase by 568 times. The detectors can maintain self-powered operation state with a high switch ratio of 104, millisecond-level response time and millisecond-level recovery time. In conclusion, this work presents a self-powering, high-performance photodetector based on CsSnBr3epitaxial films integrated with silicon substrates.
Halide perovskite semiconductors have outstanding physical properties such as high light absorption coefficient, large carrier diffusion length, and high photoluminescence quantum efficiency, and demonstrate significant potential applications in optoelectronic devices such as photodetectors and solar cells. However, the toxicity and environmental instability associated with lead-based perovskites significantly limit their applications. An attractive solution is substituting tin for lead in perovskites and growing high-quality tin-based perovskite films. In this study, we adopt the pulsed laser deposition method to achieve the epitaxial growth of CsSnBr3films on silicon substrates. The morphologies, optical and electrical properties of the CsSnBr3films, as well as the CsSnBr3/Si heterojunction detectors, are comprehensively investigated with various characterization techniques, including XRD 2θ-ωandφscans, atomic force microscope, scanning electron microscope, photoluminescence and time-resolved photoluminescence spectroscopy, and Hall electrical measurements. The results indicate that such a CsSnBr3film grows epitaxially onto the silicon substrate via a face-to-face mode. Interestingly, an unusual temperature-dependent bandgap increase is found to be due to the high electron effective mass of CsSnBr3. The CsSnBr3film shows the P-type semiconductor behavior with a high mobility of 122 cm²/(V·s), enabling the formation of an ideal Type-II heterojunction with the silicon substrate. The CsSnBr3/Si semiconductor heterojunction detector exhibits distinctive heterojunction PN diode characteristics in the dark and a pronounced photoresponse under illumination. At zero bias, the detector displays a switch ratio exceeding 104, responsivity of 0.125 mA/W, external quantum efficiency of 0.0238%, detectivity (
2024, 73(5): 058701.
doi:10.7498/aps.73.20231569
Abstract:
To achieve rapid and accurate identification of genetically modified (GM) and non-GM rapeseed oils, a support vector machine (SVM) model based on an improved mayfly optimization algorithm and coupled with the terahertz time-domain spectroscopy, is proposed. Two types of GM rapeseed oils and two types of non-GM rapeseed oils are selected as research subjects. Their spectral information is acquired by using the terahertz time-domain spectroscopy. The observations show that GM rapeseed oils exhibit stronger terahertz absorption characteristics than non-GM rapeseed oils. However, their absorption spectra are highly similar, making direct differentiation difficult through visual inspection alone. Therefore, SVM is used for spectral recognition. Considering that the classification performance of SVM is significantly affected by its parameters, the mayfly optimization algorithm is combined to optimize these parameters. Furthermore, adaptive inertia weight and Lévy flight strategies are introduced to enhance the global search capability and robustness of the mayfly optimization algorithm, thus addressing the issue of easily becoming trapped in local optima in the optimization process. Moreover, principal component analysis is used to reduce the dimensionality of the absorbance data in a 0.3–1.8 THz range, aiming to extract critical features, thereby enhancing modeling efficiency and reducing redundancy in spectral data. Experimental results demonstrate that the improved mayfly optimization algorithm effectively identifies the optimal parameter combination for SVM, thereby enhancing the overall performance of the identification model. The proposed SVM model, in which the improved mayfly optimization algorithm is used, can achieve a recognition accuracy of 100% for the four types of rapeseed oils, surpassing the 98.15% accuracy achieved by the SVM model with the original mayfly optimization algorithm. Thus, this study presents a rapid and effective new approach for identifying GM rapeseed oils and offers a valuable reference for identifying other genetically modified substances.
To achieve rapid and accurate identification of genetically modified (GM) and non-GM rapeseed oils, a support vector machine (SVM) model based on an improved mayfly optimization algorithm and coupled with the terahertz time-domain spectroscopy, is proposed. Two types of GM rapeseed oils and two types of non-GM rapeseed oils are selected as research subjects. Their spectral information is acquired by using the terahertz time-domain spectroscopy. The observations show that GM rapeseed oils exhibit stronger terahertz absorption characteristics than non-GM rapeseed oils. However, their absorption spectra are highly similar, making direct differentiation difficult through visual inspection alone. Therefore, SVM is used for spectral recognition. Considering that the classification performance of SVM is significantly affected by its parameters, the mayfly optimization algorithm is combined to optimize these parameters. Furthermore, adaptive inertia weight and Lévy flight strategies are introduced to enhance the global search capability and robustness of the mayfly optimization algorithm, thus addressing the issue of easily becoming trapped in local optima in the optimization process. Moreover, principal component analysis is used to reduce the dimensionality of the absorbance data in a 0.3–1.8 THz range, aiming to extract critical features, thereby enhancing modeling efficiency and reducing redundancy in spectral data. Experimental results demonstrate that the improved mayfly optimization algorithm effectively identifies the optimal parameter combination for SVM, thereby enhancing the overall performance of the identification model. The proposed SVM model, in which the improved mayfly optimization algorithm is used, can achieve a recognition accuracy of 100% for the four types of rapeseed oils, surpassing the 98.15% accuracy achieved by the SVM model with the original mayfly optimization algorithm. Thus, this study presents a rapid and effective new approach for identifying GM rapeseed oils and offers a valuable reference for identifying other genetically modified substances.
2024, 73(5): 059801.
doi:10.7498/aps.73.20231362
Abstract:
In order to explore and develop new crystal materials in the 2.7–3.0 μm band, Pr, Yb, Ho:GdScO3crystal are successfully grown by the Czochralski method for the first time. X-ray diffraction measurement is performed to obtain powder diffraction data. Raman spectra aree measured and the vibration peaks are identified. The transmission spectrum, emission spectrum and fluorescence lifetime of Pr, Yb, Ho:GdScO3crystal are also characterized. The center of the strongest absorption band is at 966 nm with a half-peak width of 90 nm, which comes from the transition of Yb3+:2F7/2→2F5/2. The absorption cross section of Yb3+is calculated and the values at 966, 973, 985 nm are 0.62×10–20, 0.60×10–20and 0.58×10–20cm2respectively. The maximum emission peak is at 2850 nm and the half-peak width is 70 nm, the lifetimes of Ho3+:5I6and5I7are measured to be 1094 and 56 μs respectively, and the emission cross section at 2850 and 2935 nm are calculated to be 3.6×10–20cm2and 1.21×10–20cm2, respectively. Comparing with Yb, Ho: GdScO3crystal, the absorption peak of Yb3+and the emission peak are both broadened, which are related to the increase of crystal disorder. The lifetime of the lower energy level decreases significantly. Furthermore, the energy transfer mechanism between
\begin{document}$\rm Ho^{3+} $\end{document}
and Pr3+is analyzed, and the energy transfer efficiency between Ho3+:5I7and Pr3+:3F2+3H6is calculated to be 99%, which is higher than those in other materials. All the results show that Pr, Yb, Ho:GdScO3crystal is an excellent 2.7–3 μm laser material, and is easier to achieve laser output than Yb, Ho:GdScO3crystal.
In order to explore and develop new crystal materials in the 2.7–3.0 μm band, Pr, Yb, Ho:GdScO3crystal are successfully grown by the Czochralski method for the first time. X-ray diffraction measurement is performed to obtain powder diffraction data. Raman spectra aree measured and the vibration peaks are identified. The transmission spectrum, emission spectrum and fluorescence lifetime of Pr, Yb, Ho:GdScO3crystal are also characterized. The center of the strongest absorption band is at 966 nm with a half-peak width of 90 nm, which comes from the transition of Yb3+:2F7/2→2F5/2. The absorption cross section of Yb3+is calculated and the values at 966, 973, 985 nm are 0.62×10–20, 0.60×10–20and 0.58×10–20cm2respectively. The maximum emission peak is at 2850 nm and the half-peak width is 70 nm, the lifetimes of Ho3+:5I6and5I7are measured to be 1094 and 56 μs respectively, and the emission cross section at 2850 and 2935 nm are calculated to be 3.6×10–20cm2and 1.21×10–20cm2, respectively. Comparing with Yb, Ho: GdScO3crystal, the absorption peak of Yb3+and the emission peak are both broadened, which are related to the increase of crystal disorder. The lifetime of the lower energy level decreases significantly. Furthermore, the energy transfer mechanism between












