2024 Vol. 73, No. 6
column
- INVITED REVIEW
- SPECIAL TOPIC—Modification of material properties by defects and dopants
- SPECIAL TOPIC—Machine learning in biomolecular simulations
- GENERAL
- NUCLEAR PHYSICS
- ATOMIC AND MOLECULAR PHYSICS
- ELECTROMAGNETISM, OPTICS, ACOUSTICS, HEAT TRANSFER, CLASSICAL MECHANICS, AND FLUID DYNAMICS
- PHYSICS OF GASES, PLASMAS, AND ELECTRIC DISCHARGES
- CONDENSED MATTER: STRUCTURAL, MECHANICAL, AND THERMAL PROPERTIES
- CONDENSED MATTER: ELECTRONIC STRUCTURE, ELECTRICAL, MAGNETIC, AND OPTICAL PROPERTIES
- INTERDISCIPLINARY PHYSICS AND RELATED AREAS OF SCIENCE AND TECHNOLOGY
- COVER ARTICLE
Display Method:
2024, 73(6): 064201.
doi:10.7498/aps.73.20231850
Abstract:
The proposal and development of topological photonics have provided a new approach to fundamentally addressing the susceptibility of traditional photonic devices to defects or disorders, significantly enhancing the transmission efficiency and robustness of photonic devices. Among them, non-reciprocal topological photonics which break time-reversal symmetry and support chiral topological states are crucial branches of topological photonics. Their topological properties are characterized by non-zero Chern numbers in two dimensions or topological Chern vectors in three dimensions, exhibiting a rigorous and complete topological protection beyond that of reciprocal topological photonics. This review focuses on introducing the remarkable achievements of non-reciprocal topological photonics in exploring novel physical phenomena (chiral/antichiral edge/surface states, two-dimensional/three-dimensional photonic Chern insulators, magnetic Weyl photonics crystals, etc.) and constructing non-reciprocal robust topological photonic devices (unidirectional waveguides, broadband slow-light delay lines, arbitrarily shaped topological lasers, high-orbital-angular-momentum coherent light sources, etc.). Finally, the present status, potential challenges, and possible breakthroughs in the development of non-reciprocal topological photonics are discussed.
The proposal and development of topological photonics have provided a new approach to fundamentally addressing the susceptibility of traditional photonic devices to defects or disorders, significantly enhancing the transmission efficiency and robustness of photonic devices. Among them, non-reciprocal topological photonics which break time-reversal symmetry and support chiral topological states are crucial branches of topological photonics. Their topological properties are characterized by non-zero Chern numbers in two dimensions or topological Chern vectors in three dimensions, exhibiting a rigorous and complete topological protection beyond that of reciprocal topological photonics. This review focuses on introducing the remarkable achievements of non-reciprocal topological photonics in exploring novel physical phenomena (chiral/antichiral edge/surface states, two-dimensional/three-dimensional photonic Chern insulators, magnetic Weyl photonics crystals, etc.) and constructing non-reciprocal robust topological photonic devices (unidirectional waveguides, broadband slow-light delay lines, arbitrarily shaped topological lasers, high-orbital-angular-momentum coherent light sources, etc.). Finally, the present status, potential challenges, and possible breakthroughs in the development of non-reciprocal topological photonics are discussed.
2024, 73(6): 063101.
doi:10.7498/aps.73.20231631
Abstract:
Perovskite solar cell material becomes one of the most attractive light absorbing materials in the photovolatic field due toits unique photoelectric characteristics, especially the rapid improvement of photoelectric conversion efficiency in the initial short period of time. However, in recent years, the growth of conversion efficiency has entered a slow stage, posing a challenge for subsequent development. In addition, the long-time stability of material has become a key barrier to widespread commerical applications. The emergence of these problems is closely related to the inevitable defects in the material in preparation process, because defect is usually regarded as one of the key factors hindering the improvement of photovolatic performance and materical stability. Therefore, a comprehensive understanding of the inherent defects of material is essential to improve cell efficiency and maintain long-time structural stability. In this paper, the effects of defects in perovskite material on photovolatic performance and stability are discussed in many aspects, including the traditional rigid defects, unconventional defects, complex defects, and ion migration. Second, this work also delves into how defects affect carrier lifetime and highlights their role in determining the overall cell performance. Such insights are very important in designing effective strategies to mitigate the adverse effects of defects on material performance and stability. Finally, we discuss the complex relationship between defects and structural stability, and recognize that the defects are a key factor affecting the long-term robustness of perovskite solar cells. The understanding of the mechanism behind the focus problems will help researchers achieve new ideas to improve the efficiency and duraibility of perovskite solar cell technology. Overall, this review not only provides the current state of knowledge on defects in perovskite materials, but also illustrates further research directions. By revealing the complex interplay between defects, photovoltaic performance and structural stability, researchers can find a way to break through the current limitations and realize the potential value of perovskite solar cell technology in the commercial applications. Thiswork aims to spark an in-depth discussion of this issue and further explore and innovate in this promising field.
Perovskite solar cell material becomes one of the most attractive light absorbing materials in the photovolatic field due toits unique photoelectric characteristics, especially the rapid improvement of photoelectric conversion efficiency in the initial short period of time. However, in recent years, the growth of conversion efficiency has entered a slow stage, posing a challenge for subsequent development. In addition, the long-time stability of material has become a key barrier to widespread commerical applications. The emergence of these problems is closely related to the inevitable defects in the material in preparation process, because defect is usually regarded as one of the key factors hindering the improvement of photovolatic performance and materical stability. Therefore, a comprehensive understanding of the inherent defects of material is essential to improve cell efficiency and maintain long-time structural stability. In this paper, the effects of defects in perovskite material on photovolatic performance and stability are discussed in many aspects, including the traditional rigid defects, unconventional defects, complex defects, and ion migration. Second, this work also delves into how defects affect carrier lifetime and highlights their role in determining the overall cell performance. Such insights are very important in designing effective strategies to mitigate the adverse effects of defects on material performance and stability. Finally, we discuss the complex relationship between defects and structural stability, and recognize that the defects are a key factor affecting the long-term robustness of perovskite solar cells. The understanding of the mechanism behind the focus problems will help researchers achieve new ideas to improve the efficiency and duraibility of perovskite solar cell technology. Overall, this review not only provides the current state of knowledge on defects in perovskite materials, but also illustrates further research directions. By revealing the complex interplay between defects, photovoltaic performance and structural stability, researchers can find a way to break through the current limitations and realize the potential value of perovskite solar cell technology in the commercial applications. Thiswork aims to spark an in-depth discussion of this issue and further explore and innovate in this promising field.
2024, 73(6): 067401.
doi:10.7498/aps.73.20231954
Abstract:
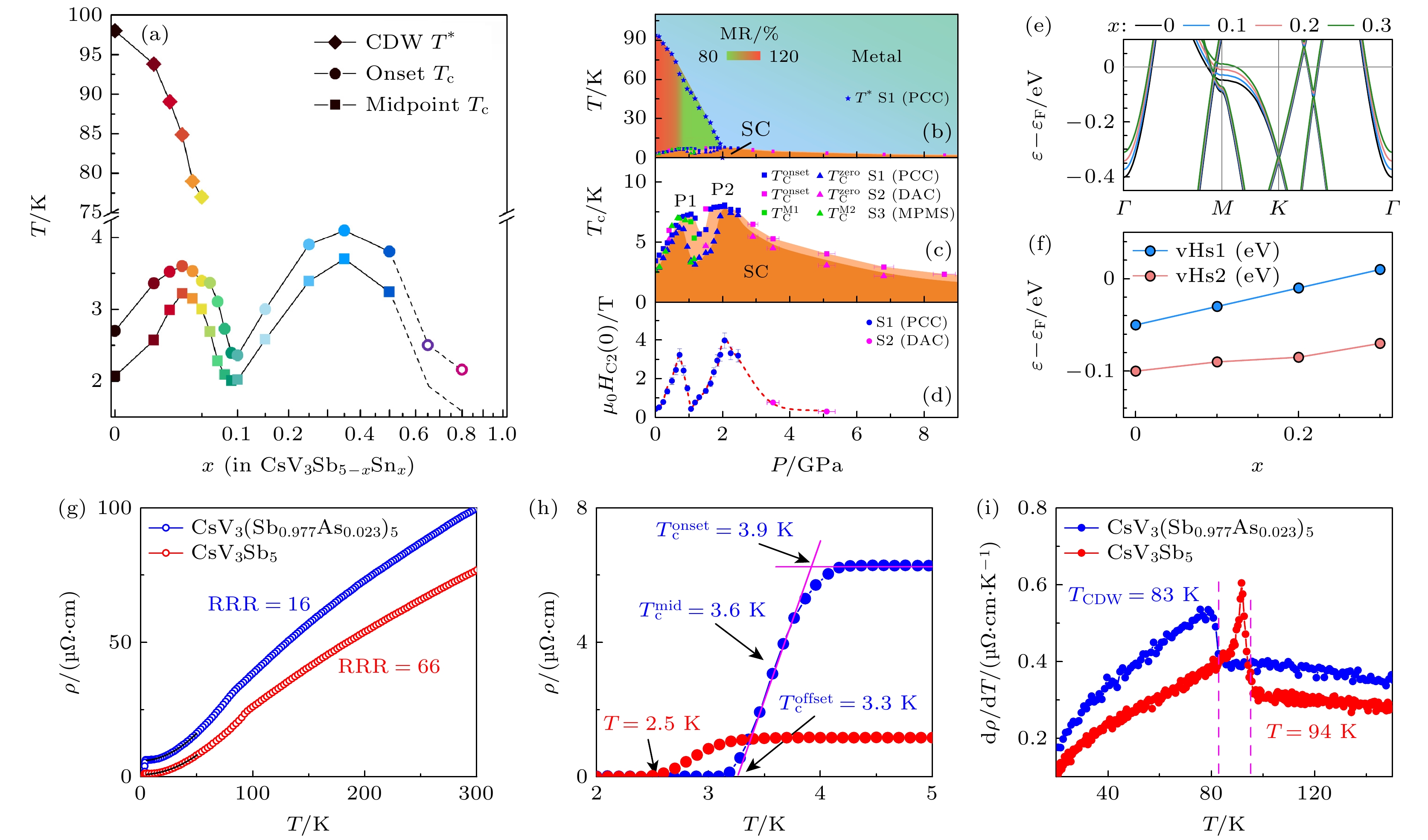
Material with Kagome lattice provides an excellent platform for studying electronic correlation effects, topological states of matter, unconventional superconductivity, and geometric frustration. The recently discovered Kagome superconductorsAV3Sb5(A= K, Rb, Cs) have attracted widespread attention in the field of condensed matter physics, and many efforts have been made to elucidate their novel physical properties, such as charge density wave, unconventional superconductivity, and band topology. Meanwhile, many groups have effectively tuned these novel properties through chemical doping, offering a good opportunity for further understanding the materials of this system. In this paper, we comprehensively review the latest research progress of the doping effect of this rapidly developedAV3Sb5system, with the objective of further promoting the in-depth research into Kagome superconductor. Specifically, we review the chemical doping in CsV3Sb5with elements such as Nb, Ta, Ti, and Sn, and the surface doping with elements Cs or O as well, and describe their influences on the novel quantum properties, especially superconductivity, charge density wave, and electronic band structure of the material. Furthermore, the intricate physical mechanism of doping manipulation is discussed, in order to provide a basic knowledge for further understanding and studying the rich quantum effects of the system, such as charge density waves, time reversal symmetry breaking, and superconductivity.
Material with Kagome lattice provides an excellent platform for studying electronic correlation effects, topological states of matter, unconventional superconductivity, and geometric frustration. The recently discovered Kagome superconductorsAV3Sb5(A= K, Rb, Cs) have attracted widespread attention in the field of condensed matter physics, and many efforts have been made to elucidate their novel physical properties, such as charge density wave, unconventional superconductivity, and band topology. Meanwhile, many groups have effectively tuned these novel properties through chemical doping, offering a good opportunity for further understanding the materials of this system. In this paper, we comprehensively review the latest research progress of the doping effect of this rapidly developedAV3Sb5system, with the objective of further promoting the in-depth research into Kagome superconductor. Specifically, we review the chemical doping in CsV3Sb5with elements such as Nb, Ta, Ti, and Sn, and the surface doping with elements Cs or O as well, and describe their influences on the novel quantum properties, especially superconductivity, charge density wave, and electronic band structure of the material. Furthermore, the intricate physical mechanism of doping manipulation is discussed, in order to provide a basic knowledge for further understanding and studying the rich quantum effects of the system, such as charge density waves, time reversal symmetry breaking, and superconductivity.
2024, 73(6): 066105.
doi:10.7498/aps.73.20231960
Abstract:
Doping and defect control in semiconductors are essential prerequisites for their practical applications. First-principles calculations of defects based on density functional theory offer crucial guidance for doping and defect control. In this paper, the developments in the theoretical methods of first-principles semiconductor defect calculations are introduced. Firstly, we introduce the method of calculating the defect formation energy and finite-size errors to the formation energy caused by the supercell method. Then, we present corresponding image charge correction schemes, which include the widely used post-hoc corrections (such as Makov-Payne, Lany-Zunger, Freysoldt-Neugebauer-van de Walle schemes), the recently developed self-consistent potential correction which performs the image charge correction in the self-consistent loop for solving Kohn-Sham equations, and the self-consistent charge correction scheme which does not require an input of macroscopic dielectric constants. Further, we extend our discussion to charged defect calculations in low-dimensional semiconductors, elucidate the issue of charged defect formation energy divergence with the increase of vacuum thickness within the jellium model and introduce our theoretical model which solves this energy divergence issue by placing the ionized electrons or holes in the realistic host band-edge states instead of the virtual jellium state. Furthermore, we provide a brief overview of defect calculation correction methods due to the DFT band gap error, including the scissors operator, LDA+Uand hybrid functionals. Finally, in order to describe the calculation of defect formation energy under illumination, we present our self-consistent two-Fermi-reservoir model, which can well predict the defect concentration and carrier concentration in the Mg doped GaN system under illumination. This work summarizes the recent developments regarding first-principles calculations of defects in semiconducting materials and low-dimensional semiconductors, under whether equilibrium conditions or non-equilibrium conditions, thus promoting further developments of doping and defect control within semiconductors.
Doping and defect control in semiconductors are essential prerequisites for their practical applications. First-principles calculations of defects based on density functional theory offer crucial guidance for doping and defect control. In this paper, the developments in the theoretical methods of first-principles semiconductor defect calculations are introduced. Firstly, we introduce the method of calculating the defect formation energy and finite-size errors to the formation energy caused by the supercell method. Then, we present corresponding image charge correction schemes, which include the widely used post-hoc corrections (such as Makov-Payne, Lany-Zunger, Freysoldt-Neugebauer-van de Walle schemes), the recently developed self-consistent potential correction which performs the image charge correction in the self-consistent loop for solving Kohn-Sham equations, and the self-consistent charge correction scheme which does not require an input of macroscopic dielectric constants. Further, we extend our discussion to charged defect calculations in low-dimensional semiconductors, elucidate the issue of charged defect formation energy divergence with the increase of vacuum thickness within the jellium model and introduce our theoretical model which solves this energy divergence issue by placing the ionized electrons or holes in the realistic host band-edge states instead of the virtual jellium state. Furthermore, we provide a brief overview of defect calculation correction methods due to the DFT band gap error, including the scissors operator, LDA+Uand hybrid functionals. Finally, in order to describe the calculation of defect formation energy under illumination, we present our self-consistent two-Fermi-reservoir model, which can well predict the defect concentration and carrier concentration in the Mg doped GaN system under illumination. This work summarizes the recent developments regarding first-principles calculations of defects in semiconducting materials and low-dimensional semiconductors, under whether equilibrium conditions or non-equilibrium conditions, thus promoting further developments of doping and defect control within semiconductors.
2024, 73(6): 067101.
doi:10.7498/aps.73.20231735
Abstract:
High-pressure gaseous hydrogen storage is an important way of hydrogen energy storage and transport at present, while high-strength steel material is one of the main materials used for hydrogen storage vessels. However, their internal doping elements and inherent defects often lead their mechanical properties to decrease, thus reducing the pressure-bearing capability and storage life of the vessel. At present, the mechanism of doping elements influencing the mechanical properties of high-strength steels is still unclear. In this work, a first-principles approach is used to study the influence of elemental doping (Cr, Mn, Mo, As, Sb, Bi, Sn, Pb) on the mechanical properties of Fe single crystals and Fe-C systems. The results show that among the above elements, Mn doping can increase the elastic modulus, bulk modulus, and shear modulus compared with those of pure Fe, while the doping by remaining elements will reduce the three moduli above, with the non-transition metal elements having a greater effect on the three moduli than the transition metal elements. Electronic structure analysis shows that the transition metal elements have better compatibility with the Fe lattice. Molecular dynamics results further show that the injection of H atoms significantly disrupts the lattice ordering of the Fe polycrystalline doped by C, Cr, and Mn elements, while the doping of Cr elements can significantly enhance the dislocation density of the system. The effects of doping elements on the mechanical properties of single-crystal and polycrystalline Fe, which are studied in this work, are of great significance in guiding the mechanistic study of the effects of doping and defects on the strength of Fe-based materials.
High-pressure gaseous hydrogen storage is an important way of hydrogen energy storage and transport at present, while high-strength steel material is one of the main materials used for hydrogen storage vessels. However, their internal doping elements and inherent defects often lead their mechanical properties to decrease, thus reducing the pressure-bearing capability and storage life of the vessel. At present, the mechanism of doping elements influencing the mechanical properties of high-strength steels is still unclear. In this work, a first-principles approach is used to study the influence of elemental doping (Cr, Mn, Mo, As, Sb, Bi, Sn, Pb) on the mechanical properties of Fe single crystals and Fe-C systems. The results show that among the above elements, Mn doping can increase the elastic modulus, bulk modulus, and shear modulus compared with those of pure Fe, while the doping by remaining elements will reduce the three moduli above, with the non-transition metal elements having a greater effect on the three moduli than the transition metal elements. Electronic structure analysis shows that the transition metal elements have better compatibility with the Fe lattice. Molecular dynamics results further show that the injection of H atoms significantly disrupts the lattice ordering of the Fe polycrystalline doped by C, Cr, and Mn elements, while the doping of Cr elements can significantly enhance the dislocation density of the system. The effects of doping elements on the mechanical properties of single-crystal and polycrystalline Fe, which are studied in this work, are of great significance in guiding the mechanistic study of the effects of doping and defects on the strength of Fe-based materials.
2024, 73(6): 066104.
doi:10.7498/aps.73.20231744
Abstract:
Magnetic Fe3O4nanoparticles show promising applications in nanomedicine. The saturation magnetization (MS) and magnetic anisotropy are critical for the applications of Fe3O4nanoparticles in drug delivery and magnetic hyperthermia. Here, by density functional computation, the doping effects of 3d and 4d transition metal elements (including Sc, Ti, V, Cr, Mn, Fe, Co, Ni, Cu, Zn, Y, Zr, Nb, Mo, Tc, Ru, Rh, Pd, Ag and Cd) on the magnetic properties of Fe3O4are investigated in-depth. A conventional cell of Fe3O4, containing 24 Fe atoms and 32 O atoms, has been used to investigate the doping of group III elements. One 3d or 4d atom is doped in one conventional cell of Fe3O4, resulting in the formation of X0.125Fe2.875O4where X represents the dopant. The results show that the doping of most 3d and 4d transition metal elements will reduce the total magnetic moment, while the doping of Ag, Zn and Cd in Fe3O4will increase the total magnetic moment by 19%–22%. However, it is hard to dope Ag into Fe3O4according to the positive formation energy. Therefore, Zn and Cd are good candidates to improve theMSof Fe3O4. The doping of Zn and Cd has also an influence on the magnetic anisotropy of Fe3O4. For Zn0.125Fe2.875O4, the magnetic anisotropy energy is about 0.25 meV per cell, which is slightly larger than that of intrinsic Fe3O4(0.2 meV per cell). Interestingly, the doping of Cd (Cd0.125Fe2.875O4) will greatly increase the magnetic anisotropy energy to 0.8 meV per cell, which is significant for the specific absorption rate in the magnetic hyperthermia application. In addition, the doping of Zn and Cd will not induce any defect states in the band gap according to the density of states. Zn0.125Fe2.875O4and Cd0.125Fe2.875O4are both semiconducting and both the top of valence band and the bottom of conduction band originate from octahedral Fe. This is because the impurity states are very deep in energy. Our research results show that doping Cd is a feasible way to improve the performance of Fe3O4as a material for drug delivery and magnetic hyperthermia.
Magnetic Fe3O4nanoparticles show promising applications in nanomedicine. The saturation magnetization (MS) and magnetic anisotropy are critical for the applications of Fe3O4nanoparticles in drug delivery and magnetic hyperthermia. Here, by density functional computation, the doping effects of 3d and 4d transition metal elements (including Sc, Ti, V, Cr, Mn, Fe, Co, Ni, Cu, Zn, Y, Zr, Nb, Mo, Tc, Ru, Rh, Pd, Ag and Cd) on the magnetic properties of Fe3O4are investigated in-depth. A conventional cell of Fe3O4, containing 24 Fe atoms and 32 O atoms, has been used to investigate the doping of group III elements. One 3d or 4d atom is doped in one conventional cell of Fe3O4, resulting in the formation of X0.125Fe2.875O4where X represents the dopant. The results show that the doping of most 3d and 4d transition metal elements will reduce the total magnetic moment, while the doping of Ag, Zn and Cd in Fe3O4will increase the total magnetic moment by 19%–22%. However, it is hard to dope Ag into Fe3O4according to the positive formation energy. Therefore, Zn and Cd are good candidates to improve theMSof Fe3O4. The doping of Zn and Cd has also an influence on the magnetic anisotropy of Fe3O4. For Zn0.125Fe2.875O4, the magnetic anisotropy energy is about 0.25 meV per cell, which is slightly larger than that of intrinsic Fe3O4(0.2 meV per cell). Interestingly, the doping of Cd (Cd0.125Fe2.875O4) will greatly increase the magnetic anisotropy energy to 0.8 meV per cell, which is significant for the specific absorption rate in the magnetic hyperthermia application. In addition, the doping of Zn and Cd will not induce any defect states in the band gap according to the density of states. Zn0.125Fe2.875O4and Cd0.125Fe2.875O4are both semiconducting and both the top of valence band and the bottom of conduction band originate from octahedral Fe. This is because the impurity states are very deep in energy. Our research results show that doping Cd is a feasible way to improve the performance of Fe3O4as a material for drug delivery and magnetic hyperthermia.
2024, 73(6): 069301.
doi:10.7498/aps.73.20231618
Abstract:
In silicoprotein calculation has been an important research subject for a long time, while its recent combination with machine learning promotes the development greatly in related areas. This review focuses on four major fields of thein silicoprotein research that combines with machine learning, which are molecular dynamics, structure prediction, property prediction and molecule design. Molecular dynamics depend on the parameters of force field, which is necessary for obtaining accurate results. Machine learning can help researchers to obtain more accurate force field parameters. In molecular dynamics simulation, machine learning can also help to perform the free energy calculation in relatively low cost. Structure prediction is generally used to predict the structure given a protein sequence. Structure prediction is of high complexity and data volume, which is exactly what machine learning is good at. By the help of machine learning, scientists have gained great achievements in three-dimensional structure prediction of proteins. On the other hand, the predicting of protein properties based on its known information is also important to study protein. More challenging, however, is molecule design. Though marching learning has made breakthroughs in drug-like small molecule design and protein design in recent years, there is still plenty of room for exploration. This review focuses on summarizing the above four fields andlooks forward to the application of marching learning to thein silicoprotein research.
In silicoprotein calculation has been an important research subject for a long time, while its recent combination with machine learning promotes the development greatly in related areas. This review focuses on four major fields of thein silicoprotein research that combines with machine learning, which are molecular dynamics, structure prediction, property prediction and molecule design. Molecular dynamics depend on the parameters of force field, which is necessary for obtaining accurate results. Machine learning can help researchers to obtain more accurate force field parameters. In molecular dynamics simulation, machine learning can also help to perform the free energy calculation in relatively low cost. Structure prediction is generally used to predict the structure given a protein sequence. Structure prediction is of high complexity and data volume, which is exactly what machine learning is good at. By the help of machine learning, scientists have gained great achievements in three-dimensional structure prediction of proteins. On the other hand, the predicting of protein properties based on its known information is also important to study protein. More challenging, however, is molecule design. Though marching learning has made breakthroughs in drug-like small molecule design and protein design in recent years, there is still plenty of room for exploration. This review focuses on summarizing the above four fields andlooks forward to the application of marching learning to thein silicoprotein research.
2024, 73(6): 068702.
doi:10.7498/aps.73.20231800
Abstract:
Accurate description of the free energy landscape (FES) is the basis for understanding complex molecular systems, and for further realizing molecular design, manufacture and industrialization. Major challenges include multiple metastable states, which usually are separated by high potential barriers and are not linearly separable, and may exist at multiple levels of time and spatial scales. Consequently FES is not suitable for analytical analysis and brute force simulation. To address these challenges, many enhanced sampling methods have been developed. However, utility of them usually involves many empirical choices, which hinders research advancement, and also makes error control very unimportant. Although variational calculus has been widely applied and achieved great success in physics, engineering and statistics, its application in complex molecular systems has just begun with the development of neural networks. This brief review is to summarize the background, major developments, current limitations, and prospects of applying variation in this field. It is hoped to facilitate the AI algorithm development for complex molecular systems in general, and to promote the further methodological development in this line of research in particular.
Accurate description of the free energy landscape (FES) is the basis for understanding complex molecular systems, and for further realizing molecular design, manufacture and industrialization. Major challenges include multiple metastable states, which usually are separated by high potential barriers and are not linearly separable, and may exist at multiple levels of time and spatial scales. Consequently FES is not suitable for analytical analysis and brute force simulation. To address these challenges, many enhanced sampling methods have been developed. However, utility of them usually involves many empirical choices, which hinders research advancement, and also makes error control very unimportant. Although variational calculus has been widely applied and achieved great success in physics, engineering and statistics, its application in complex molecular systems has just begun with the development of neural networks. This brief review is to summarize the background, major developments, current limitations, and prospects of applying variation in this field. It is hoped to facilitate the AI algorithm development for complex molecular systems in general, and to promote the further methodological development in this line of research in particular.
2024, 73(6): 060201.
doi:10.7498/aps.73.20231866
Abstract:
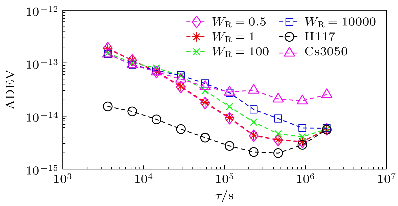
Frequency control of atomic clock is a key technology in time keeping operation. At present, the open-loop control algorithm is mainly used for the frequency control of foreign microwave clock, but the working principle and performance of domestic optically pumped small cesium clock (hereinafter referred to as domestic clock) are different from those of foreign atomic clock of the same type, so the algorithm cannot be well adapted to domestic clock. In order to improve the autonomy and security of the national standard time, based on the noise characteristics of domestic clock, in this work, the linear quadratic Gaussian control algorithm is studied in the framework of optimal control theory. This algorithm belongs to closed-loop control algorithm. The performance of domestic clock is studied from the aspects of synchronization time, frequency control accuracy and frequency control stability. Finally, the influence of different control intervals on the performance of domestic clock is analyzed. The results show that with the increase of the constraint matrix
\begin{document}$ {{{W}}_{\text{R}}} $\end{document}
in the quadratic loss function, the synchronization time increases, the control accuracy decreases, and the control short-term stability increases. When
\begin{document}$ {{{W}}_{\text{R}}} $\end{document}
is the same, with the increase of control interval, the synchronization time increases, the control accuracy decreases, and the control short-term stability increases. When
\begin{document}$ {W_{\text{R}}} = 1 $\end{document}
, the synchronization time with control interval of 1 h is 5 h, the control accuracy is 1.83 ns, and the Allan deviation of 1 hour is 1.81×10–13. When the control interval is 8 h, the synchronization time is 28 h, the control accuracy is 4.48 ns, and the Allan deviation of 1 h is 1.48×10–13. The medium-term stability and long-term stability of domestic optically pumped small cesium clock are both improved.
Frequency control of atomic clock is a key technology in time keeping operation. At present, the open-loop control algorithm is mainly used for the frequency control of foreign microwave clock, but the working principle and performance of domestic optically pumped small cesium clock (hereinafter referred to as domestic clock) are different from those of foreign atomic clock of the same type, so the algorithm cannot be well adapted to domestic clock. In order to improve the autonomy and security of the national standard time, based on the noise characteristics of domestic clock, in this work, the linear quadratic Gaussian control algorithm is studied in the framework of optimal control theory. This algorithm belongs to closed-loop control algorithm. The performance of domestic clock is studied from the aspects of synchronization time, frequency control accuracy and frequency control stability. Finally, the influence of different control intervals on the performance of domestic clock is analyzed. The results show that with the increase of the constraint matrix
2024, 73(6): 060301.
doi:10.7498/aps.73.20231890
Abstract:
In a commercial fiber-based quantum key distribution system, the local and signal optical fields are transmitted through long distance fibers by using time division multiplexing and polarization multiplexing. The state of polarization of the optical field is inevitably disturbed by random birefringence of the standard single-mode fiber caused by external complex environments. This drift of the state of polarization significantly affects the balanced homodyne detection results and the secret key rate. Therefore, the key technology of the dynamic polarization control unit is crucial for the system in a large-scale commercial application. We theoretically analyze and prove that the polarization control unit only needs the combination of two degrees of freedom when considering the result of an arbitrary polarization extinction ratio at the receiver of the system. To overcome the influence of polarization variations, we propose a chaotic monkey algorithm based on Bayesian parameter estimation method and implement intelligence algorithm on field programmable gate array (FPGA) hardware under pulsed light with an integral-type detector for the dynamic polarization control unit. The simulation results show that the optimal combination is four degrees of freedom and the optimal prior distribution is an exponential distribution among various distributions in the dynamic polarization control unit. According to the simulation results, the experimental results show that the achieved polarization extinction ratio is over 30 dB and the average time of polarization control is 400 μs for a single random polarization scrambling. By combining the dynamic polarization control unit with the system, we demonstrate the continuous variable quantum key distribution (CV-QKD) under a continuous polarization scrambling scope of 0-2 krad/s and verify its effectiveness. In addition, the methods presented will improve the performance of the system and expand the range of applications even under strong external disturbance.
In a commercial fiber-based quantum key distribution system, the local and signal optical fields are transmitted through long distance fibers by using time division multiplexing and polarization multiplexing. The state of polarization of the optical field is inevitably disturbed by random birefringence of the standard single-mode fiber caused by external complex environments. This drift of the state of polarization significantly affects the balanced homodyne detection results and the secret key rate. Therefore, the key technology of the dynamic polarization control unit is crucial for the system in a large-scale commercial application. We theoretically analyze and prove that the polarization control unit only needs the combination of two degrees of freedom when considering the result of an arbitrary polarization extinction ratio at the receiver of the system. To overcome the influence of polarization variations, we propose a chaotic monkey algorithm based on Bayesian parameter estimation method and implement intelligence algorithm on field programmable gate array (FPGA) hardware under pulsed light with an integral-type detector for the dynamic polarization control unit. The simulation results show that the optimal combination is four degrees of freedom and the optimal prior distribution is an exponential distribution among various distributions in the dynamic polarization control unit. According to the simulation results, the experimental results show that the achieved polarization extinction ratio is over 30 dB and the average time of polarization control is 400 μs for a single random polarization scrambling. By combining the dynamic polarization control unit with the system, we demonstrate the continuous variable quantum key distribution (CV-QKD) under a continuous polarization scrambling scope of 0-2 krad/s and verify its effectiveness. In addition, the methods presented will improve the performance of the system and expand the range of applications even under strong external disturbance.
2024, 73(6): 060302.
doi:10.7498/aps.73.20231769
Abstract:
In the case of continuous-variable quantum key distribution (CV-QKD) systems, synchronization is a key technology that ensures that both the transmitter and receiver obtain corresponding data synchronously. By designing an ingenious time sequence for the transmitter and receiver and using the peaking value acquisition technique and time domain heterodyne detection, we experimentally realize a four-state discrete modulation CV-QKD with a repetition rate of 10 MHz, transmitting over a distance of 25 km. With well-designed time sequence of hardware, Alice and Bob can obtain corresponding data automatically without using numerous software calculation methods.
The secure key rates are calculated by using the method proposed by the Lütkenhaus group at the University of Waterloo in Canada. In the calculation, we first estimate the first and the second moment by using the measured quadratures of displaced thermal states, followed by calculating the secret key rate by using the convex optimization method through the reconstruction of the moments. There is no need to assume a linear quantum transmission channel to estimate the excess noise. Finally, secure key rates of 0.0022—0.0091 bit/pulse are achieved, and the excess noise is between 0.016 and 0.103.
In this study, first, we introduce the prepare-and-measure scheme and the entanglement-based scheme of the four-state discrete modulation protocol. The Wigner images of the four coherent states on Alice’s side, and four displaced thermal states on Bob’s side are presented. Second, the design of hardware synchronization time series is introduced comprehensively. Third, the CV-QKD experiment setup is introduced and the time sequence is verified. Finally, the calculation method of secure key rate using the first and the second moment of quadrature is explained in detail. The phase space distribution of quadratures is also presented. The secret key rate ranges between 0.0022 and 0.0091 bits/pulse, and the equivalent excess noise are between 0.016 and 0.103. The average secret key bit rate is 24 kbit/s. During the experiment, the first and the second moment of the quantum state at the receiver end are found to fluctuate owing to the finite-size effect. This effect reduces the value of the secure key rate and limits the transmission distance of the CV-QKD system.
In conclusion, four-state discrete modulation CV-QKD based on hardware synchronization is designed and demonstrated. The proposed hardware synchronization method can effectively reduce the cost, size, and power consumption. In the future, the finite-size effect will be investigated theoretically and experimentally to improve the performance of system.
2024, 73(6): 060701.
doi:10.7498/aps.73.20231806
Abstract:
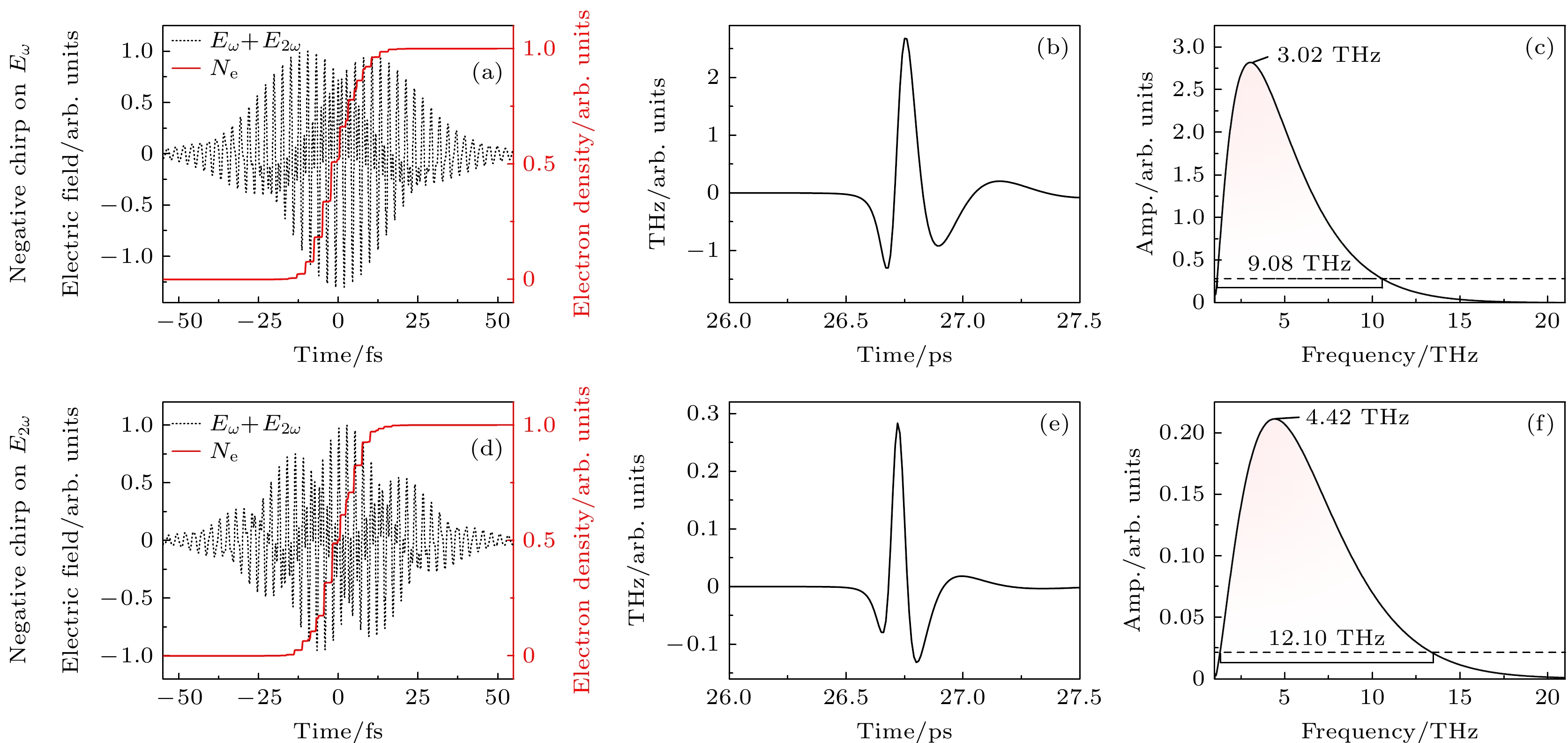
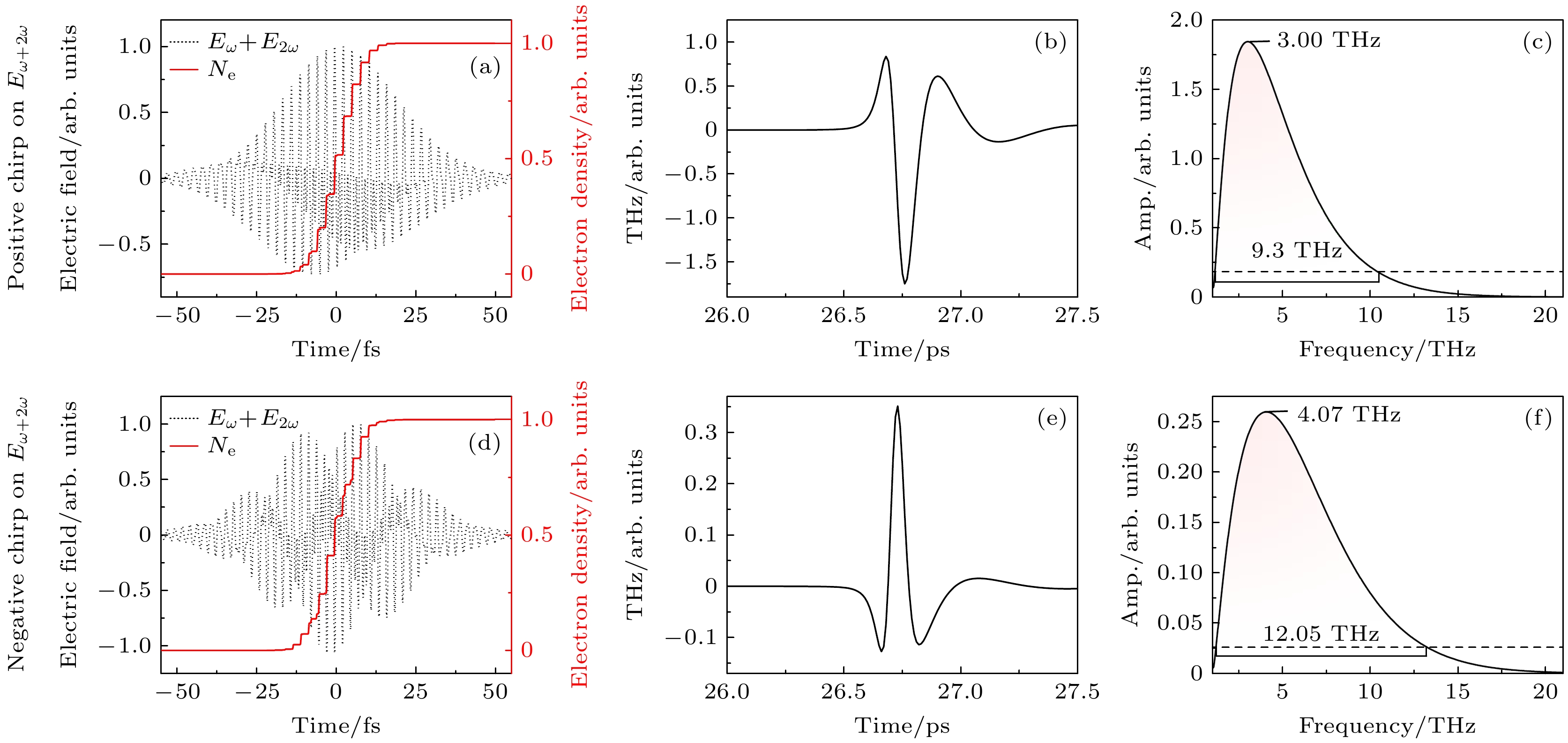
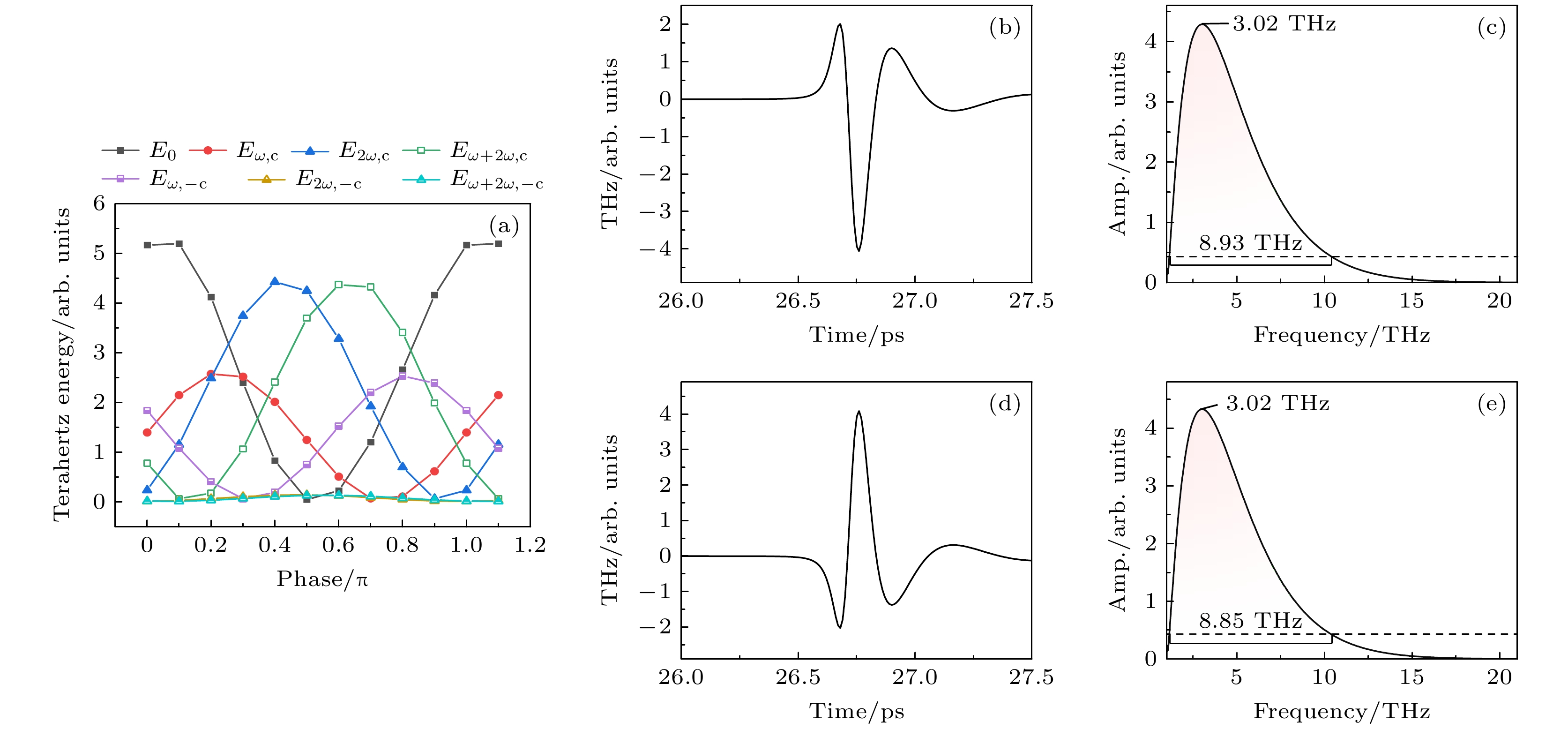
With the development of terahertz (THz) wave research, the demand for controllable THz sources is increasing. How to obtain the regulated THz waves has been one of the research hotspots and key problem in the field of THz science. There have been researches in which the resulting THz wave is modulated by changing the wavelength, relative phase, energy, or chirp of the laser produced by a two-color laser. In this work, we establish a three-dimensional theoretical model of THz wave generation and subsequent propagation induced by two-color laser. And we investigate the influence of chirp modulation of different laser on THz wave by chirp modulation of the fundamental wave (FW) and the second harmonic wave (SHW) of two-color laser, including THz wave amplitude, THz wave center frequency and spectrum width, and analyze the physical mechanism of related phenomena. At the same time, the effects of different orders of magnitudes of laser chirp parameters (femtosecond and picosecond) and initial phase of laser pulse on THz wave parameters are also studied. The results are shown below. 1) In the two-color laser, the chirp of FW mainly affects the shape of THz wave when the initial phase is unchanged. The chirp modulation of SHW can cause the amplitude of THz wave to change significantly, and affect the center frequency and spectrum width of THz waves. 2) In the case of laser pulse width of femtosecond order, 40 fs is taken as an example. When the chirp parameter is of femtosecond magnitude, the chirp parameter has a great influence on the THz wave generation efficiency of two-color laser filament. At the picosecond magnitude, the chirp parameter has a weak effect on the THz wave energy and mainly affects the phase of the THz wave. 3) The initial phase of the two-color laser can aid in chirp modulation of THz wave to optimize the energy generated. 4) The initial phase of two-color laser can assist in the process of chirped laser modulation of terahertz waves to optimize the energy generated. Our research shows that the chirp modulation, as a controllable parameter, has multiple regulation effect on the properties of radiated THz waves. The related research results provide a new idea and basis for studying the generation and regulation of THz waves.
With the development of terahertz (THz) wave research, the demand for controllable THz sources is increasing. How to obtain the regulated THz waves has been one of the research hotspots and key problem in the field of THz science. There have been researches in which the resulting THz wave is modulated by changing the wavelength, relative phase, energy, or chirp of the laser produced by a two-color laser. In this work, we establish a three-dimensional theoretical model of THz wave generation and subsequent propagation induced by two-color laser. And we investigate the influence of chirp modulation of different laser on THz wave by chirp modulation of the fundamental wave (FW) and the second harmonic wave (SHW) of two-color laser, including THz wave amplitude, THz wave center frequency and spectrum width, and analyze the physical mechanism of related phenomena. At the same time, the effects of different orders of magnitudes of laser chirp parameters (femtosecond and picosecond) and initial phase of laser pulse on THz wave parameters are also studied. The results are shown below. 1) In the two-color laser, the chirp of FW mainly affects the shape of THz wave when the initial phase is unchanged. The chirp modulation of SHW can cause the amplitude of THz wave to change significantly, and affect the center frequency and spectrum width of THz waves. 2) In the case of laser pulse width of femtosecond order, 40 fs is taken as an example. When the chirp parameter is of femtosecond magnitude, the chirp parameter has a great influence on the THz wave generation efficiency of two-color laser filament. At the picosecond magnitude, the chirp parameter has a weak effect on the THz wave energy and mainly affects the phase of the THz wave. 3) The initial phase of the two-color laser can aid in chirp modulation of THz wave to optimize the energy generated. 4) The initial phase of two-color laser can assist in the process of chirped laser modulation of terahertz waves to optimize the energy generated. Our research shows that the chirp modulation, as a controllable parameter, has multiple regulation effect on the properties of radiated THz waves. The related research results provide a new idea and basis for studying the generation and regulation of THz waves.
2024, 73(6): 060702.
doi:10.7498/aps.73.20231584
Abstract:
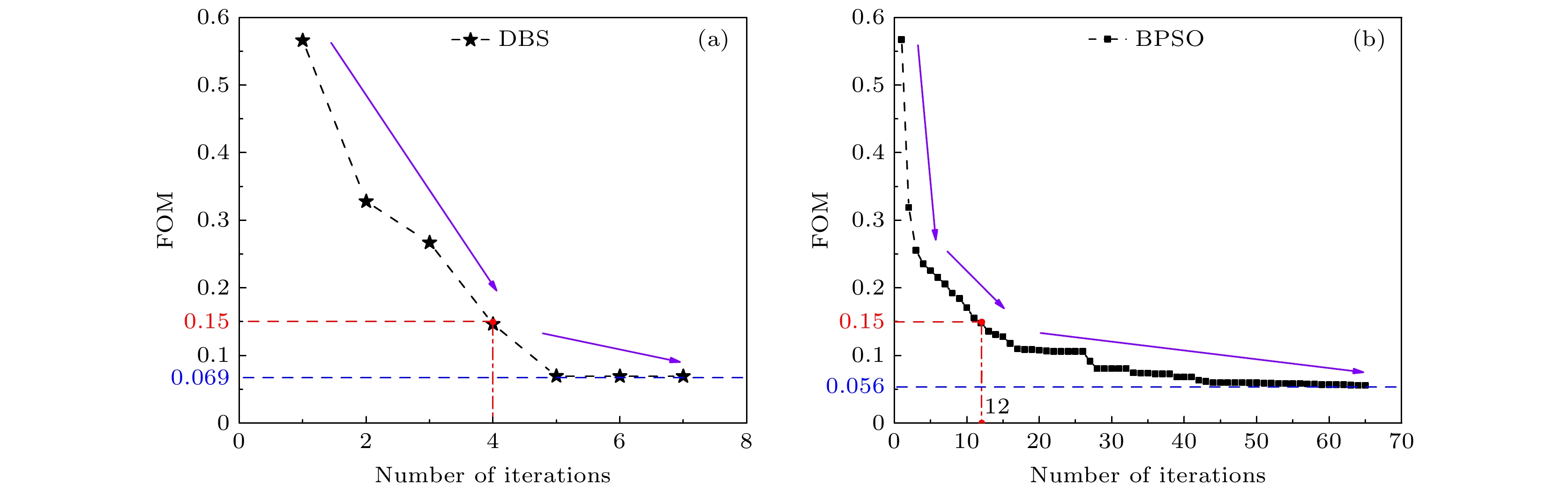
In this paper, an ingenious reverse design method is applied to the design and optimization of terahertz bandpass filters in order to achieve standardized design of high-performance terahertz functional devices. An equivalent model of subwavelength metasurface mapped to digital space is established. Based on ideal objective functions and constraints, intelligent algorithms begin a bold journey to explore the vast potential structure in the solution space. Through iterative refinement, the algorithm reveals optimal structural patterns, unlocking areas of unparalleled performance. The direct binary search (DBS) algorithm and the binary particle swarm optimization (BPSO) algorithm are compared in optimization process. When using the DBS algorithm to optimize the design area, it takes a long time to poll the logic states of all pixel units point by point, and it is easy to get stuck in the local optimal value. However, BPSO algorithm has stronger global search capabilities, faster convergence speed, and higher accuracy. Through a comprehensive comparison of the device performance optimized by the two algorithms, the solution optimized by BPSO algorithm has better out-of-band suppression performance and a narrower full width at half peak, but slightly lower transmittance at the center frequency. The bandpass filter has a center frequency of 0.51 THz, a bandwidth of 41.5 GHz, and an insertion loss of -0.1071 dB. When considering computational efficiency, DBS algorithm lags behind, the simulation time is 11550 s, while BPSO algorithm only needs 9750 s. Compared with the traditional forward design, the reverse design method can achieve the narrower band, lower insertion loss, better out-of-band suppression and polarization stability. The fine structural changes of the optimal results have a significant influence on spectral performance, demonstrating the superiority and uniqueness of reverse design. This technology contributes to the design and optimization of high-performance and novel functional devices.
In this paper, an ingenious reverse design method is applied to the design and optimization of terahertz bandpass filters in order to achieve standardized design of high-performance terahertz functional devices. An equivalent model of subwavelength metasurface mapped to digital space is established. Based on ideal objective functions and constraints, intelligent algorithms begin a bold journey to explore the vast potential structure in the solution space. Through iterative refinement, the algorithm reveals optimal structural patterns, unlocking areas of unparalleled performance. The direct binary search (DBS) algorithm and the binary particle swarm optimization (BPSO) algorithm are compared in optimization process. When using the DBS algorithm to optimize the design area, it takes a long time to poll the logic states of all pixel units point by point, and it is easy to get stuck in the local optimal value. However, BPSO algorithm has stronger global search capabilities, faster convergence speed, and higher accuracy. Through a comprehensive comparison of the device performance optimized by the two algorithms, the solution optimized by BPSO algorithm has better out-of-band suppression performance and a narrower full width at half peak, but slightly lower transmittance at the center frequency. The bandpass filter has a center frequency of 0.51 THz, a bandwidth of 41.5 GHz, and an insertion loss of -0.1071 dB. When considering computational efficiency, DBS algorithm lags behind, the simulation time is 11550 s, while BPSO algorithm only needs 9750 s. Compared with the traditional forward design, the reverse design method can achieve the narrower band, lower insertion loss, better out-of-band suppression and polarization stability. The fine structural changes of the optimal results have a significant influence on spectral performance, demonstrating the superiority and uniqueness of reverse design. This technology contributes to the design and optimization of high-performance and novel functional devices.
2024, 73(6): 062101.
doi:10.7498/aps.73.20231627
Abstract:
With the development of pulse amplification and compression technology, the peak power of the pulse has been improved by several orders of magnitude, and it is possible for the ultra strong laser field to affect nuclei directly. Theαdecay, as one of the most major forms in nuclear reaction, is a critical research topic in nuclear physics. According to the theory of Gamow model explaining nuclearαdecay in quantum mechanics, double folding model solving nuclear potential energy, and cluster model describing atomic nucleus, we present a complete set of solutions for the half-life of nuclearαdecay to study the influence of ultra strong laser field on nuclearαdecay. These half-lives ofαdecay of different nuclei from medium to heavy in the absence of laser field are obtained, which accord well with the experimental data. Subsequently, we introduce the effects of ultra strong laser field into our theoretical method to achieve the variations of the half-life of nuclearαdecay. Considering that the optical period of the laser pulse is much longer than the theoretical tunneling time and the Lorentz force is much smaller than the Coulomb force, the laser field is treated as an electrostatic field. The results show that the half-life of nuclearαdecay will reduce about 0.1% by the strong laser field with a peak power density of about 1.0×1026W/cm2, demonstrating that the half-life of nuclearαdecay is effectively affected by the strong laser field. Furthermore, the influences of the nuclear parameters, e.g. total quantum numberGdescribingαparticle orbits, andαdecay reaction energyQα, on the variations of these half-lives ofαdecay of different nuclei are discussed with the help of the calculation results. The dependence of the half-lives of nuclearαdecay on the laser peak power density is also explained correspondingly. In summary, we provide a more accurate method of calculating the half-life of nuclearαdecay, which is used to study the influences of ultra strong laser field on these half-lives of nuclearαdecay of different nuclei. With the further construction of strong laser devices, more interesting phenomena and results will be found from the experiment on the atomic nucleus under strong laser field.
With the development of pulse amplification and compression technology, the peak power of the pulse has been improved by several orders of magnitude, and it is possible for the ultra strong laser field to affect nuclei directly. Theαdecay, as one of the most major forms in nuclear reaction, is a critical research topic in nuclear physics. According to the theory of Gamow model explaining nuclearαdecay in quantum mechanics, double folding model solving nuclear potential energy, and cluster model describing atomic nucleus, we present a complete set of solutions for the half-life of nuclearαdecay to study the influence of ultra strong laser field on nuclearαdecay. These half-lives ofαdecay of different nuclei from medium to heavy in the absence of laser field are obtained, which accord well with the experimental data. Subsequently, we introduce the effects of ultra strong laser field into our theoretical method to achieve the variations of the half-life of nuclearαdecay. Considering that the optical period of the laser pulse is much longer than the theoretical tunneling time and the Lorentz force is much smaller than the Coulomb force, the laser field is treated as an electrostatic field. The results show that the half-life of nuclearαdecay will reduce about 0.1% by the strong laser field with a peak power density of about 1.0×1026W/cm2, demonstrating that the half-life of nuclearαdecay is effectively affected by the strong laser field. Furthermore, the influences of the nuclear parameters, e.g. total quantum numberGdescribingαparticle orbits, andαdecay reaction energyQα, on the variations of these half-lives ofαdecay of different nuclei are discussed with the help of the calculation results. The dependence of the half-lives of nuclearαdecay on the laser peak power density is also explained correspondingly. In summary, we provide a more accurate method of calculating the half-life of nuclearαdecay, which is used to study the influences of ultra strong laser field on these half-lives of nuclearαdecay of different nuclei. With the further construction of strong laser devices, more interesting phenomena and results will be found from the experiment on the atomic nucleus under strong laser field.
2024, 73(6): 062102.
doi:10.7498/aps.73.20231632
Abstract:
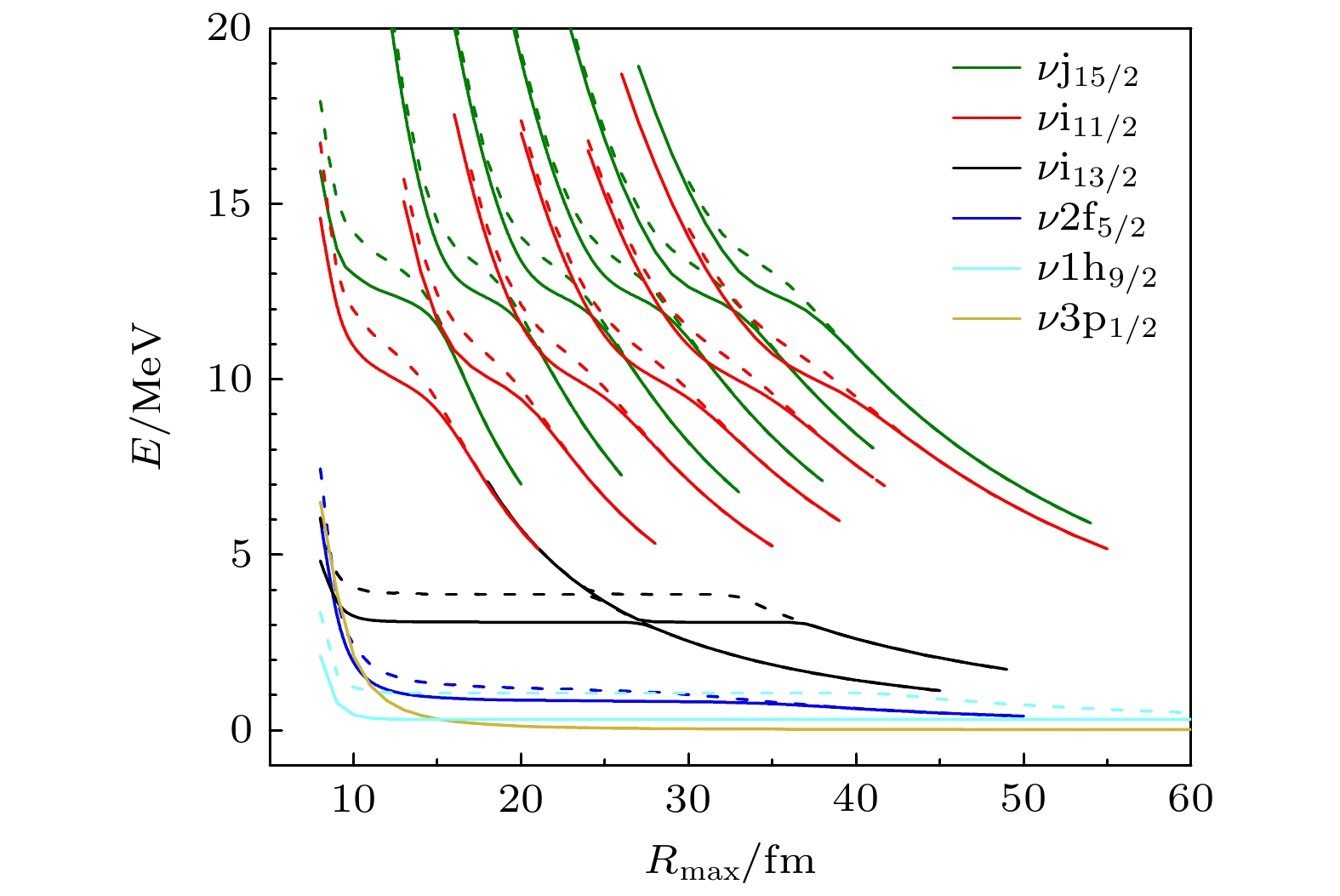
With the development of radioactive ion beam devices along with associated nuclear experimental detection technologies, the research areas in atomic nuclei have been further expanded, illustrating many new aspects of nuclear excitation as well as the physics of exotic nuclei far from theβ-stability line. For weakly bound nuclei, the Fermi surface may lie near the continuum, which facilitates the easy scattering of valence nucleons into the continuum to occupy the resonance state. These continuum effects are of crucial importance in explaining the unusual structure of unstable nuclei. In this work, with the real stabilization method in coordinate space, nuclear structure model for single-particle resonances is developed within the framework of the relativistic Hartree-Fock (RHF) theory. In order to extract potential single-particle resonance structures, we study the evolution of single-particle states with box size in the continuum. To avoid the instability of nuclear binding energy, the pairing correlations are not taken into account in the calculation. As an important motivation, the roles of Fock terms in determining the energy, widths and spin-orbit splitting are discussed for low-lying neutron resonance states of
\begin{document}$^{120}$\end{document}
Sn. By comparing with the relativistic mean field (RMF) model, it is found that the inclusion of exchange terms in the RHF model changes the in-medium balance of nuclear interactions and the equilibrium of nuclear dynamics, which in turn affects the description of the single-particle effective potential. For several neutron resonance states in
\begin{document}$^{120}$\end{document}
Sn with finite resonant width, RHF model predicts lower resonant energy and smaller widths than RMF. For the single-particle states around the continuum threshold, the featured signals of resonance can depend sensitively on the effective interactions. In addition, for the spin-partner states
\begin{document}$\nu {\mathrm{i}}_{13/2}$\end{document}
and
\begin{document}$\nu {\mathrm{i}}_{11/2}$\end{document}
in resonance states, the effect of Fock terms on their spin-orbit splitting is analyzed. In comparison with the bound states, the wave functions of resonant spin-partner states can differ remarkably from each other, changing the effective potential and single-particle energies correspondingly. Thus, additional components in the single-particle effective potential may also contribute to the spin-orbit splitting of resonance states, aside from the spin-orbit interaction. In order to elucidate the mechanism of Fock term in single-particle resonance physics, in the subsequent study more numerical techniques that have been recently developed will be incorporated into the RHF methodology.
With the development of radioactive ion beam devices along with associated nuclear experimental detection technologies, the research areas in atomic nuclei have been further expanded, illustrating many new aspects of nuclear excitation as well as the physics of exotic nuclei far from theβ-stability line. For weakly bound nuclei, the Fermi surface may lie near the continuum, which facilitates the easy scattering of valence nucleons into the continuum to occupy the resonance state. These continuum effects are of crucial importance in explaining the unusual structure of unstable nuclei. In this work, with the real stabilization method in coordinate space, nuclear structure model for single-particle resonances is developed within the framework of the relativistic Hartree-Fock (RHF) theory. In order to extract potential single-particle resonance structures, we study the evolution of single-particle states with box size in the continuum. To avoid the instability of nuclear binding energy, the pairing correlations are not taken into account in the calculation. As an important motivation, the roles of Fock terms in determining the energy, widths and spin-orbit splitting are discussed for low-lying neutron resonance states of
2024, 73(6): 062301.
doi:10.7498/aps.73.20231653
Abstract:
Nuclearβ-decay half-lives play an important role not only in nuclear physics, but also in astrophysics. Theβ-decay half-lives of many nuclei involved in the astrophysical rapid neutron-capture (r -process) still cannot be measured experimentally, so the theoretical predictions of nuclearβ-decay half-lives are inevitable for r-process studies. Theoretical models for studying the nuclearβ-decay half-lives include the empirical formula, the gross theory, the quasiparticle random phase approximation (QRPA), and the shell model. Compared with other theoretical models ofβ-decay half-lives, the empirical formula has high computational efficiency, and its prediction accuracy can be improved by introducing more and more physical information. In this work, an empirical formula without free parameters is proposed to calculate the nuclearβ-decay half-lives based on the Fermi theory ofβdecay. By including the pairing effect, the shell effect, and the isospin dependence, the newly proposed empirical formula significantly improves the accuracy of predicting the nuclearβ-decay half-life. For the nuclei with half-lives less than 1 second, the root-mean-square deviation of the common logarithms of the nuclearβ-decay half-life predicted by the new empirical formula from the experimental data decreases to 0.220, which is improved by about 54% compared with that by the empirical formula without free parameters, even better than those by other existing empirical formulas and microscopic QRPA approaches. In the unknown region, the nuclearβ-decay half-lives predicted by the new empirical formula are generally shorter than those predicted by the microscopic models in the light nuclear region, while those predicted by the new empirical formula in the heavy nuclear region are generally in agreement with those predicted by the microscopic models. The half-lives of neutron-rich nuclei on the nuclear chart are then predicted by the new empirical formula, providing nuclearβ-decay half-life inputs for the r-process simulations.
Nuclearβ-decay half-lives play an important role not only in nuclear physics, but also in astrophysics. Theβ-decay half-lives of many nuclei involved in the astrophysical rapid neutron-capture (r -process) still cannot be measured experimentally, so the theoretical predictions of nuclearβ-decay half-lives are inevitable for r-process studies. Theoretical models for studying the nuclearβ-decay half-lives include the empirical formula, the gross theory, the quasiparticle random phase approximation (QRPA), and the shell model. Compared with other theoretical models ofβ-decay half-lives, the empirical formula has high computational efficiency, and its prediction accuracy can be improved by introducing more and more physical information. In this work, an empirical formula without free parameters is proposed to calculate the nuclearβ-decay half-lives based on the Fermi theory ofβdecay. By including the pairing effect, the shell effect, and the isospin dependence, the newly proposed empirical formula significantly improves the accuracy of predicting the nuclearβ-decay half-life. For the nuclei with half-lives less than 1 second, the root-mean-square deviation of the common logarithms of the nuclearβ-decay half-life predicted by the new empirical formula from the experimental data decreases to 0.220, which is improved by about 54% compared with that by the empirical formula without free parameters, even better than those by other existing empirical formulas and microscopic QRPA approaches. In the unknown region, the nuclearβ-decay half-lives predicted by the new empirical formula are generally shorter than those predicted by the microscopic models in the light nuclear region, while those predicted by the new empirical formula in the heavy nuclear region are generally in agreement with those predicted by the microscopic models. The half-lives of neutron-rich nuclei on the nuclear chart are then predicted by the new empirical formula, providing nuclearβ-decay half-life inputs for the r-process simulations.
2024, 73(6): 063201.
doi:10.7498/aps.73.20231847
Abstract:
Solution method is an important means of fabricating optoelectronic devices. During the thin film sample preparation, organic or inorganic perovskite semiconductor material usually needs to be finished in a glove box. However, most of the traditional experimental characterizations under the air environment, it is hard to reflect the reality of the structure and performance between film and device, therefore it is urgently needed to solve the microstructure evolutions of these semiconductor films based onin situreal-time representation technique. In this work, we report a synchrotron-based grazing incidence wide and small-angle scattering (GIWAXS and GISAXS)in situreal-time observation technique combined with a mini glove box, thereby realizing the standard glove box environment (H2O, O2content all reached below 1×10–6) under remote control film spin coating or slot-die preparation and various sample post-processing. Meanwhile, this technique can real-time monitor the microstructure and morphology evolution of semiconductor film during fabrication. Based on thein situdevice and GIWAXS, SnO2ETL interface induced perovskite growth crystallization process shows that CQDs additive can result in three-dimensional perovskite, with the random orientation growth changing into highly ordered vertical orientation, meanwhile can effectively restrain the low-dimensional perovskite domain formation, helping to reveal the film microstructure transformation of inner driving force and providing the perovskite device preparation process optimized with experimental and theoretical basis. The conversion efficiency of large-area fully flexible three-dimensional perovskite thin film solar cells prepared by the roll-to-roll total solution slit coating method is increased to 5.23% (the area of a single device is ~15 cm2). Therefore, using thein situsynchrotron-based glove box device, the microstructure evolution and the associated device preparation conditions of perovskite and organic semiconductor thin films can be controlled, and the thin film growth interface characteristics and film quality can be further controlled, which is the key technology to control the optimization process conditions of semiconductor thin films and devices.
Solution method is an important means of fabricating optoelectronic devices. During the thin film sample preparation, organic or inorganic perovskite semiconductor material usually needs to be finished in a glove box. However, most of the traditional experimental characterizations under the air environment, it is hard to reflect the reality of the structure and performance between film and device, therefore it is urgently needed to solve the microstructure evolutions of these semiconductor films based onin situreal-time representation technique. In this work, we report a synchrotron-based grazing incidence wide and small-angle scattering (GIWAXS and GISAXS)in situreal-time observation technique combined with a mini glove box, thereby realizing the standard glove box environment (H2O, O2content all reached below 1×10–6) under remote control film spin coating or slot-die preparation and various sample post-processing. Meanwhile, this technique can real-time monitor the microstructure and morphology evolution of semiconductor film during fabrication. Based on thein situdevice and GIWAXS, SnO2ETL interface induced perovskite growth crystallization process shows that CQDs additive can result in three-dimensional perovskite, with the random orientation growth changing into highly ordered vertical orientation, meanwhile can effectively restrain the low-dimensional perovskite domain formation, helping to reveal the film microstructure transformation of inner driving force and providing the perovskite device preparation process optimized with experimental and theoretical basis. The conversion efficiency of large-area fully flexible three-dimensional perovskite thin film solar cells prepared by the roll-to-roll total solution slit coating method is increased to 5.23% (the area of a single device is ~15 cm2). Therefore, using thein situsynchrotron-based glove box device, the microstructure evolution and the associated device preparation conditions of perovskite and organic semiconductor thin films can be controlled, and the thin film growth interface characteristics and film quality can be further controlled, which is the key technology to control the optimization process conditions of semiconductor thin films and devices.
2024, 73(6): 063401.
doi:10.7498/aps.73.20231241
Abstract:
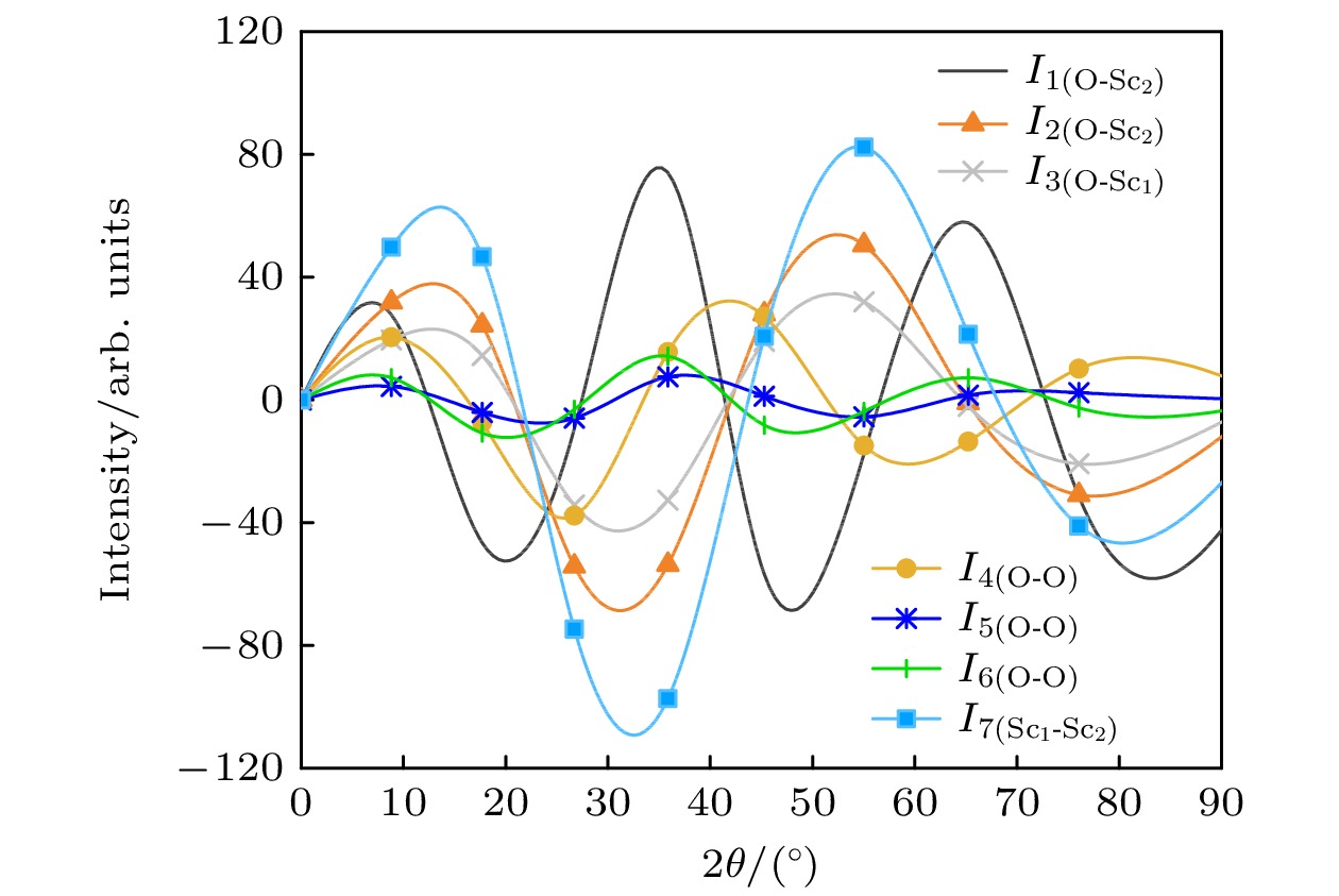
Atoms in crystals will generate thermal diffuse scattering during thermal vibration. Thermal diffuse scattering analysis has great potential applications in condensed matter physics and material science research. Scandium oxide (Sc2O3) has unique physical and chemical properties, which make it have high research and application value. In this work, X-ray diffraction experiment is performed on Sc2O3at room temperature of 26 ℃. The thermal diffuse scattering intensity exhibits a clear vibrational shape. The full diffraction back-based intensity equation of Sc2O3is expanded, and the theoretical value of the thermal diffuse scattering intensity is calculated until the full diffraction back-based intensity spectrum of the 14th nearest atom (r= 0.3816 nm) is calculated. By fitting the theoretical value to the experimental value, we can see the inter-atomic thermal vibration correlation effectμvalues corresponding to the nearest neighbor atom to the 7th nearest neighbor atom, the values of distancerfrom the nearest neighbor atom to the 7th nearest neighbor atom are 0.2067, 0.2148, 0.2161, 0.2671, 0.2945, 0.3229 and 0.3265nm, respectively, corresponding to their inter-atomic thermal vibration correlation effectμvalues of 0.64, 0.63, 0.62, 0.61, 0.60, 0.58 and 0.57. Research result shows that the intensity of thermal diffuse scattering in Sc2O3is closely related to the atomic thermal vibration, the most significant influence on the vibration shape of thermal diffuse scattering intensity is the thermal vibration correlation effect between the 7th nearest atom Sc1-Sc2. Inter-atomic thermal vibration correlation effectμvalues will provide important parameters for studying the mechanical and thermal properties of materials, laying the foundation for the next-step calculating specific heat and interatomic force constant, and thus playing a crucial role in the use and development of materials.
Atoms in crystals will generate thermal diffuse scattering during thermal vibration. Thermal diffuse scattering analysis has great potential applications in condensed matter physics and material science research. Scandium oxide (Sc2O3) has unique physical and chemical properties, which make it have high research and application value. In this work, X-ray diffraction experiment is performed on Sc2O3at room temperature of 26 ℃. The thermal diffuse scattering intensity exhibits a clear vibrational shape. The full diffraction back-based intensity equation of Sc2O3is expanded, and the theoretical value of the thermal diffuse scattering intensity is calculated until the full diffraction back-based intensity spectrum of the 14th nearest atom (r= 0.3816 nm) is calculated. By fitting the theoretical value to the experimental value, we can see the inter-atomic thermal vibration correlation effectμvalues corresponding to the nearest neighbor atom to the 7th nearest neighbor atom, the values of distancerfrom the nearest neighbor atom to the 7th nearest neighbor atom are 0.2067, 0.2148, 0.2161, 0.2671, 0.2945, 0.3229 and 0.3265nm, respectively, corresponding to their inter-atomic thermal vibration correlation effectμvalues of 0.64, 0.63, 0.62, 0.61, 0.60, 0.58 and 0.57. Research result shows that the intensity of thermal diffuse scattering in Sc2O3is closely related to the atomic thermal vibration, the most significant influence on the vibration shape of thermal diffuse scattering intensity is the thermal vibration correlation effect between the 7th nearest atom Sc1-Sc2. Inter-atomic thermal vibration correlation effectμvalues will provide important parameters for studying the mechanical and thermal properties of materials, laying the foundation for the next-step calculating specific heat and interatomic force constant, and thus playing a crucial role in the use and development of materials.
2024, 73(6): 064202.
doi:10.7498/aps.73.20231657
Abstract:
Infrared imaging chips are crucial for a broad range of military, medicine and biology applications. Although silicon detectors’ on-chip integration technology is matured, their low absorption in near-infrared light results in poor infrared photocurrent response. To increase the photodetector absorption efficiency, antenna-like metal nanoparticles have been widely adopted due to their plasmon resonance effects. Oligomer nanoparticles, including quaternary nanoparticles, exhibit plasmon resonance effects that localize and enhance the light field in a sub-wavelength range. Furthermore, they can interfere with each other to achieve Fano resonance and bound state in continuity, resulting in a stronger localization and enhancement of the electromagnetic field. In this study an array of gold quaternary nanoparticle oligomers is used as the antenna for a graphene/SOI (with 1 μm silicon) heterojunction near-infrared detector. Each oligomer consists of four gold squares, each with a size of 250 nm, forming two pairs of dipoles similar to the orbital hybridization of hydrogen atoms. This thus results in a multi-body coupling structure with bonding state and anti-bonding state. The antenna array parameters, such as the periodic constant, gap between nanoparticles, and angle (θ) between the oligomers, are meticulously adjusted. The optimized device is characterized by using photocurrent and photocurrent mapping, achieving a 2-fold enhancement in photoresponsivity with the maximum value atθ~ 40°. Notably, a consistent dip in photocurrents is observed for different periods or gap arrays when the angle theta is 20°. The simulation is conducted by using finite-difference time-domain (FDTD), revealing the emergence of Fano-like resonance in the transmittance spectra of the array at approximately 850 nm. The interference caused by the strongly coupling system to the plane coupled leakage field and the nanoparticle plasmon mode results in the formation of a new discrete leakage mode, i.e. the Fano-like resonance. The antenna helps to concentrate and emit the light field energy directionally to the detector, while there is a trade-off between the loss caused by nanoparticles absorption and the leakage energy. The photocurrent reaches a minimal point at a theta angle of 20° angle. At this point, the energy is localized in the oligomers, and the metal absorption loss weakens the plasmon enhancement effect. These findings are further supported by the simulation results of electric field and Poynting vector distribution. These findings indicate an important and promising way to enhance the photo detection efficiency via nanostructured plasmonic antenna.
Infrared imaging chips are crucial for a broad range of military, medicine and biology applications. Although silicon detectors’ on-chip integration technology is matured, their low absorption in near-infrared light results in poor infrared photocurrent response. To increase the photodetector absorption efficiency, antenna-like metal nanoparticles have been widely adopted due to their plasmon resonance effects. Oligomer nanoparticles, including quaternary nanoparticles, exhibit plasmon resonance effects that localize and enhance the light field in a sub-wavelength range. Furthermore, they can interfere with each other to achieve Fano resonance and bound state in continuity, resulting in a stronger localization and enhancement of the electromagnetic field. In this study an array of gold quaternary nanoparticle oligomers is used as the antenna for a graphene/SOI (with 1 μm silicon) heterojunction near-infrared detector. Each oligomer consists of four gold squares, each with a size of 250 nm, forming two pairs of dipoles similar to the orbital hybridization of hydrogen atoms. This thus results in a multi-body coupling structure with bonding state and anti-bonding state. The antenna array parameters, such as the periodic constant, gap between nanoparticles, and angle (θ) between the oligomers, are meticulously adjusted. The optimized device is characterized by using photocurrent and photocurrent mapping, achieving a 2-fold enhancement in photoresponsivity with the maximum value atθ~ 40°. Notably, a consistent dip in photocurrents is observed for different periods or gap arrays when the angle theta is 20°. The simulation is conducted by using finite-difference time-domain (FDTD), revealing the emergence of Fano-like resonance in the transmittance spectra of the array at approximately 850 nm. The interference caused by the strongly coupling system to the plane coupled leakage field and the nanoparticle plasmon mode results in the formation of a new discrete leakage mode, i.e. the Fano-like resonance. The antenna helps to concentrate and emit the light field energy directionally to the detector, while there is a trade-off between the loss caused by nanoparticles absorption and the leakage energy. The photocurrent reaches a minimal point at a theta angle of 20° angle. At this point, the energy is localized in the oligomers, and the metal absorption loss weakens the plasmon enhancement effect. These findings are further supported by the simulation results of electric field and Poynting vector distribution. These findings indicate an important and promising way to enhance the photo detection efficiency via nanostructured plasmonic antenna.
2024, 73(6): 064203.
doi:10.7498/aps.73.20231761
Abstract:
With the wide applications of high-resolution imaging technology in topographic mapping, astronomical observation, and military reconnaissance and other fields, the requirements for imaging resolution of optical system are becoming higher and higher . According to the diffraction limit and Rayleigh criterion, the imaging resolution of the optical system is proportional to the size of the aperture of the system, but affected by the material and the processing of the optical component: the single aperture of the optical system cannot be infinitely enlarged. Therefore the synthetic aperture technology is proposed to replace the single large aperture optical system. Owing to the effect of sub-aperture arrangement and light scattering, the imaging of synthetic aperture optical system will be degraded because of insufficient light area and phase distortion. The traditional imaging restoration algorithm of synthetic aperture optical system is sensitive to noise, overly relies on degraded model, requires a lot of manually designed models, and has poor adaptability. To solve this problem, a multi-scale feature enhancement method of restoring the synthetic aperture optical image is proposed in this work. U-Net is used to obtain multi-scale feature, and self-attention in mixed domain is used to improve the ability of of the network to extract the features in space and channel. Multi-scale feature fusion module and feature enhancement module are constructed to fuse the information between features on different scales. The information interaction mode of the codec layer is optimized, the attention of the whole network to the real structure of the original image is enhanced, and the artifact interference caused by ringing is avoided in the process of restoration. The final experimental results are 1.51%, 4.42% and 5.22% higher than those from the advanced deep learning algorithms in the evaluation indexes of peak signal-to-noise ratio, structural similarity and perceived similarity, respectively. In addition, the method presented in this work has a good restoration effect on the degraded images to different degrees of synthetic aperture, and can effectively restore the degraded images and the images with abnormal light, so as to solve the problem of imaging degradation of synthetic aperture optical system. The feasibility of deep learning method in synthetic aperture optical image restoration is proved.
With the wide applications of high-resolution imaging technology in topographic mapping, astronomical observation, and military reconnaissance and other fields, the requirements for imaging resolution of optical system are becoming higher and higher . According to the diffraction limit and Rayleigh criterion, the imaging resolution of the optical system is proportional to the size of the aperture of the system, but affected by the material and the processing of the optical component: the single aperture of the optical system cannot be infinitely enlarged. Therefore the synthetic aperture technology is proposed to replace the single large aperture optical system. Owing to the effect of sub-aperture arrangement and light scattering, the imaging of synthetic aperture optical system will be degraded because of insufficient light area and phase distortion. The traditional imaging restoration algorithm of synthetic aperture optical system is sensitive to noise, overly relies on degraded model, requires a lot of manually designed models, and has poor adaptability. To solve this problem, a multi-scale feature enhancement method of restoring the synthetic aperture optical image is proposed in this work. U-Net is used to obtain multi-scale feature, and self-attention in mixed domain is used to improve the ability of of the network to extract the features in space and channel. Multi-scale feature fusion module and feature enhancement module are constructed to fuse the information between features on different scales. The information interaction mode of the codec layer is optimized, the attention of the whole network to the real structure of the original image is enhanced, and the artifact interference caused by ringing is avoided in the process of restoration. The final experimental results are 1.51%, 4.42% and 5.22% higher than those from the advanced deep learning algorithms in the evaluation indexes of peak signal-to-noise ratio, structural similarity and perceived similarity, respectively. In addition, the method presented in this work has a good restoration effect on the degraded images to different degrees of synthetic aperture, and can effectively restore the degraded images and the images with abnormal light, so as to solve the problem of imaging degradation of synthetic aperture optical system. The feasibility of deep learning method in synthetic aperture optical image restoration is proved.
2024, 73(6): 064301.
doi:10.7498/aps.73.20231706
Abstract:
With the development of metamaterials, the acoustic cloaking has attracted extensive attention due to its novel physics and potential applications. In recent years, based on the phase compensation modulation from Generalized Snell’s law and coordinate transformation, the acoustic cloakings in underwater and air have been widely and deeply studied. However, there is still an urgent need to design acoustic cloaks that are thinner and less affected by the incident angle of acoustic waves. Further, the designed cloaks should have a wider operating band and be more suitable for irregular objects.
In this paper, an ultrathin curved acoustic metasurface carpet cloaking is studied by using of phase compensation modulation. The phase modulation is based on Helmholtz resonance (HR). The metasurface carpet is immersed in air, since the vibration mode of acoustic wave in the air is relatively single, thus the physical essence can be elucidated more clearly. The carpet cloak is composed of 52 Helmholtz resonant units, and the size of resonant unit is less than 0.2 of working wavelength.
The phase change of HR unit is solved analytically by using the Generalized Snell’s law, and confirmed by the Multiphysics COMSOL software. The parameter effects of HR unit on the phase change are studied, demonstrating that the phase change of HR unit is sensitive to the change of height and radius of HR unit, while the change of width of HR cavity neck can make the phase of HR unit change smoothly. Therefore, when building 52 HR units, the width of the HR cavity neck is designed, and the height and radius of HR unit stay fixed.
The simulating results demonstrate that the designed cloak works well in a frequency range from 5850 Hz to 7550 Hz. Also, we study the cloaking effect for oblique incidence, and the results show that the carpet cloak works well for incident angle less than 30°. To quantitatively analyze the bandwidth of the cloaking, we calculate the cosine similarity value. It elucidates that the value of the cloak is very close to that of the flat ground in a corresponding working frequency range. The cloak designed in this work is made of ultrathin Helmholtz Resonant structures. This cloak is simple and easy to realize and conducive to potential applications.
2024, 73(6): 064701.
doi:10.7498/aps.73.20231685
Abstract:
Peristalsis is an important dynamic phenomenon in the field of biomedical research, and has great application prospects in microscale fluids. In recent years, this biomimetic (peristaltic) phenomenon has gained widespread attention due to its large-scale applications in various medical and industrial fields, such as radiation therapy, peristaltic blood pumps, and drug delivery systems. In this study, the electroosmotic flow and heat transfer characteristics are investigated under high wall Zeta potential and slip boundary conditions for a certain type of biological fluid that satisfies the Newtonian fluid model. Fluid flows under the joint action of external electric field, magnetic field, and Joule heating. Firstly, without using the Debye-Hückel linear approximation, the numerical solutions are given by using the Chebyshev spectral method for the nonlinear Poisson-Boltzmann equation, the fourth-order differential equation satisfied by the stream function, and the thermal energy equation. The results are compared with those obtained by using the Debye-Hückel linear approximation to demonstrate the effectiveness of the numerical method used in this study. Secondly, the effects of wall Zeta potential, Hartmann number
\begin{document}$H$\end{document}
, electroosmotic parameter
\begin{document}$m$\end{document}
, slip parameter
\begin{document}$\beta $\end{document}
are discussed on the flow characteristics, peristaltic pumping, and trapping phenomena under electromagnetic environments, and the influence of Joule heating parameter
\begin{document}$\gamma $\end{document}
and Brinkman number
\begin{document}$Br$\end{document}
is explored on heat transfer characteristics. The results show that 1) wall Zeta potential plays an important role in controlling the velocity of fluid peristaltic flow; 2) the increase of electroosmotic parameter
\begin{document}$m$\end{document}
and slip parameter
\begin{document}$\beta $\end{document}
increases the flow velocity in the central region of the channel, while the increase of Hartmann number
\begin{document}$H$\end{document}
hinders the flow of fluid; 3) these flow behaviors exhibit opposite trends near the channel walls; 4) the number of streamlines captured by peristaltic transport decreases with Hartmann number
\begin{document}$H$\end{document}
and electroosmotic parameter
\begin{document}$m$\end{document}
increasing; 5) the increase of Joule heating parameter
\begin{document}$\gamma $\end{document}
and Brinkman number
\begin{document}$Br$\end{document}
leads temperature to rise.
Peristalsis is an important dynamic phenomenon in the field of biomedical research, and has great application prospects in microscale fluids. In recent years, this biomimetic (peristaltic) phenomenon has gained widespread attention due to its large-scale applications in various medical and industrial fields, such as radiation therapy, peristaltic blood pumps, and drug delivery systems. In this study, the electroosmotic flow and heat transfer characteristics are investigated under high wall Zeta potential and slip boundary conditions for a certain type of biological fluid that satisfies the Newtonian fluid model. Fluid flows under the joint action of external electric field, magnetic field, and Joule heating. Firstly, without using the Debye-Hückel linear approximation, the numerical solutions are given by using the Chebyshev spectral method for the nonlinear Poisson-Boltzmann equation, the fourth-order differential equation satisfied by the stream function, and the thermal energy equation. The results are compared with those obtained by using the Debye-Hückel linear approximation to demonstrate the effectiveness of the numerical method used in this study. Secondly, the effects of wall Zeta potential, Hartmann number
2024, 73(6): 065201.
doi:10.7498/aps.73.20231724
Abstract:
In addition to requiring the accuracy and computational efficiency for solving low-frequency subsurface sensing problem on the airborne transient electromagnetics (ATEMs), to the best of our knowledge, the complexity of subsurface sensing problems should also be considered in order to reduce more and more computational resources, particularly for a large-scale complicated multis-cale problem with a difference between background and targets. For simulating the open-domain, the finite-thickness perfectly matched layer is used to truncate the computational region, while the whole domain becomes larger so that the problem turns more complex. As a result, we propose a novel perfectly matched monolayer (PMM) model based on the extreme gradient boosting (XGB), which is selected and added to further improve the performance during the finite-difference time-domain (FDTD) simulation. The proposed XGB-based PMM model can achieve higher accuracy by using the ensemble learning method of feature attention, and has less memory and time consumption at the same time. Besides, this model has significant advantages in terms of model training stability and its lightweight due to the fact that it relies on the characteristics of traditional machine learning models. Finally, three-dimensional numerical simulations of ATEM problems are carried out to prove the validity and stability of the proposal. The proposed model can not only achieve advantages in numerical accuracy, efficiency and problem complexity, but also be integrated into the FDTD solver to deal with the low-frequency ATEM problems.
In addition to requiring the accuracy and computational efficiency for solving low-frequency subsurface sensing problem on the airborne transient electromagnetics (ATEMs), to the best of our knowledge, the complexity of subsurface sensing problems should also be considered in order to reduce more and more computational resources, particularly for a large-scale complicated multis-cale problem with a difference between background and targets. For simulating the open-domain, the finite-thickness perfectly matched layer is used to truncate the computational region, while the whole domain becomes larger so that the problem turns more complex. As a result, we propose a novel perfectly matched monolayer (PMM) model based on the extreme gradient boosting (XGB), which is selected and added to further improve the performance during the finite-difference time-domain (FDTD) simulation. The proposed XGB-based PMM model can achieve higher accuracy by using the ensemble learning method of feature attention, and has less memory and time consumption at the same time. Besides, this model has significant advantages in terms of model training stability and its lightweight due to the fact that it relies on the characteristics of traditional machine learning models. Finally, three-dimensional numerical simulations of ATEM problems are carried out to prove the validity and stability of the proposal. The proposed model can not only achieve advantages in numerical accuracy, efficiency and problem complexity, but also be integrated into the FDTD solver to deal with the low-frequency ATEM problems.
2024, 73(6): 065202.
doi:10.7498/aps.73.20231543
Abstract:
Tokamak is considered as the most promising experimental setup for achieving controllable nuclear fusion requirements. The parameter
\begin{document}$\beta_{\rm{N}}$\end{document}
is an important parameter for tokamak devices: high
\begin{document}$\beta_{\rm{N}}$\end{document}
benefits not only to plasma fusion but also to the enhancement of fusion reaction efficiency and the facilitation of steady-state operation. The HL-2A tokamak device has achieved stable plasma with
\begin{document}$\beta_{\rm{N}}$\end{document}
exceeding than 2.5 through neutral beam injection heating, and transiently reached
\begin{document}$\beta_{\rm{N}}$\end{document}
= 3.05, with a normalized density (
\begin{document}$n_{\rm{e,l}}/n_{\rm{e,G}}$\end{document}
) of about 0.6, stored energy (
\begin{document}$W_{\rm{E}}$\end{document}
) of around 46 kJ, and confinement improvement factor (
\begin{document}$H_{98}$\end{document}
) of about 1.65. In this work, the integrated simulation platform OMFIT is used to analyze the plasma at
\begin{document}$\beta_{\rm{N}}$\end{document}
= 2.83 and
\begin{document}$\beta_{\rm{N}}$\end{document}
= 3.05, and the obtained
\begin{document}$W_ {\rm{E}}$\end{document}
,
\begin{document}$n_{\rm{e,l}}/n_{\rm{e,G}}$\end{document}
,
\begin{document}$H_{98}$\end{document}
,
\begin{document}$\beta_{\rm{N}}$\end{document}
, etc. are consistent with the experimental parameters. The bootstrap current (
\begin{document}$f_{\rm{BS}}$\end{document}
) can reach to
\begin{document}$45{\text{%}}$\end{document}
and
\begin{document}$46{\text{%}}$\end{document}
. At both of the above moments, there are ion temperature double transport barrier (DTB) generated by the coexistence of internal transport barrier (ITB) and edge transport barrier (ETB), while high
\begin{document}$\beta_{\rm{N}}$\end{document}
is usually related to DTB. In addition, the formation of ion temperature ITB in the HL-2A device is further analyzed, which is attributed to the dominance of turbulent transport in plasma transport, the suppression of turbulent transport in the core by fast ions and
\begin{document}${\boldsymbol E}\times{\boldsymbol B}$\end{document}
shear, and the resulting improvement in confinement, thereby ultimately leading to the formation of ion temperature ITB. The ITB of ion temperature and the ETB of H-mode synergistically contribute to the creation of high
\begin{document}$\beta_{\rm{N}}$\end{document}
plasma.
Tokamak is considered as the most promising experimental setup for achieving controllable nuclear fusion requirements. The parameter
2024, 73(6): 065203.
doi:10.7498/aps.73.20231697
Abstract:
The EAST limiter probe is installed on the front surface of guard limiter, which consists of two columns and can operate in floating potential mode, ion saturation current mode, and swept single-probe mode simultaneously. When Langmuir probe operates in the ion saturation current mode, it requires a stable biasing voltage. To meet this requirement, a large capacitor is used to provide a biasing voltage for the probe. Comparing with the 9 V dry batteries that are commonly used in magnetic confinement fusion devices, employing a large capacitor offers advantages such as flexible voltage adjustment, easy maintenance, and environmental friendliness. Therefore, we have designed and tested a complete set of supercapacitor charge-discharge control circuitry. In this work, a control software is developed for the supercapacitor charge-discharge control circuitry based on the Python language to enable the remote and automatic controlling of the circuitry operation. As demonstrated in experiments, the capacitor charge-discharge control circuitry can supply stable biasing voltage output for the probe under long-pulse discharge, and it is workable in complex electromagnetic environment of magnetic confinement fusion device. By implementing the supercapacitor charge-discharge control circuitry in EAST limiter probe diagnostics, the three-dimensional distributions of plasma parameters are measured, such as ion saturation current, floating potential, electron temperature, and plasma density. In a lower hybrid wave (LHW) heating experiment, the 2.45 GHz LHW is found to generate larger electron density than the 4.6 GHz LHW, and the largest electron density appears when both the 2.45 GHz and 4.6 GHz LHWs are turned on simultaneously. These experimental results confirm that supercapacitor charge-discharge control circuitry can be operated reliably and stably.
The EAST limiter probe is installed on the front surface of guard limiter, which consists of two columns and can operate in floating potential mode, ion saturation current mode, and swept single-probe mode simultaneously. When Langmuir probe operates in the ion saturation current mode, it requires a stable biasing voltage. To meet this requirement, a large capacitor is used to provide a biasing voltage for the probe. Comparing with the 9 V dry batteries that are commonly used in magnetic confinement fusion devices, employing a large capacitor offers advantages such as flexible voltage adjustment, easy maintenance, and environmental friendliness. Therefore, we have designed and tested a complete set of supercapacitor charge-discharge control circuitry. In this work, a control software is developed for the supercapacitor charge-discharge control circuitry based on the Python language to enable the remote and automatic controlling of the circuitry operation. As demonstrated in experiments, the capacitor charge-discharge control circuitry can supply stable biasing voltage output for the probe under long-pulse discharge, and it is workable in complex electromagnetic environment of magnetic confinement fusion device. By implementing the supercapacitor charge-discharge control circuitry in EAST limiter probe diagnostics, the three-dimensional distributions of plasma parameters are measured, such as ion saturation current, floating potential, electron temperature, and plasma density. In a lower hybrid wave (LHW) heating experiment, the 2.45 GHz LHW is found to generate larger electron density than the 4.6 GHz LHW, and the largest electron density appears when both the 2.45 GHz and 4.6 GHz LHWs are turned on simultaneously. These experimental results confirm that supercapacitor charge-discharge control circuitry can be operated reliably and stably.
2024, 73(6): 066101.
doi:10.7498/aps.73.20231763
Abstract:
Nematic liquid crystal materials designed for optics, microwave communication tuning, etc. need high response speed, which is related to the rotational viscosity and the birefringent index of the liquid crystal. In order to achieve a wide tuning range of phase modulation, the nematic liquid crystals often employ large π-electron conjugated systems and large polar groups to enhance the birefringence and dielectric anisotropy of the liquid crystal molecule, which, however, increases the viscosity of the liquid crystal material, deteriorating the response speed of the microwave device. Herein, we explore the viscosity of the nematic liquid crystal from the perspective of liquid crystal compound structure by testing the viscosity of our designed and synthesized forty-two different nematic liquid crystals by using a rotating rheometer at 25 ℃. To the best of our knowledge, the BPNN-QSAR quantitative structure-activity model between nematic liquid crystal molecular structure and viscosity is established for the first time. The correlation coefficient between the predicted value and the experimental value isq2= 0.607 > 0.5, indicating that the model can be used to predict the viscosity performances of liquid crystal compounds. Besides, the molecular structure descriptors affecting the viscosity properties are explored. Based on the practical application and this model, seven liquid crystal molecules of two series with large birefringent index are designed and tested. The viscosity predicted by the BPNN model is smaller than that of the molecules of the same type and matches with the measured viscosity.
Nematic liquid crystal materials designed for optics, microwave communication tuning, etc. need high response speed, which is related to the rotational viscosity and the birefringent index of the liquid crystal. In order to achieve a wide tuning range of phase modulation, the nematic liquid crystals often employ large π-electron conjugated systems and large polar groups to enhance the birefringence and dielectric anisotropy of the liquid crystal molecule, which, however, increases the viscosity of the liquid crystal material, deteriorating the response speed of the microwave device. Herein, we explore the viscosity of the nematic liquid crystal from the perspective of liquid crystal compound structure by testing the viscosity of our designed and synthesized forty-two different nematic liquid crystals by using a rotating rheometer at 25 ℃. To the best of our knowledge, the BPNN-QSAR quantitative structure-activity model between nematic liquid crystal molecular structure and viscosity is established for the first time. The correlation coefficient between the predicted value and the experimental value isq2= 0.607 > 0.5, indicating that the model can be used to predict the viscosity performances of liquid crystal compounds. Besides, the molecular structure descriptors affecting the viscosity properties are explored. Based on the practical application and this model, seven liquid crystal molecules of two series with large birefringent index are designed and tested. The viscosity predicted by the BPNN model is smaller than that of the molecules of the same type and matches with the measured viscosity.
2024, 73(6): 066102.
doi:10.7498/aps.73.20231773
Abstract:
In order to predict the release behavior of fission gas in large grain UO2fuel and provide support for the development of accident tolerant fuel, a phase-field model is used to simulate the release behavior of fission gas in the microstructure of UO2polycrystalline in this work. This model adopts a set of coupled Cahn-Hilliard equations and Allen-Cahn equations, using conserved field variables to represent the distribution of fission gas and vacancies, and distinguishing bubble phase from matrix phase by using order parameters. This model focuses on investigating the effects of different grain sizes, temperature conditions, and diffusion coefficients on the release behavior of fission gas, demonstrating the nucleation, growth, and fusion behavior of bubbles. Simulation results are obtained for fuel porosity, bubble coverage on grain boundaries, and average bubble radius at a certain degree of burnup. The results show that temperature and diffusion coefficient have a significant influence on porosity and bubble coverage on grain boundaries. When the diffusion coefficient is high, grain size also has a significant influence on fission gas release behavior. And when the diffusion coefficient is low, the influence of grain size is not significant. In addition, the distribution of fission gas bubbles under high burnup obtained through this model is also in good agreement with experimental result. The model can predict the behavior of fission gas release in large grain UO2fuel.
In order to predict the release behavior of fission gas in large grain UO2fuel and provide support for the development of accident tolerant fuel, a phase-field model is used to simulate the release behavior of fission gas in the microstructure of UO2polycrystalline in this work. This model adopts a set of coupled Cahn-Hilliard equations and Allen-Cahn equations, using conserved field variables to represent the distribution of fission gas and vacancies, and distinguishing bubble phase from matrix phase by using order parameters. This model focuses on investigating the effects of different grain sizes, temperature conditions, and diffusion coefficients on the release behavior of fission gas, demonstrating the nucleation, growth, and fusion behavior of bubbles. Simulation results are obtained for fuel porosity, bubble coverage on grain boundaries, and average bubble radius at a certain degree of burnup. The results show that temperature and diffusion coefficient have a significant influence on porosity and bubble coverage on grain boundaries. When the diffusion coefficient is high, grain size also has a significant influence on fission gas release behavior. And when the diffusion coefficient is low, the influence of grain size is not significant. In addition, the distribution of fission gas bubbles under high burnup obtained through this model is also in good agreement with experimental result. The model can predict the behavior of fission gas release in large grain UO2fuel.
2024, 73(6): 066103.
doi:10.7498/aps.73.20231564
Abstract:
With the development of nanoscale circuit technology, the on-track error rate of digital circuit and the effect of single event upset have become more pronounced. The radiation resistance research on DICE SRAM or DICE flip-flop device has been carried out extensively, including 65 nm, 90 nm, and 130 nm. However, the research on 55 nm DICE latch has not been reported. Using a three-dimensional device model of the 55 nm bulk silicon process established by the simulation tool TCAD, we verify the reinforcement performance of the DICE circuit, and clarify the effects of different incident conditions on DICE circuits. At the same time, we carry out a comparison of anti-SEU performance between NMOS transistor and PMOS transistor in the 55 nm process through comparative simulation experiments and quantitative analysis. The result shows that one of the important factors is the LET value which affects the generation rate of electron-hole pairs. A higher LET value will extend the upset recovery time of device and increase the peak of voltage. In addition, the difference in charge-sharing mechanism between transistors leads to the recovery time of PMOS higher than that of NMOS. As the angle of incidence increases, the charge-sharing mechanism between adjacent devices is enhanced, and electron-hole pairs ionized in sensitive regions increase. Due to the difference in charge mobility, the sensitivity of the angle of incidence of Nhit in DICE is much greater than that of Phit. Therefore, strict tilt angle incident test evaluation is required for DICE device before practical application. Finally, the large distance between adjacent MOS tubes will weaken the charge-sharing mechanism and reduce the charge collection of adjacent MOS tubes. Simulation result shows that the distance between the MOS transistors in the 55 nm process cannot be less than 1.2 μm. The relevant simulation results can provide a theoretical basis and data for supporting the study of the physical mechanism of SEU and reinforcement technology, thereby promoting the application of memory devices to the aerospace field.
With the development of nanoscale circuit technology, the on-track error rate of digital circuit and the effect of single event upset have become more pronounced. The radiation resistance research on DICE SRAM or DICE flip-flop device has been carried out extensively, including 65 nm, 90 nm, and 130 nm. However, the research on 55 nm DICE latch has not been reported. Using a three-dimensional device model of the 55 nm bulk silicon process established by the simulation tool TCAD, we verify the reinforcement performance of the DICE circuit, and clarify the effects of different incident conditions on DICE circuits. At the same time, we carry out a comparison of anti-SEU performance between NMOS transistor and PMOS transistor in the 55 nm process through comparative simulation experiments and quantitative analysis. The result shows that one of the important factors is the LET value which affects the generation rate of electron-hole pairs. A higher LET value will extend the upset recovery time of device and increase the peak of voltage. In addition, the difference in charge-sharing mechanism between transistors leads to the recovery time of PMOS higher than that of NMOS. As the angle of incidence increases, the charge-sharing mechanism between adjacent devices is enhanced, and electron-hole pairs ionized in sensitive regions increase. Due to the difference in charge mobility, the sensitivity of the angle of incidence of Nhit in DICE is much greater than that of Phit. Therefore, strict tilt angle incident test evaluation is required for DICE device before practical application. Finally, the large distance between adjacent MOS tubes will weaken the charge-sharing mechanism and reduce the charge collection of adjacent MOS tubes. Simulation result shows that the distance between the MOS transistors in the 55 nm process cannot be less than 1.2 μm. The relevant simulation results can provide a theoretical basis and data for supporting the study of the physical mechanism of SEU and reinforcement technology, thereby promoting the application of memory devices to the aerospace field.
2024, 73(6): 066601.
doi:10.7498/aps.73.20231459
Abstract:
Volume viscosity is one of the most important and fundamental parameters in hydrodynamics. It measures the momentum loss caused by a volume deformation rather than shape deformation. So it is closely related to numerous phenomena in fluid dynamics. However, most of the existing related researches focus on the bulk fluids, but there is still a lack of in-depth understanding of the bulk viscosity of inhomogeneous fluids. In this work, a novel theoretical method is proposed for the inhomogeneous volume viscosity in the framework of Maxwell viscoelastic theory. In this proposal, the local relaxation time is calculated by using the viscous and elastic properties of the bulk fluids. Accordingly, the inhomogeneous volume viscosity can be obtained by combining the calculations of the local relaxation time and the local relaxation modulus. It is advantageous in the theoretical sense over the conventional LADM, because it takes into account the underlying correlation much better. On the one hand, the local infinite-frequency modulus is more accurate. On the other hand, by using an appropriate weight function to calculate the weight, the correlation effect can be better considered . As an application, the volume viscosity of the confined Lennard-Jones fluid in slit pore is investigated, and the influences of bulk density, temperature, pore width and adsorption strength are calculated and analyzed. The results indicate that these factors can significantly modulate the volume viscosity of the confined fluid. Specifically, the positive correlation between the volume viscosity and the local density leads to the oscillation of viscosity profile in the pore. Besides, the occurrence of capillary condensation in the cases of lower density and lower temperature makes the inhomogeneous viscosity rather different from that of bulk gaseous phase. Further, this study shows that the inhomogeneous volume viscosity usually increases with temperature decreasing, or with adsorption strength increasing. This is again the result of its dependence on the fluid structure in the pore. Furthermore, the influence of pore width on the inhomogeneous volume viscosity indicates that the excluded volume plays a decisive role. This can be attributed to the fact that it exerts a direct influence on the deformation of the fluid. Moreover, comparison between the volume and shear viscosity is also conducted and analyzed. In general, this study can be beneficial to deepening the understanding of volume viscosity in the confined fluids, and can provide reliable theoretical support for studying related issues in hydrodynamics.
Volume viscosity is one of the most important and fundamental parameters in hydrodynamics. It measures the momentum loss caused by a volume deformation rather than shape deformation. So it is closely related to numerous phenomena in fluid dynamics. However, most of the existing related researches focus on the bulk fluids, but there is still a lack of in-depth understanding of the bulk viscosity of inhomogeneous fluids. In this work, a novel theoretical method is proposed for the inhomogeneous volume viscosity in the framework of Maxwell viscoelastic theory. In this proposal, the local relaxation time is calculated by using the viscous and elastic properties of the bulk fluids. Accordingly, the inhomogeneous volume viscosity can be obtained by combining the calculations of the local relaxation time and the local relaxation modulus. It is advantageous in the theoretical sense over the conventional LADM, because it takes into account the underlying correlation much better. On the one hand, the local infinite-frequency modulus is more accurate. On the other hand, by using an appropriate weight function to calculate the weight, the correlation effect can be better considered . As an application, the volume viscosity of the confined Lennard-Jones fluid in slit pore is investigated, and the influences of bulk density, temperature, pore width and adsorption strength are calculated and analyzed. The results indicate that these factors can significantly modulate the volume viscosity of the confined fluid. Specifically, the positive correlation between the volume viscosity and the local density leads to the oscillation of viscosity profile in the pore. Besides, the occurrence of capillary condensation in the cases of lower density and lower temperature makes the inhomogeneous viscosity rather different from that of bulk gaseous phase. Further, this study shows that the inhomogeneous volume viscosity usually increases with temperature decreasing, or with adsorption strength increasing. This is again the result of its dependence on the fluid structure in the pore. Furthermore, the influence of pore width on the inhomogeneous volume viscosity indicates that the excluded volume plays a decisive role. This can be attributed to the fact that it exerts a direct influence on the deformation of the fluid. Moreover, comparison between the volume and shear viscosity is also conducted and analyzed. In general, this study can be beneficial to deepening the understanding of volume viscosity in the confined fluids, and can provide reliable theoretical support for studying related issues in hydrodynamics.
2024, 73(6): 066701.
doi:10.7498/aps.73.20231689
Abstract:
In cold atom experiments, high resolution imaging systems have been used to extractin-situdensity information when studying quantum gases, which is one of the hot topics in this field. Such a system is usually called “quantum-gas microscope”. In order to achieve a long working distance and large magnification, high resolution imaging of cold atoms through a vacuum window usually requires a long distance between the atoms and the camera. However, due to space limitation caused by a large number of nearby optical elements, it may be difficult to realize a long imaging system, which is a common case in cold atom experiments. Herein we present an imaging system that can achieve a short distance between the atoms and the image plane with diffraction-limited 1 μm resolution and 50 magnification. The telephoto lens design is adopted to reduce the back focal length and enhance the pointing stability of the imaging lens. The system is optimized at an operating wavelength of 767 nm and corrects aberrations induced by a 5-mm-thick silica vacuum window. At a working distance of 32 mm, a diffraction-limited field of view of 408 μm is obtained. The simulation result shows that by changing the air space between lenses, our design operates across a wide range of window thicknesses (0–15 mm), which makes it robust enough to be used in typical laboratories. This compact imaging system is made from commercial on-shelfΦ2 in (1 in = 2.54 cm) singlets and consists of two components: a microscope objective with a numerical aperture of 0.47 and a telephoto objective with a long effective focal length of 1826 mm. Both are infinitely corrected, allowing the distance between them to be adjusted to insert optical elements for irradiating atoms with laser beams of different wavelengths without affecting the imaging resolution. Taking the manufacturing and assembling tolerances into consideration, the Monte Carlo analyses show that more than 95% of the random samples are diffraction-limited within the field of view. This high success rate ensures that these two objectives can be achieved easily in the experiment. Combined with its performance with other wavelengths (470–1064 nm), this imaging system can be used for imaging different atom species, such as sodium, lithium, and cesium.
In cold atom experiments, high resolution imaging systems have been used to extractin-situdensity information when studying quantum gases, which is one of the hot topics in this field. Such a system is usually called “quantum-gas microscope”. In order to achieve a long working distance and large magnification, high resolution imaging of cold atoms through a vacuum window usually requires a long distance between the atoms and the camera. However, due to space limitation caused by a large number of nearby optical elements, it may be difficult to realize a long imaging system, which is a common case in cold atom experiments. Herein we present an imaging system that can achieve a short distance between the atoms and the image plane with diffraction-limited 1 μm resolution and 50 magnification. The telephoto lens design is adopted to reduce the back focal length and enhance the pointing stability of the imaging lens. The system is optimized at an operating wavelength of 767 nm and corrects aberrations induced by a 5-mm-thick silica vacuum window. At a working distance of 32 mm, a diffraction-limited field of view of 408 μm is obtained. The simulation result shows that by changing the air space between lenses, our design operates across a wide range of window thicknesses (0–15 mm), which makes it robust enough to be used in typical laboratories. This compact imaging system is made from commercial on-shelfΦ2 in (1 in = 2.54 cm) singlets and consists of two components: a microscope objective with a numerical aperture of 0.47 and a telephoto objective with a long effective focal length of 1826 mm. Both are infinitely corrected, allowing the distance between them to be adjusted to insert optical elements for irradiating atoms with laser beams of different wavelengths without affecting the imaging resolution. Taking the manufacturing and assembling tolerances into consideration, the Monte Carlo analyses show that more than 95% of the random samples are diffraction-limited within the field of view. This high success rate ensures that these two objectives can be achieved easily in the experiment. Combined with its performance with other wavelengths (470–1064 nm), this imaging system can be used for imaging different atom species, such as sodium, lithium, and cesium.
2024, 73(6): 067301.
doi:10.7498/aps.73.20231698
Abstract:
As an important part of an intelligent photoelectric system, ultraviolet detector has been widely used in many fields in recent years. The research on self-powered heterojunction photodiode is particularly important. In this work, a dual-mode self-powered GaN/(BA)2PbI4heterojunction ultraviolet photodiode is prepared and discussed. The GaN film is deposited on sapphire by metal-organic chemical vapor deposition, and then the (BA)2PbI4film is spin-coated onto the surface of the GaN film to construct a planar heterojunction detector. The X-ray diffraction, energy-dispersive X-ray spectroscopy mapping and scanning electron microscope measurements are used to determine the quality of GaN and (BA)2PbI4thin films. When the film is illuminated by 365 nm light with a power density of 421 μW/cm2at 5 V bias, the responsiveness (R) and external quantum efficiency (EQE) are 60 mA/W and 20%, respectively. In self-powered mode, the rise time (τr) and decay time (τd) are 0.12 s and 0.13 s, respectively, illustrating the fast photogeneration process and recombination process for photo-excited electron-hole pairs. And, theRis 1.96×10–4mA/W, owing to the development of space charge region across the interface of GaN thin film and (BA)2PbI4thin film. The outcomes of this study unequivocally demonstrate the extensive potential and wide-ranging applicability of self-powered UV photodiodes based on the GaN/(BA)2PbI4heterojunction configuration. Moreover, this research presents a new concept that provides a novel avenue to the ongoing development of intelligent optoelectronic systems.
As an important part of an intelligent photoelectric system, ultraviolet detector has been widely used in many fields in recent years. The research on self-powered heterojunction photodiode is particularly important. In this work, a dual-mode self-powered GaN/(BA)2PbI4heterojunction ultraviolet photodiode is prepared and discussed. The GaN film is deposited on sapphire by metal-organic chemical vapor deposition, and then the (BA)2PbI4film is spin-coated onto the surface of the GaN film to construct a planar heterojunction detector. The X-ray diffraction, energy-dispersive X-ray spectroscopy mapping and scanning electron microscope measurements are used to determine the quality of GaN and (BA)2PbI4thin films. When the film is illuminated by 365 nm light with a power density of 421 μW/cm2at 5 V bias, the responsiveness (R) and external quantum efficiency (EQE) are 60 mA/W and 20%, respectively. In self-powered mode, the rise time (τr) and decay time (τd) are 0.12 s and 0.13 s, respectively, illustrating the fast photogeneration process and recombination process for photo-excited electron-hole pairs. And, theRis 1.96×10–4mA/W, owing to the development of space charge region across the interface of GaN thin film and (BA)2PbI4thin film. The outcomes of this study unequivocally demonstrate the extensive potential and wide-ranging applicability of self-powered UV photodiodes based on the GaN/(BA)2PbI4heterojunction configuration. Moreover, this research presents a new concept that provides a novel avenue to the ongoing development of intelligent optoelectronic systems.
2024, 73(6): 067501.
doi:10.7498/aps.73.20231766
Abstract:
In recent years, topological antiferromagnetic material with hexagonal Kagome structure has attracted great research interest due to its unique properties. Although its net magnetic moment is close to zero, the topological antiferromagnet exhibits the strong magnetoelectric, the magneto-optical, and the magnetothermal effect, with a strength comparable to that of ferromagnetic material, which makes it highly valuable for various applications. After several years of extensive studies, it has been realized that most of the unique properties of topological antiferromagnet are actually closely related to its magnetic structure. However, it has been found that the magnetic structure of the material is highly sensitive to its chemical composition and growth condition. Therefore, it is crucial to develop a universal and simple method of measuring the magnetic structure and determining the magnetic phase transition of hexagonal Kagome topological antiferromagnetic material, which can severe as a good supplement for the current high-energy neutron diffraction approach that is not accessible for ordinary laboratories. In this study, we have successfully prepared high-quality (
\begin{document}$ 11\bar{2}0 $\end{document}
)-oriented hexagonal Kagome antiferromagnetic Mn3Sn thin films on (
\begin{document}$1 \bar{1} 02$\end{document}
)-oriented Al2O3single crystal substrates by using the pulsed laser deposition method. After systematically measuring how the magnetic and transport properties of the Mn3Sn thin film change with temperature, it is found that its magnetization curve, Hall resistivity curve, and magnetoresistance curve exhibit certain anomalous features at some or all of its three magnetic phase transition temperatures. These features can serve as good evidences of magnetic phase transitions in this hexagonal Kagome antiferromagnetic Mn3Sn thin film, or even could be used to measure the temperatures of these magnetic phase transitions. Our work contributes to the further advancement of the application of hexagonal Kagome topological antiferromagnetic materials to spin electronic devices.
In recent years, topological antiferromagnetic material with hexagonal Kagome structure has attracted great research interest due to its unique properties. Although its net magnetic moment is close to zero, the topological antiferromagnet exhibits the strong magnetoelectric, the magneto-optical, and the magnetothermal effect, with a strength comparable to that of ferromagnetic material, which makes it highly valuable for various applications. After several years of extensive studies, it has been realized that most of the unique properties of topological antiferromagnet are actually closely related to its magnetic structure. However, it has been found that the magnetic structure of the material is highly sensitive to its chemical composition and growth condition. Therefore, it is crucial to develop a universal and simple method of measuring the magnetic structure and determining the magnetic phase transition of hexagonal Kagome topological antiferromagnetic material, which can severe as a good supplement for the current high-energy neutron diffraction approach that is not accessible for ordinary laboratories. In this study, we have successfully prepared high-quality (
2024, 73(6): 067601.
doi:10.7498/aps.73.20231833
Abstract:
High-resolution wide-spectrum measurement techniques have important applications in fields such as astronomy, wireless communication, and medical imaging. Nitrogen-vacancy (NV) center in diamond is well known for its high stability, high sensitivity, real-time monitoring, single-point detection, and suitability for long-term measurement, and has an outstanding choice for spectrum analyzers. Currently, spectrum analyzers based on NV centers as detectors can perform real-time spectrum analysis in the range of several tens of gigahertz, but their frequency resolution is limited to a MHz level. In this study, we construct a quantum diamond microwave spectrum imaging system by combining continuous wave-mixing techniques. According to the spin-related properties of the NV center in diamond, we implement optical pumping by 532 nm green laser light illuminating the diamond NV center. A spherical magnet is used to produce a magnetic field gradient along the direction of the diamond crystal. By adjusting the size and direction of the magnetic field gradient, spatial encoding of the resonance frequency of the NV center is achieved. The magnetic field gradient induces the Zeeman effect on the diamond surface at different positions, generating corresponding ODMR signals. Through accurate programming, we coordinate the frequency scanning step size of the microwave source with the camera exposure and image storage time, and synchronize them circularly according to the order of image acquisition. Ultimately, after algorithmic processing, we successfully obtain comprehensive spectrum data in a range from 900 MHz to 6.0 GHz. Within the measurable spectrum range, the system employs continuous wave-mixing, simultaneously applying resonant microwaves and slightly detuning auxiliary microwaves to effectively excite the NV center. This method triggers off microwave interference effects, disrupting the balance between laser-induced polarization and microwave-induced spontaneous relaxation. Specifically, microwave interference causes the phase and amplitude of the fluorescence signal to change, leading to the generation of alternating current fluorescence signals. This further enhances the response of the NV magnetometer to weak microwave signals. The method enables the system to achieve a frequency resolution of 1 Hz in the measurable spectrum range, and it can separately measure the frequency resolution of multiple frequency points with a frequency step size of 1 MHz. The research results indicate that the wide-spectrum measurement based on NV centers can achieve sub-hertz frequency resolution, providing robust technical support for future spectrum analysis and applications.
High-resolution wide-spectrum measurement techniques have important applications in fields such as astronomy, wireless communication, and medical imaging. Nitrogen-vacancy (NV) center in diamond is well known for its high stability, high sensitivity, real-time monitoring, single-point detection, and suitability for long-term measurement, and has an outstanding choice for spectrum analyzers. Currently, spectrum analyzers based on NV centers as detectors can perform real-time spectrum analysis in the range of several tens of gigahertz, but their frequency resolution is limited to a MHz level. In this study, we construct a quantum diamond microwave spectrum imaging system by combining continuous wave-mixing techniques. According to the spin-related properties of the NV center in diamond, we implement optical pumping by 532 nm green laser light illuminating the diamond NV center. A spherical magnet is used to produce a magnetic field gradient along the direction of the diamond crystal. By adjusting the size and direction of the magnetic field gradient, spatial encoding of the resonance frequency of the NV center is achieved. The magnetic field gradient induces the Zeeman effect on the diamond surface at different positions, generating corresponding ODMR signals. Through accurate programming, we coordinate the frequency scanning step size of the microwave source with the camera exposure and image storage time, and synchronize them circularly according to the order of image acquisition. Ultimately, after algorithmic processing, we successfully obtain comprehensive spectrum data in a range from 900 MHz to 6.0 GHz. Within the measurable spectrum range, the system employs continuous wave-mixing, simultaneously applying resonant microwaves and slightly detuning auxiliary microwaves to effectively excite the NV center. This method triggers off microwave interference effects, disrupting the balance between laser-induced polarization and microwave-induced spontaneous relaxation. Specifically, microwave interference causes the phase and amplitude of the fluorescence signal to change, leading to the generation of alternating current fluorescence signals. This further enhances the response of the NV magnetometer to weak microwave signals. The method enables the system to achieve a frequency resolution of 1 Hz in the measurable spectrum range, and it can separately measure the frequency resolution of multiple frequency points with a frequency step size of 1 MHz. The research results indicate that the wide-spectrum measurement based on NV centers can achieve sub-hertz frequency resolution, providing robust technical support for future spectrum analysis and applications.
2024, 73(6): 068401.
doi:10.7498/aps.73.20231495
Abstract:
This paper aims to analyze the failure mechanism of the two-stage PIN limiter after having been injected by a microwave pulse. A two-stage PIN limiter model with high computational efficiency and accuracy is built by using the method of field-circuit collaborative simulation. Using this model, the temperature change of the PIN diodes during the injection of microwave pulse is simulated. The melting temperature of the PIN diode is selected as the failure criterion of the PIN limiter. The time and energy required for the failure of the PIN limiter under injection of microwave pulses with different frequencies and amplitudes are simulated. Furthermore, the mechanisms that trigger off these effects are analyzed. The relationship between the microwave pulse parameters and the PIN limiter failure time is summarized by using an empirical formula.
According to the simulation results, the temperature change of the second-stage PIN diode is relatively small compared with that of the first-stage. During the injection of the microwave pulse, the failure time and energy consumption of limiter show a certain regularity with the variation of microwave pulse amplitude and frequency, and this work discusses this regularity from the following three aspects. Firstly, the failure time and energy consumption decrease in a similar trend with frequency increasing. And with the increase in signal amplitude, the failure time and energy consumption tend to stabilize. Secondly, the increase in the signal amplitude leads failure time to decrease, which is similar to the relationship between failure time and the signal frequency mentioned before. But as the signal’s amplitude increases, the energy consumption first increases and then decreases slightly when the amplitude reaches about 900 V. Based on the theoretical analysis and the physical image of the two-stage PIN limiter, the reasons for these effects can be explained as the changes in the I-region's impedance and heat distribution change caused by electric field changes. Thirdly, the failure time and energy consumption show different sensitivities to different parameters of the microwave pulse. The signal frequency change has greater influence on the energy consumption than the signal amplitude change, while the amplitude change can exert a greater influence on the failure time than the frequency change.
2024, 73(6): 068501.
doi:10.7498/aps.73.20231526
Abstract:
Superconducting nanowire single-photon detector is a kind of refrigerated photon-counting detector with high performance, which can detect extremely weak signals. The noise of optical system is an important factor limiting the sensitivity of infrared superconducting nanowire single-photon detector. In order to improve the sensitivity of infrared detection system, the calculation model of signal-to-noise ratio and background radiation of infrared optical system based on superconducting single photon detector is established and the source of noise in optical system and the radiation emission of black body are analyzed theoretically. The noise characteristics of infrared optical system are quantitatively analyzed by photon counting capability of superconducting nanowire single-photon detector, and the relationship between the photon count rate and temperature under a small temperature difference is explored. An optical system based on infrared superconducting single photon detector is designed. The designed optical system improves the infrared photon coupling efficiency and the signal-to-noise ratio of the superconducting detection system, which are verified theoretically and experimentally , thus reducing the influence of background radiation on the detection system. The results show that the superconducting single-photon detector has high sensitivity to the analysis of the infrared optical system, and the minimum resolved movement distance is 2.74 × 10–2mm. The physical coupling efficiency of the optical system and the photon count rate of the detection system are improved by optimizing the optical system, and the signal-to-noise ratio of the system increases by 2.7 times under the same conditions. It is expected that this infrared superconducting nanowire single-photon detector can be used in finer and higher precision detection field.
Superconducting nanowire single-photon detector is a kind of refrigerated photon-counting detector with high performance, which can detect extremely weak signals. The noise of optical system is an important factor limiting the sensitivity of infrared superconducting nanowire single-photon detector. In order to improve the sensitivity of infrared detection system, the calculation model of signal-to-noise ratio and background radiation of infrared optical system based on superconducting single photon detector is established and the source of noise in optical system and the radiation emission of black body are analyzed theoretically. The noise characteristics of infrared optical system are quantitatively analyzed by photon counting capability of superconducting nanowire single-photon detector, and the relationship between the photon count rate and temperature under a small temperature difference is explored. An optical system based on infrared superconducting single photon detector is designed. The designed optical system improves the infrared photon coupling efficiency and the signal-to-noise ratio of the superconducting detection system, which are verified theoretically and experimentally , thus reducing the influence of background radiation on the detection system. The results show that the superconducting single-photon detector has high sensitivity to the analysis of the infrared optical system, and the minimum resolved movement distance is 2.74 × 10–2mm. The physical coupling efficiency of the optical system and the photon count rate of the detection system are improved by optimizing the optical system, and the signal-to-noise ratio of the system increases by 2.7 times under the same conditions. It is expected that this infrared superconducting nanowire single-photon detector can be used in finer and higher precision detection field.
2024, 73(6): 068502.
doi:10.7498/aps.73.20231557
Abstract:
In this work, the influence of fluorine (F) erosion on tungsten (W) gate process is studied, and the measure to mitigate the word line (WL) leakage resulting from F erosion in 3D NAND flash memory is proposed. As the number of layers in 3D NAND increases, the tungsten (W) gate word line (WL) layer fill process becomes more challenging in the post-gate process. As the fill path length increases, the tungsten gates become more susceptible to voiding during deposition, resulting in the accumulation of fluorine (F) by-products, and causing fluorine attack issues. In particular, under the influence of subsequent high-temperature processes, the by-products containing fluorine can diffuse into the surrounding structure and corrode the surrounding oxide layer. This leads to WL leakage, thereby affecting device yield and reliability. This paper begins by analyzing the microscopic principles of fluorine erosion in 3D NAND. We also propose a low-pressure annealing method to address the issue of fluorine erosion. Then, we conduct the experiments on annealing planar thin film stacks and 3D filled structures under atmospheric condition and low-pressure condition. We use various methods to characterize the concentration and distribution of residual fluorine elements. The experimental results demonstrate that under appropriate conditions, the residual fluorine in the tungsten gate can be effectively released by low-pressure annealing, thus reducing the leakage index of the word line. Additionally, as the outer CH is closer to the fluorine discharge channel, the influence of low-pressure annealing on the outer CH is more pronounced than on the inner CH. The low-pressure annealing can significantly reduce the fluorine content in the tungsten gate. This method can also mitigate the issue of fluorine attack oxides and reducethe WL leakage. Using low-pressure annealing treatment can also enhance the quality of 3D NAND flash technology.
In this work, the influence of fluorine (F) erosion on tungsten (W) gate process is studied, and the measure to mitigate the word line (WL) leakage resulting from F erosion in 3D NAND flash memory is proposed. As the number of layers in 3D NAND increases, the tungsten (W) gate word line (WL) layer fill process becomes more challenging in the post-gate process. As the fill path length increases, the tungsten gates become more susceptible to voiding during deposition, resulting in the accumulation of fluorine (F) by-products, and causing fluorine attack issues. In particular, under the influence of subsequent high-temperature processes, the by-products containing fluorine can diffuse into the surrounding structure and corrode the surrounding oxide layer. This leads to WL leakage, thereby affecting device yield and reliability. This paper begins by analyzing the microscopic principles of fluorine erosion in 3D NAND. We also propose a low-pressure annealing method to address the issue of fluorine erosion. Then, we conduct the experiments on annealing planar thin film stacks and 3D filled structures under atmospheric condition and low-pressure condition. We use various methods to characterize the concentration and distribution of residual fluorine elements. The experimental results demonstrate that under appropriate conditions, the residual fluorine in the tungsten gate can be effectively released by low-pressure annealing, thus reducing the leakage index of the word line. Additionally, as the outer CH is closer to the fluorine discharge channel, the influence of low-pressure annealing on the outer CH is more pronounced than on the inner CH. The low-pressure annealing can significantly reduce the fluorine content in the tungsten gate. This method can also mitigate the issue of fluorine attack oxides and reducethe WL leakage. Using low-pressure annealing treatment can also enhance the quality of 3D NAND flash technology.
2024, 73(6): 068801.
doi:10.7498/aps.73.20231678
Abstract:
Organic-inorganic metal halide perovskite solar cells (PSCs) have been widely studied due to their excellent photoelectric conversion performance, but the inherent chemical instability of CH(NH2)2PbI3(FAPbI3) hinders its sustainable development. In particular, the surface interface of the membrane has prominent humidity sensitivity due to lower activation energy, the defect of the surface interface has a strong correlation with the film stability, and the treatment result of the defect is one of the key factors to improve the long-term stability. The FAPbI3suffers phase transition from black perovskite phase to yellow non-perovskite phase at room temperature, and the moisture will accelerate this phase transition. Interface engineering is one of the common methods to improve the stability of perovskite solar cells. In addition to interface engineering, there is a strategy of stacking a two-dimensional (2D) perovskite layer on the surface for interface passivation. However, most of the preparation methods of 2D perovskite layer have limitations. In this work, the full solution method and post-treatment mode of annealing are adopted, the hybrid perovskite solar cells of vitamin perovskite are successfully fabricated. The FAPbI3perovskite surface is uniformly spin-coated with butylamine iodide (BAI) solution, and the formation of 2D perovskite is driven on the surface of FAPbI3perovskite. Due to the passivation of surface interface defects by the 2D perovskite layer, the non-radiative recombination of charge carriers is reduced, greatly improving the carrier lifetime. Because of the hydrophobicity of long chain molecules in 2D perovskite, the long-term stability of the device is significantly improved. Consequently, the unencapsulated device containing 2D perovskite layer remains above 80% after operating at room temperature in ambient air with a relative humidity (RH) of 60% for nearly 1000 hours. The 2D perovskite layer can significantly improve the long-term stability of the film without affecting the charge carrier transport performance. This method of improving the stability of the device by constructing 2D perovskite layer is in line with the requirements and development trend of high-quality perovskite solar cells, and is a strategy with great development potential.
Organic-inorganic metal halide perovskite solar cells (PSCs) have been widely studied due to their excellent photoelectric conversion performance, but the inherent chemical instability of CH(NH2)2PbI3(FAPbI3) hinders its sustainable development. In particular, the surface interface of the membrane has prominent humidity sensitivity due to lower activation energy, the defect of the surface interface has a strong correlation with the film stability, and the treatment result of the defect is one of the key factors to improve the long-term stability. The FAPbI3suffers phase transition from black perovskite phase to yellow non-perovskite phase at room temperature, and the moisture will accelerate this phase transition. Interface engineering is one of the common methods to improve the stability of perovskite solar cells. In addition to interface engineering, there is a strategy of stacking a two-dimensional (2D) perovskite layer on the surface for interface passivation. However, most of the preparation methods of 2D perovskite layer have limitations. In this work, the full solution method and post-treatment mode of annealing are adopted, the hybrid perovskite solar cells of vitamin perovskite are successfully fabricated. The FAPbI3perovskite surface is uniformly spin-coated with butylamine iodide (BAI) solution, and the formation of 2D perovskite is driven on the surface of FAPbI3perovskite. Due to the passivation of surface interface defects by the 2D perovskite layer, the non-radiative recombination of charge carriers is reduced, greatly improving the carrier lifetime. Because of the hydrophobicity of long chain molecules in 2D perovskite, the long-term stability of the device is significantly improved. Consequently, the unencapsulated device containing 2D perovskite layer remains above 80% after operating at room temperature in ambient air with a relative humidity (RH) of 60% for nearly 1000 hours. The 2D perovskite layer can significantly improve the long-term stability of the film without affecting the charge carrier transport performance. This method of improving the stability of the device by constructing 2D perovskite layer is in line with the requirements and development trend of high-quality perovskite solar cells, and is a strategy with great development potential.
2024, 73(6): 068701.
doi:10.7498/aps.73.20231695
Abstract:
Single-molecule localization technology has been widely used in single-particle tracking and super-resolution imaging of biological samples, as it can bypass the diffraction limit of optical systems. Multi-channel single-molecule localization uses multiple imaging channels to simultaneously track different targets or perform multi-color super-resolution imaging, and can also improve the axial depth of single-particle tracking or achieve higher localization precision and density for super-resolution imaging. However, the difference between images in each channel can affect collaborative localization or quantitative analysis, so image registration is a key step in its image data preprocessing. Moreover, due to the high precision of single-molecule localization, its requirements for multi-channel image registration accuracy are also high. Existing technologies generally use control point-based registration methods and often use complicated and precise methods to obtain fiducial images for locating control point pairs to achieve high-precision image registration, which involves high sample or experimental equipment requirements and is difficult to directly extend to other systems. Therefore, developed in this work, is a high-precision image registration method that can directly use randomly distributed fluorescent beads as fiducial samples based on local nonlinear transformation and elimination of mismatched points. By monitoring and iteratively filtering control points in the process of feature matching and transformation model parameter estimation to eliminate control point pairs that are not accurately matched due to inaccurate or poor precision of single-molecule localization, the adverse effects on accurate acquisition and precise matching of control points when using randomly distributed fluorescent beads as fiducial samples are eliminated. At the same time, a second-order polynomial fitting based on local weighted mean is used for estimating the transformation model parameter to better adapt to the existence of local nonlinear deformation between different channels. The results show that using this method only requires three iterations to find and eliminate control point pairs that are not accurately located and matched, thereby achieving more accurate transformation model parameter and improving the registration accuracy by an order of magnitude, achieving a registration accuracy of about 6 nm in a complex dual-channel single-molecule localization imaging system based on orthogonal astigmatism.
Single-molecule localization technology has been widely used in single-particle tracking and super-resolution imaging of biological samples, as it can bypass the diffraction limit of optical systems. Multi-channel single-molecule localization uses multiple imaging channels to simultaneously track different targets or perform multi-color super-resolution imaging, and can also improve the axial depth of single-particle tracking or achieve higher localization precision and density for super-resolution imaging. However, the difference between images in each channel can affect collaborative localization or quantitative analysis, so image registration is a key step in its image data preprocessing. Moreover, due to the high precision of single-molecule localization, its requirements for multi-channel image registration accuracy are also high. Existing technologies generally use control point-based registration methods and often use complicated and precise methods to obtain fiducial images for locating control point pairs to achieve high-precision image registration, which involves high sample or experimental equipment requirements and is difficult to directly extend to other systems. Therefore, developed in this work, is a high-precision image registration method that can directly use randomly distributed fluorescent beads as fiducial samples based on local nonlinear transformation and elimination of mismatched points. By monitoring and iteratively filtering control points in the process of feature matching and transformation model parameter estimation to eliminate control point pairs that are not accurately matched due to inaccurate or poor precision of single-molecule localization, the adverse effects on accurate acquisition and precise matching of control points when using randomly distributed fluorescent beads as fiducial samples are eliminated. At the same time, a second-order polynomial fitting based on local weighted mean is used for estimating the transformation model parameter to better adapt to the existence of local nonlinear deformation between different channels. The results show that using this method only requires three iterations to find and eliminate control point pairs that are not accurately located and matched, thereby achieving more accurate transformation model parameter and improving the registration accuracy by an order of magnitude, achieving a registration accuracy of about 6 nm in a complex dual-channel single-molecule localization imaging system based on orthogonal astigmatism.












