2024 Vol. 73, No. 7
column
- The 90th Anniversary ofActa Physica Sinica
- SPECIAL TOPIC—Heat conduction and its related interdisciplinary areas
- DATA PAPERS
- REVIEW
- GENERAL
- NUCLEAR PHYSICS
- ATOMIC AND MOLECULAR PHYSICS
- ELECTROMAGNETISM, OPTICS, ACOUSTICS, HEAT TRANSFER, CLASSICAL MECHANICS, AND FLUID DYNAMICS
- PHYSICS OF GASES, PLASMAS, AND ELECTRIC DISCHARGES
- CONDENSED MATTER: STRUCTURAL, MECHANICAL, AND THERMAL PROPERTIES
- CONDENSED MATTER: ELECTRONIC STRUCTURE, ELECTRICAL, MAGNETIC, AND OPTICAL PROPERTIES
- INTERDISCIPLINARY PHYSICS AND RELATED AREAS OF SCIENCE AND TECHNOLOGY
- GEOPHYSICS, ASTRONOMY, AND ASTROPHYSICS
- ERRATA
Display Method:
2024, 73(7): 070301.
doi:10.7498/aps.73.20240222
Abstract:
The Landau Fermi liquid theory and the Ginzburg-Landau phase transition theory stand as two pivotal cornerstones in traditional condensed matter physics, achieving significant success in addressing crucial physical phenomena such as BCS superconductors and liquid helium superfluids. However, marked by the discoveries of the quantum Hall effect and high-temperature superconductivity in the 1980s, it gradually became evident that for a broad class of novel quantum states, such as fractional quantum Hall states and quantum spin liquids, their properties transcend the Landau Fermi liquid theory and Ginzburg-Landau phase transition theory. Topological order and its related concepts of long-range many-body quantum entanglement and fractionalized excitation have become the key concepts to understand these exotic quantum states. Designing and identifying topologically ordered states of matter in quantum materials and quantum simulation systems, and probing and manipulating their fractionalized excitations, are important research directions in modern condensed matter physics. In recent years, great progress has been made in the quantum simulation and manipulation of topological order on highly controllable quantum simulation platforms, such as Rydberg atomic systems, superconducting quantum processors, and two-dimensional moiré superlattices. This article provides a brief overview of recent research advances and challenges in the study of topological order in traditional condensed matter systems and quantum simulation experimental platforms. It also provides prospects for the future developments of this field.
The Landau Fermi liquid theory and the Ginzburg-Landau phase transition theory stand as two pivotal cornerstones in traditional condensed matter physics, achieving significant success in addressing crucial physical phenomena such as BCS superconductors and liquid helium superfluids. However, marked by the discoveries of the quantum Hall effect and high-temperature superconductivity in the 1980s, it gradually became evident that for a broad class of novel quantum states, such as fractional quantum Hall states and quantum spin liquids, their properties transcend the Landau Fermi liquid theory and Ginzburg-Landau phase transition theory. Topological order and its related concepts of long-range many-body quantum entanglement and fractionalized excitation have become the key concepts to understand these exotic quantum states. Designing and identifying topologically ordered states of matter in quantum materials and quantum simulation systems, and probing and manipulating their fractionalized excitations, are important research directions in modern condensed matter physics. In recent years, great progress has been made in the quantum simulation and manipulation of topological order on highly controllable quantum simulation platforms, such as Rydberg atomic systems, superconducting quantum processors, and two-dimensional moiré superlattices. This article provides a brief overview of recent research advances and challenges in the study of topological order in traditional condensed matter systems and quantum simulation experimental platforms. It also provides prospects for the future developments of this field.
2024, 73(7): 070702.
doi:10.7498/aps.73.20240150
Abstract:
Triboelectric nanogenerator (TENG), as a micro-nano power source or self-powered sensor, has shown great prospects in various industries in recent years. The TENG output performance is closely related to the contact electrification characteristics of the triboelectric dielectric material. Herein, we first introduce the relevant fundamental theory and models of TENG and tribo-dielectrics. Then, we introduce the material selection, modification method (including surface modification and bulk modification) and structural design strategy of TENG dielectric material. Surface and bulk modification mainly involve surface roughness control, surface functional group regulation, and optimization of dielectric parameters. In terms of dielectric structural design, the principle of charge transport, trapping, and blocking layers as well as typical techniques to improve the dielectric properties of TENGs through multi-layer structures are highlighted. Finally, challenges and directions for future research are discussed, which is conducive to the fabricating of high-performance TENG dielectric materials.
Triboelectric nanogenerator (TENG), as a micro-nano power source or self-powered sensor, has shown great prospects in various industries in recent years. The TENG output performance is closely related to the contact electrification characteristics of the triboelectric dielectric material. Herein, we first introduce the relevant fundamental theory and models of TENG and tribo-dielectrics. Then, we introduce the material selection, modification method (including surface modification and bulk modification) and structural design strategy of TENG dielectric material. Surface and bulk modification mainly involve surface roughness control, surface functional group regulation, and optimization of dielectric parameters. In terms of dielectric structural design, the principle of charge transport, trapping, and blocking layers as well as typical techniques to improve the dielectric properties of TENGs through multi-layer structures are highlighted. Finally, challenges and directions for future research are discussed, which is conducive to the fabricating of high-performance TENG dielectric materials.
2024, 73(7): 078801.
doi:10.7498/aps.73.20240201
Abstract:
Cross-linked polyethylene (XLPE) has been widely used in the field of power cables due to its excellent mechanical properties and insulating properties. However, during the manufacturing of high voltage cables, XLPE will inevitably be affected by electrical aging, thermal aging and electro-thermal combined aging, which makes the resistance and life of the material decline. Therefore, it is necessary to enhance the aging resistance of XLPE without affecting its mechanical properties and insulating properties, so as to extend its service life. In this work, the structural characteristics and cross-linking mechanism of XLPE are introduced, the aging process and influencing mechanism are systematically analyzed, and the life decay problems of XLPE due to aging are explored by using methods such as the temperature Arrhenius equation and the inverse power law of voltage. The improvement strategies such as grafting, blending, and nanoparticle modification can be used to enhance the thermal stability, antioxidant properties, and thermal aging resistance of XLPE, thereby extending its service life. Finally, the strategies of adjusting and controlling the service life of XLPE cable insulation materials in the future are discussed, which provide theoretical guidance for further improving long-term stable operation of XLPE cable insulation materials.
Cross-linked polyethylene (XLPE) has been widely used in the field of power cables due to its excellent mechanical properties and insulating properties. However, during the manufacturing of high voltage cables, XLPE will inevitably be affected by electrical aging, thermal aging and electro-thermal combined aging, which makes the resistance and life of the material decline. Therefore, it is necessary to enhance the aging resistance of XLPE without affecting its mechanical properties and insulating properties, so as to extend its service life. In this work, the structural characteristics and cross-linking mechanism of XLPE are introduced, the aging process and influencing mechanism are systematically analyzed, and the life decay problems of XLPE due to aging are explored by using methods such as the temperature Arrhenius equation and the inverse power law of voltage. The improvement strategies such as grafting, blending, and nanoparticle modification can be used to enhance the thermal stability, antioxidant properties, and thermal aging resistance of XLPE, thereby extending its service life. Finally, the strategies of adjusting and controlling the service life of XLPE cable insulation materials in the future are discussed, which provide theoretical guidance for further improving long-term stable operation of XLPE cable insulation materials.
2024, 73(7): 070701.
doi:10.7498/aps.73.20231869
Abstract:
During the long-term operation of a cable, the electrical field, high temperature, and interface stress may age or deteriorate the silicon rubber (SIR) insulation of the cable accessories, affecting the combined electrical-thermal-force performance of the accessories, and easily causing discharge faults. In this work, the electrical-thermal-force properties of silicone rubber for cable accessories under thermal aging and combined force-thermal aging are studied experimentally and numerically. The changes and mechanisms of physical and chemical properties, electrical properties, thermal properties and mechanical properties of silicone rubber are tested and compared before and after aging. The changes of electric, thermal and force field of cable accessories, caused by the change of SIR material parameters under different aging time and aging form, are further simulated. The experimental results show that the crosslinking degree and molecular motion system of SIR will change with the deepening of the aging degree, which will change the electrical-thermal-force properties of the material to different degree. After aging, large agglomeration protrudes and small cavities appear in SIR section, and the damage is more serious under force-thermal aging. The relative dielectric constant first decreases and then increases with the aging time increasing. The volume resistivity, breakdown strength and flashover voltage all first increase and then decrease. The thermal conductivity first increases and then decreases with aging time increasing. In addition, with the increase of aging time, the tensile strength and elongation at break decrease gradually. Considering the change of properties after aging, the destruction of SIR material by force-thermal aging is more serious. The simulation results show that under the two aging modes, the maximum electric field strength at the stress cone root of the cable accessories first increases and then decreases with the increase of time. The electric field strength at the stress cone root of the cable accessories, caused by the force-thermal aging, changes little, maintaining about 2.2 kV/mm. The difference in temperature between the inside and the outside of the insulation layer is obvious under different aging degree, and the temperature difference shows a first decreasing and then increasing trend under both aging modes, and the maximum temperature gradient is 9.15 ℃. The interface stress at the stress cone root decreases from 0.263 to 0.230 MPa, which is about 12.5% lower. This work has guiding significance in evaluating the insulation performance and analyzing the fault of distribution cable accessories.
During the long-term operation of a cable, the electrical field, high temperature, and interface stress may age or deteriorate the silicon rubber (SIR) insulation of the cable accessories, affecting the combined electrical-thermal-force performance of the accessories, and easily causing discharge faults. In this work, the electrical-thermal-force properties of silicone rubber for cable accessories under thermal aging and combined force-thermal aging are studied experimentally and numerically. The changes and mechanisms of physical and chemical properties, electrical properties, thermal properties and mechanical properties of silicone rubber are tested and compared before and after aging. The changes of electric, thermal and force field of cable accessories, caused by the change of SIR material parameters under different aging time and aging form, are further simulated. The experimental results show that the crosslinking degree and molecular motion system of SIR will change with the deepening of the aging degree, which will change the electrical-thermal-force properties of the material to different degree. After aging, large agglomeration protrudes and small cavities appear in SIR section, and the damage is more serious under force-thermal aging. The relative dielectric constant first decreases and then increases with the aging time increasing. The volume resistivity, breakdown strength and flashover voltage all first increase and then decrease. The thermal conductivity first increases and then decreases with aging time increasing. In addition, with the increase of aging time, the tensile strength and elongation at break decrease gradually. Considering the change of properties after aging, the destruction of SIR material by force-thermal aging is more serious. The simulation results show that under the two aging modes, the maximum electric field strength at the stress cone root of the cable accessories first increases and then decreases with the increase of time. The electric field strength at the stress cone root of the cable accessories, caused by the force-thermal aging, changes little, maintaining about 2.2 kV/mm. The difference in temperature between the inside and the outside of the insulation layer is obvious under different aging degree, and the temperature difference shows a first decreasing and then increasing trend under both aging modes, and the maximum temperature gradient is 9.15 ℃. The interface stress at the stress cone root decreases from 0.263 to 0.230 MPa, which is about 12.5% lower. This work has guiding significance in evaluating the insulation performance and analyzing the fault of distribution cable accessories.
2024, 73(7): 078101.
doi:10.7498/aps.73.20232027
Abstract:
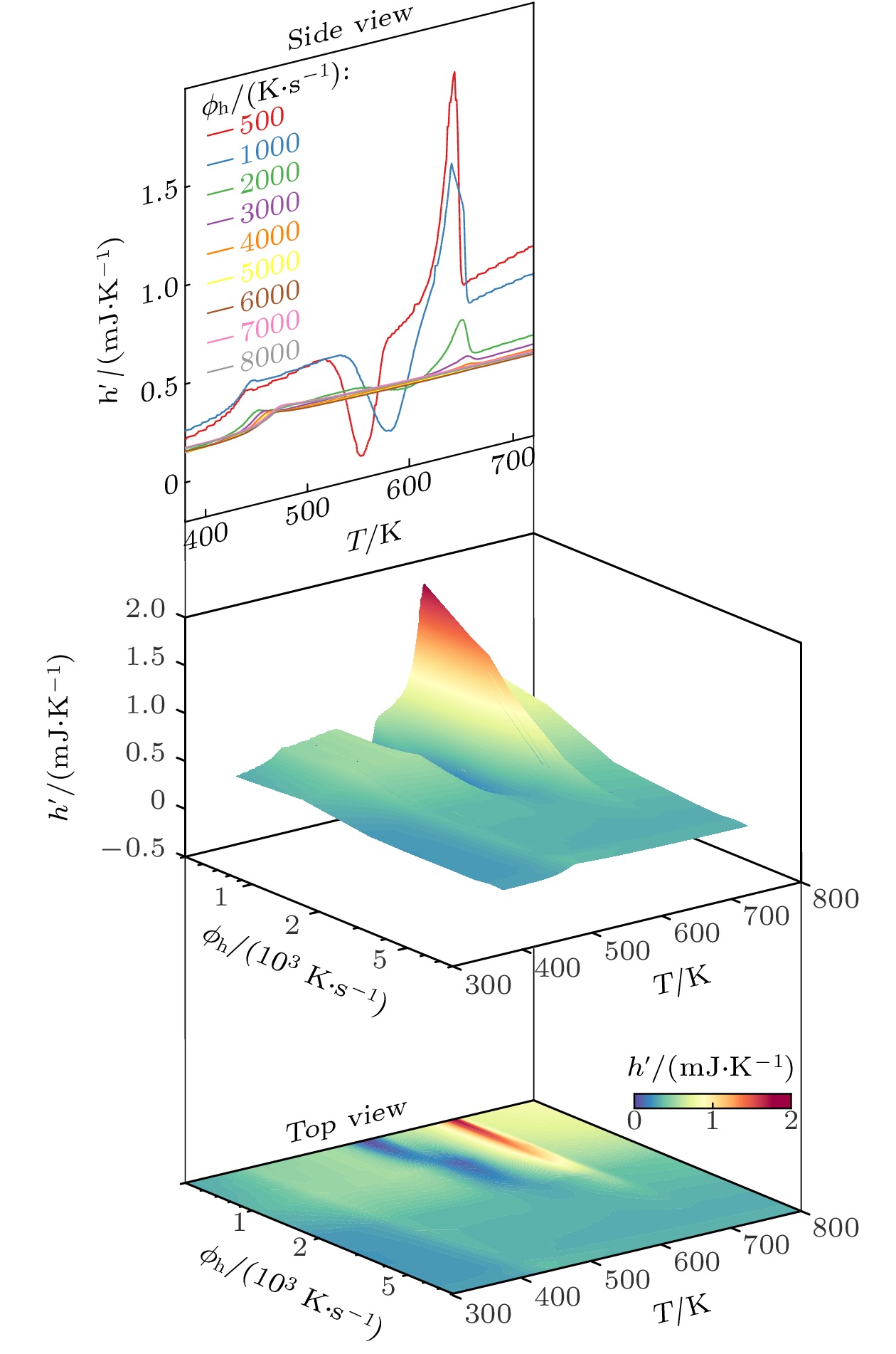
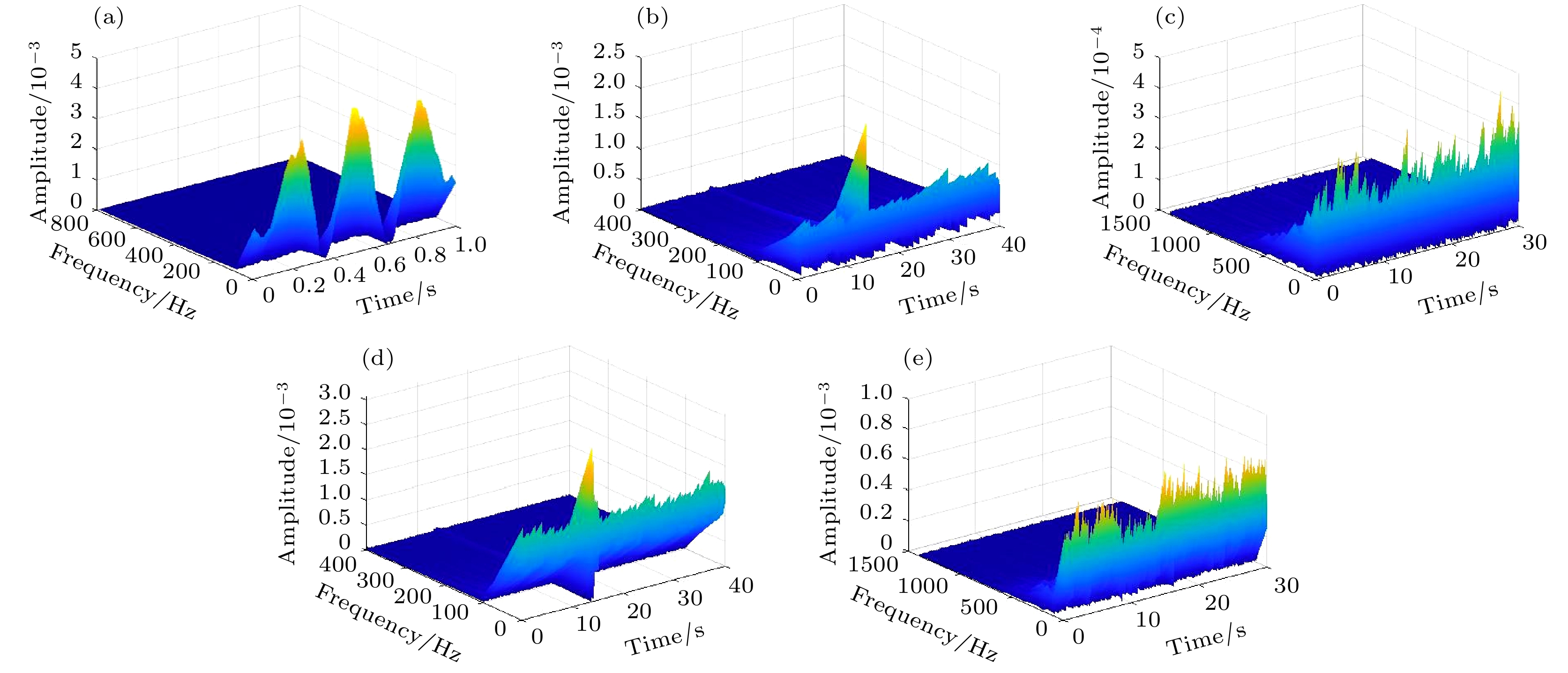
Ultrafast differential scanning calorimetry is the third-generation technique of differential thermal-analysis. It can fast heat up to 60000 K/s or fast cool down to 40000 K/s, so its temperature-changing rate spans five orders of magnitude, and permit repeating experiments on compounds or materials with a melting point lower than 1000 ℃. The unique rate of temperature change allows it to record structural changes of sample in milliseconds, producing a significant number of data. A “top-view” graph is suggested in this study for data analysis. It basically projects the heat flow onto a plane of variables such as temperature, rate or time and uses color contrast to describe the intensity change of heat flow. The issues with “side-view” graphs, where it is a challenge to discern rate or time from several curves, are successfully resolved by this novel technique. It can also realize a comparison of the kinetics among several co-existing physical events. Using an Au-based metallic glass as an example material, this work collects the data from four “side-view” graphs in literature, replots the data on “top-view” graphs, and compares pros and cons. Any substance or material to be examined by utilizing fast differential scanning calorimetry can be examined through using the “top-view” approach. It is useful not only for data analysis but also for constructing processing maps for novel materials, finding new structural transitions, and examining the kinetic behaviors of physical phenomena. All the data presented in this paper are openly available at https://doi.org/ 10.57760/sciencedb.j00213.00012.
Ultrafast differential scanning calorimetry is the third-generation technique of differential thermal-analysis. It can fast heat up to 60000 K/s or fast cool down to 40000 K/s, so its temperature-changing rate spans five orders of magnitude, and permit repeating experiments on compounds or materials with a melting point lower than 1000 ℃. The unique rate of temperature change allows it to record structural changes of sample in milliseconds, producing a significant number of data. A “top-view” graph is suggested in this study for data analysis. It basically projects the heat flow onto a plane of variables such as temperature, rate or time and uses color contrast to describe the intensity change of heat flow. The issues with “side-view” graphs, where it is a challenge to discern rate or time from several curves, are successfully resolved by this novel technique. It can also realize a comparison of the kinetics among several co-existing physical events. Using an Au-based metallic glass as an example material, this work collects the data from four “side-view” graphs in literature, replots the data on “top-view” graphs, and compares pros and cons. Any substance or material to be examined by utilizing fast differential scanning calorimetry can be examined through using the “top-view” approach. It is useful not only for data analysis but also for constructing processing maps for novel materials, finding new structural transitions, and examining the kinetic behaviors of physical phenomena. All the data presented in this paper are openly available at https://doi.org/ 10.57760/sciencedb.j00213.00012.
2024, 73(7): 077801.
doi:10.7498/aps.73.20231487
Abstract:
Positron annihilation technique is an atomic-scale characterization method used to analyze the defects and microstructure of materials, which is extremely sensitive to open volume defects. By examining the annihilation behaviour of positrons and electrons in open volume defects, local electron density and atomic structure information around the annihilation site can be obtained, such as the size and concentration of vacancies, and vacancy clusters. In recent years, positron annihilation spectroscopy has evolved into a superior tool for characterizing features of material compared with conventional methods. The coincident Doppler broadening technique provides unique advantages for examining the local electronic structure and chemical environment (elemental composition) information about defects due to its effectiveness describing high momentum electronic information. The low momentum portion of the quotient spectrum indicates the Doppler shift generated by the annihilation of valence electrons near the vacancy defect. Changes in the peak amplitudes and positions of the characteristic peaks in the high momentum region can reveal elemental information about the positron annihilation point. The physical mechanism of element segregation, the structural features of open volume defects and the interaction between interstitial atoms and vacancy defects are well investigated by using the coincidence Doppler broadening technology. In recent years, based on the development of Doppler broadening technology, the sensitivity of slow positron beam coincidence Doppler broadening technology with adjustable energy has been significantly enhanced at a certain depth. It is notable that slow positron beam techniques can offer surface, defect, and interface microstructural information as a function of material depth. It compensates for the fact that the traditional coincidence Doppler broadening technique can only determine the overall defect information. Positron annihilation technology has been applied to the fields of second phase evolution in irradiated materials, hydrogen/helium effect, and free volume in thin films, as a result of the continuous development of slow positron beam and the improvement of various experimental test methods based on slow positron beam. In this paper, the basic principles of the coincidence Doppler broadening technique are briefly discussed, and the application research progress of the coincidence Doppler broadening technique in various materials is reviewed by combining the reported developments: 1) the evolution behaviour of nanoscale precipitation in alloys; 2) the interaction between lattice vacancies and impurity atoms in semiconductors; 3) the changes of oxygen vacancy and metal cation concentration in oxide material. In addition, coincident Doppler broadening technology has been steadily used to estimate and quantify the sizes, quantities, and distributions of free volume holes in polymers.
Positron annihilation technique is an atomic-scale characterization method used to analyze the defects and microstructure of materials, which is extremely sensitive to open volume defects. By examining the annihilation behaviour of positrons and electrons in open volume defects, local electron density and atomic structure information around the annihilation site can be obtained, such as the size and concentration of vacancies, and vacancy clusters. In recent years, positron annihilation spectroscopy has evolved into a superior tool for characterizing features of material compared with conventional methods. The coincident Doppler broadening technique provides unique advantages for examining the local electronic structure and chemical environment (elemental composition) information about defects due to its effectiveness describing high momentum electronic information. The low momentum portion of the quotient spectrum indicates the Doppler shift generated by the annihilation of valence electrons near the vacancy defect. Changes in the peak amplitudes and positions of the characteristic peaks in the high momentum region can reveal elemental information about the positron annihilation point. The physical mechanism of element segregation, the structural features of open volume defects and the interaction between interstitial atoms and vacancy defects are well investigated by using the coincidence Doppler broadening technology. In recent years, based on the development of Doppler broadening technology, the sensitivity of slow positron beam coincidence Doppler broadening technology with adjustable energy has been significantly enhanced at a certain depth. It is notable that slow positron beam techniques can offer surface, defect, and interface microstructural information as a function of material depth. It compensates for the fact that the traditional coincidence Doppler broadening technique can only determine the overall defect information. Positron annihilation technology has been applied to the fields of second phase evolution in irradiated materials, hydrogen/helium effect, and free volume in thin films, as a result of the continuous development of slow positron beam and the improvement of various experimental test methods based on slow positron beam. In this paper, the basic principles of the coincidence Doppler broadening technique are briefly discussed, and the application research progress of the coincidence Doppler broadening technique in various materials is reviewed by combining the reported developments: 1) the evolution behaviour of nanoscale precipitation in alloys; 2) the interaction between lattice vacancies and impurity atoms in semiconductors; 3) the changes of oxygen vacancy and metal cation concentration in oxide material. In addition, coincident Doppler broadening technology has been steadily used to estimate and quantify the sizes, quantities, and distributions of free volume holes in polymers.
2024, 73(7): 070201.
doi:10.7498/aps.73.20231778
Abstract:
The high polarizability of Rydberg atoms enables the multi-parameters measurement of electromagnetic fields. In this paper, we report on an atomic antenna based on Rydberg atoms in a room temperature vapor cell. The EIT is a destructive interference spectroscopy with a narrow linewidth and can be used to detect small electric fields through Autler-Townes splitting or Stark shifts. In our experiments, we employ cascade-type two-photon excitation electromagnetically induced transparency (EIT) spectroscopy to measure the shift of the Rydberg energy level. We introduce a low-frequency electric field (~kHz frequency) using a built-in electrode technique in the cesium cell. The interaction between the Rydberg atom and electric field induces the Stark shifts, where the amplitude of the electric field is converted into corresponding two-photon detuning by the EIT effect. Furthermore, the amplitude of the low-frequency electric field is converted into an intensity signal of EIT probe beam. Under weak field conditions, it is an approximate linear relationship between EIT transmission signal and input electric field amplitude, enabling measurement of waveform, amplitude, and frequency. We have demonstrated optical measurements of low-frequency electric field using Rydberg atoms. By increasing the power of probe beam and coupling beam, the EIT can increase the response bandwidth from ~MHz to hundreds of MHz. This provides a scalable approach for measuring high-frequency electric fields.
The high polarizability of Rydberg atoms enables the multi-parameters measurement of electromagnetic fields. In this paper, we report on an atomic antenna based on Rydberg atoms in a room temperature vapor cell. The EIT is a destructive interference spectroscopy with a narrow linewidth and can be used to detect small electric fields through Autler-Townes splitting or Stark shifts. In our experiments, we employ cascade-type two-photon excitation electromagnetically induced transparency (EIT) spectroscopy to measure the shift of the Rydberg energy level. We introduce a low-frequency electric field (~kHz frequency) using a built-in electrode technique in the cesium cell. The interaction between the Rydberg atom and electric field induces the Stark shifts, where the amplitude of the electric field is converted into corresponding two-photon detuning by the EIT effect. Furthermore, the amplitude of the low-frequency electric field is converted into an intensity signal of EIT probe beam. Under weak field conditions, it is an approximate linear relationship between EIT transmission signal and input electric field amplitude, enabling measurement of waveform, amplitude, and frequency. We have demonstrated optical measurements of low-frequency electric field using Rydberg atoms. By increasing the power of probe beam and coupling beam, the EIT can increase the response bandwidth from ~MHz to hundreds of MHz. This provides a scalable approach for measuring high-frequency electric fields.
2024, 73(7): 070703.
doi:10.7498/aps.73.20231785
Abstract:
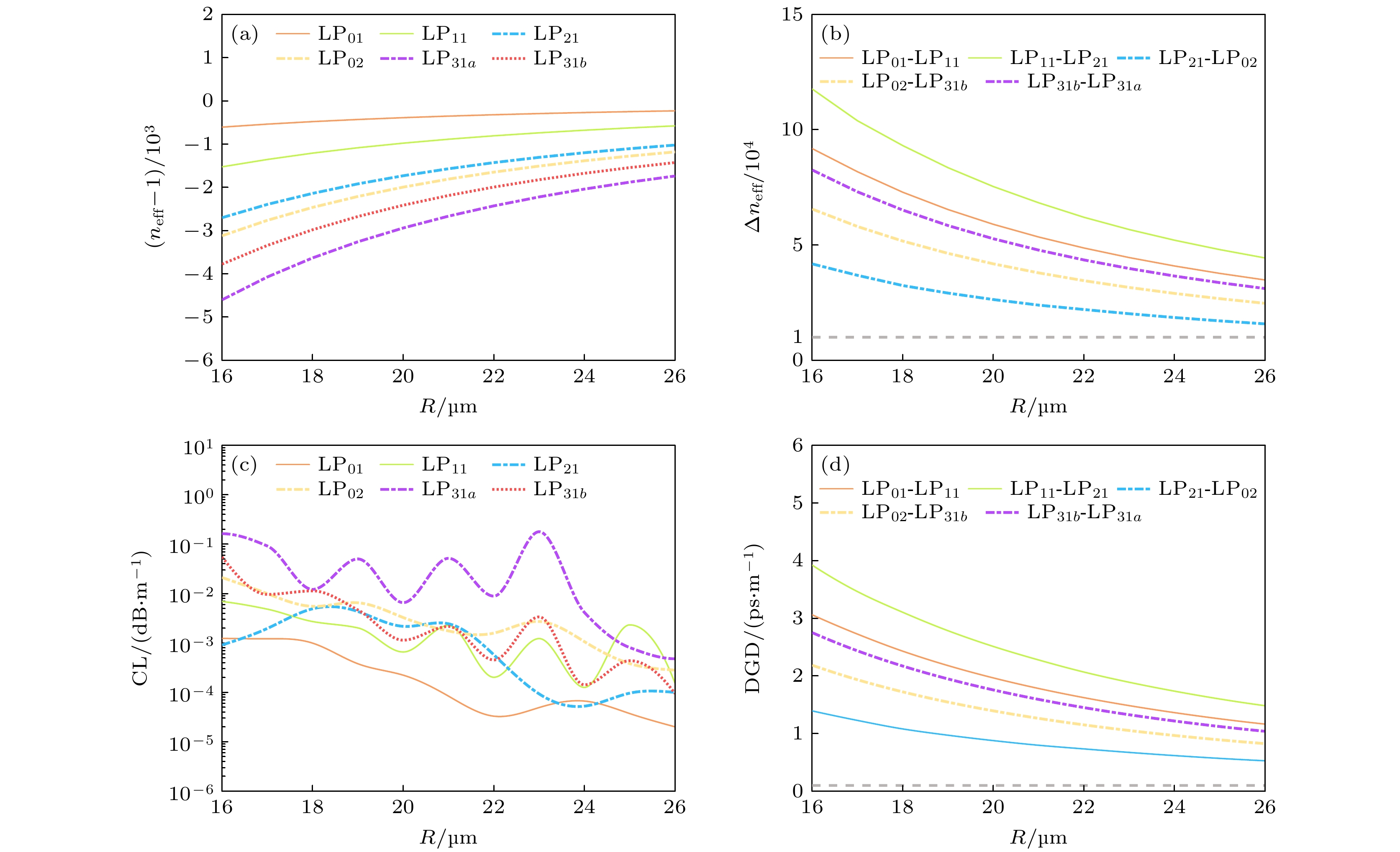
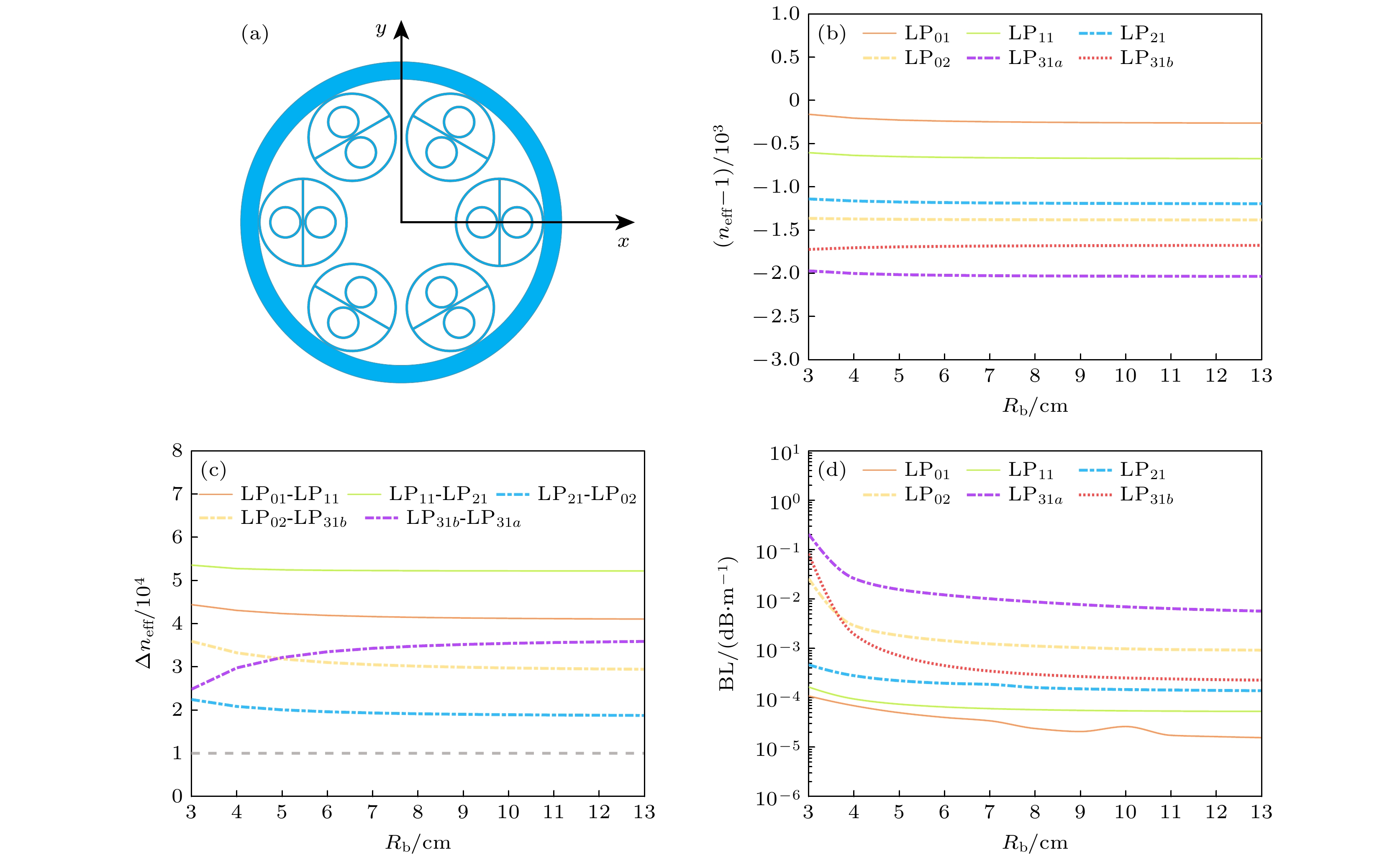
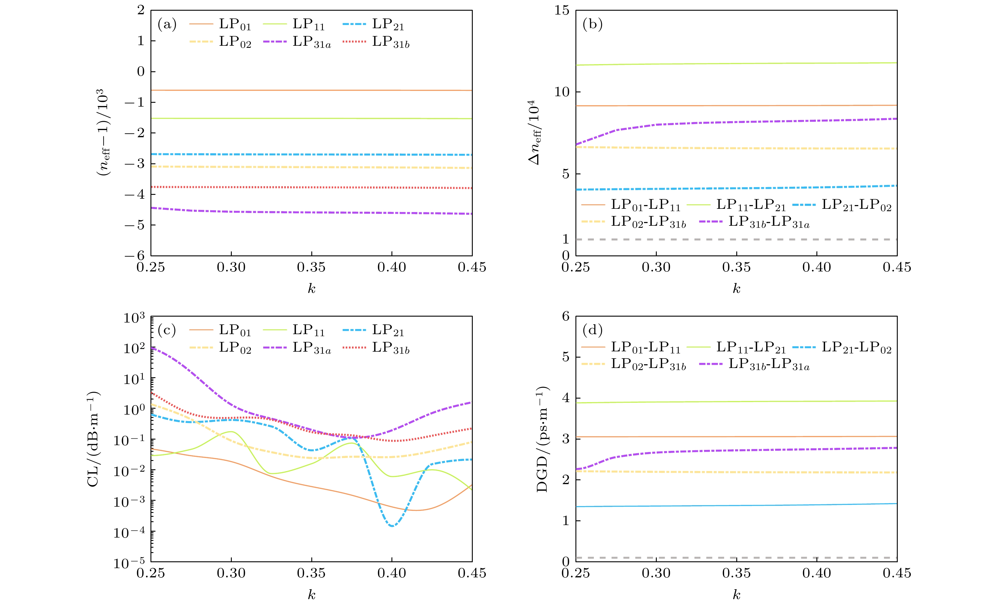
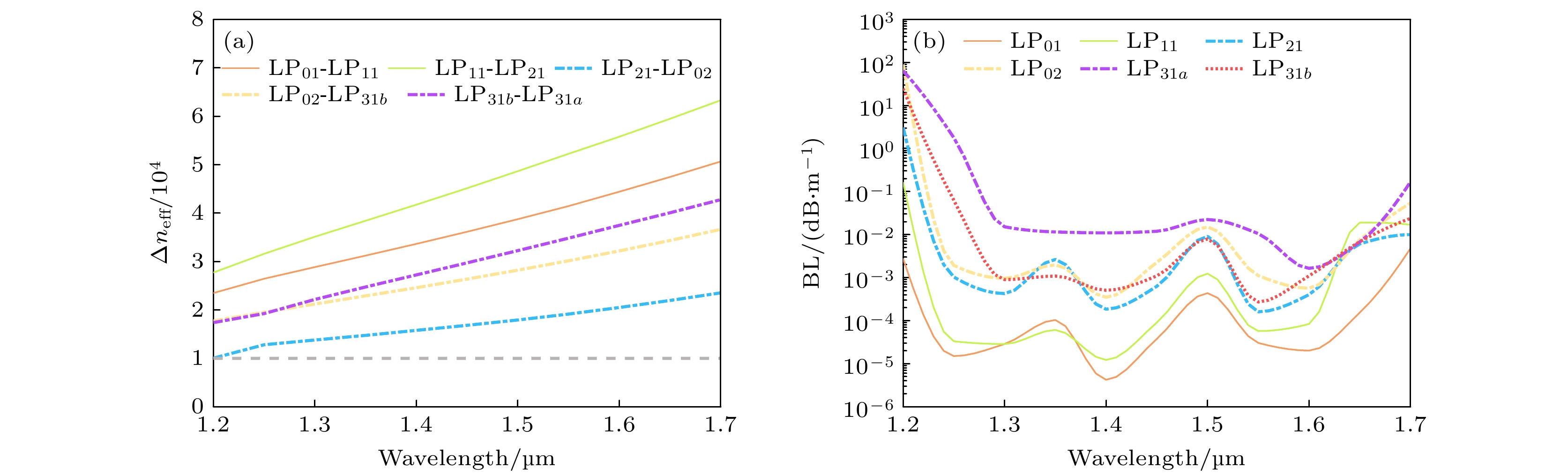
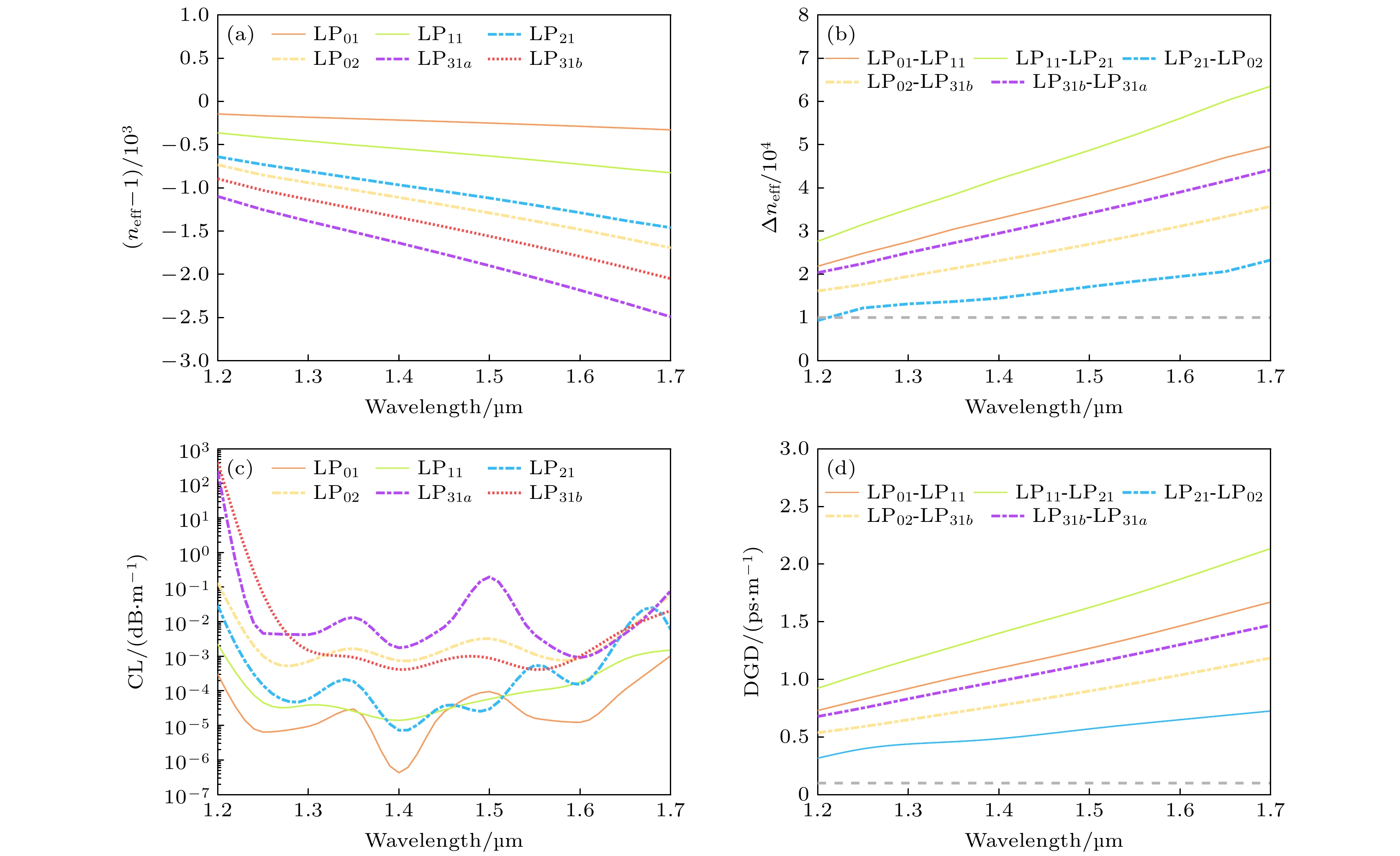
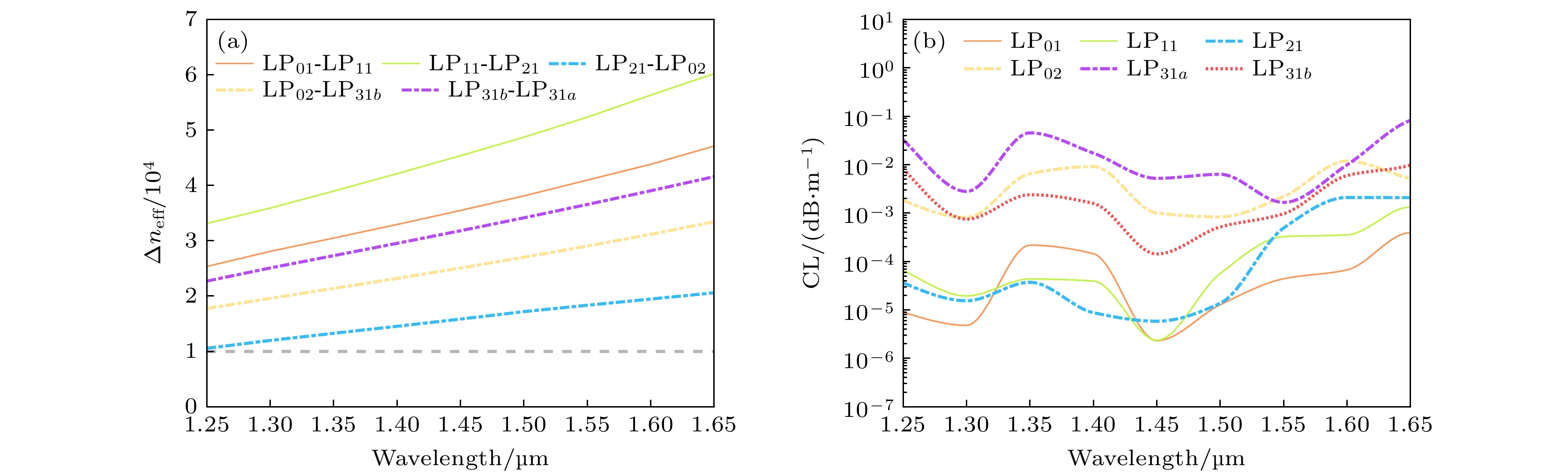
Few-mode optical fibers have played an increasingly important role in breaking through the transmission capacity limitations of single-mode optical fiber and alleviating the bandwidth crisis in optic fiber communication systems in recent years. Nevertheless, traditional solid core few-mode optical fibers usually suffer optical fiber nonlinearity and mode coupling, leading to mode crosstalk between channels. Hollow core negative curvature fibers (HC-NCF) have attracted widespread attention due to their advantages, such as low latency, low nonlinearity, low dispersion, low transmission loss, and large operating bandwidth. In this work, a novel low-loss few-mode HC-NCF with symmetrically double ring nested tube structure is designed, which supports six core modes including LP01, LP11, LP21, LP02, LP31a, and LP31b. The designed optical fiber is based on silica dioxide substrate and adopts a unique symmetrical double ring nested cladding structure, which can effectively suppress the coupling between the core mode and the cladding mode. The finite element method (FDE) is used to numerically analyze the properties of the proposed few-mode HC-NCF and optimize the structural parameters of the few-mode HC-NCF. Moreover, the confinement loss and bending loss of all core modes are investigated. The simulation results show that the proposed few-mode HC-NCF can support the independent transmission of six weakly coupled core modes (with the effective refractive index difference greater than 1×10–4between the adjacent core modes, which greatly avoids the coupling between the adjacent modes in the fiber core). In the 400 nm bandwidth (1.23–1.63 μm, covering the O, E, S, C, and L bands), all six modes in the fiber core maintain low loss transmission. Moreover, in the range of 1.3–1.63 μm, the confinement loss (CL) of LP01, LP11and LP21mode are all less than 1×10–3dB/m, and the CL of LP02and LP31bmode are both less than 3×10–3dB/m. The CL of each mode reaches the lowest value at 1.4 μm, and the LP01mode has the lowest CL of 4.3×10–7dB/m. In addition, for a bending radius of 7 cm, each mode maintains the low bending loss characteristic in a certain operating wavelength range. In the range of 1.23–1.61 μm, the BL of LP01is less than 4.5×10–4dB/m, and the BL of LP11is less than 1.3×10–3dB/m. The tolerance analysis shows that even with the deviation of structural parameters of ±1%, the few-mode HC-NCF can still maintain the characteristic of low-loss and weak coupling. The designed few-mode HC-NCF has ultra-low CL and bending-insensitive characteristics while supporting independent transmission of six modes, which will find huge potential applications in future high performance mode division multiplexing systems.
Few-mode optical fibers have played an increasingly important role in breaking through the transmission capacity limitations of single-mode optical fiber and alleviating the bandwidth crisis in optic fiber communication systems in recent years. Nevertheless, traditional solid core few-mode optical fibers usually suffer optical fiber nonlinearity and mode coupling, leading to mode crosstalk between channels. Hollow core negative curvature fibers (HC-NCF) have attracted widespread attention due to their advantages, such as low latency, low nonlinearity, low dispersion, low transmission loss, and large operating bandwidth. In this work, a novel low-loss few-mode HC-NCF with symmetrically double ring nested tube structure is designed, which supports six core modes including LP01, LP11, LP21, LP02, LP31a, and LP31b. The designed optical fiber is based on silica dioxide substrate and adopts a unique symmetrical double ring nested cladding structure, which can effectively suppress the coupling between the core mode and the cladding mode. The finite element method (FDE) is used to numerically analyze the properties of the proposed few-mode HC-NCF and optimize the structural parameters of the few-mode HC-NCF. Moreover, the confinement loss and bending loss of all core modes are investigated. The simulation results show that the proposed few-mode HC-NCF can support the independent transmission of six weakly coupled core modes (with the effective refractive index difference greater than 1×10–4between the adjacent core modes, which greatly avoids the coupling between the adjacent modes in the fiber core). In the 400 nm bandwidth (1.23–1.63 μm, covering the O, E, S, C, and L bands), all six modes in the fiber core maintain low loss transmission. Moreover, in the range of 1.3–1.63 μm, the confinement loss (CL) of LP01, LP11and LP21mode are all less than 1×10–3dB/m, and the CL of LP02and LP31bmode are both less than 3×10–3dB/m. The CL of each mode reaches the lowest value at 1.4 μm, and the LP01mode has the lowest CL of 4.3×10–7dB/m. In addition, for a bending radius of 7 cm, each mode maintains the low bending loss characteristic in a certain operating wavelength range. In the range of 1.23–1.61 μm, the BL of LP01is less than 4.5×10–4dB/m, and the BL of LP11is less than 1.3×10–3dB/m. The tolerance analysis shows that even with the deviation of structural parameters of ±1%, the few-mode HC-NCF can still maintain the characteristic of low-loss and weak coupling. The designed few-mode HC-NCF has ultra-low CL and bending-insensitive characteristics while supporting independent transmission of six modes, which will find huge potential applications in future high performance mode division multiplexing systems.
2024, 73(7): 072801.
doi:10.7498/aps.73.20231957
Abstract:
Neutron capture reaction is one of the neutron reactions and plays an important role in using reactor control rods and shell materials, designing nuclear device structures, and studying nuclear astrophysics S processes and element origins. The 4π BaF2detection device has advantages such as high time resolution, low neutron sensitivity, and high detection efficiency, thus making it suitable for measuring neutron radiation capture reaction cross-section data. In order to fill the gap in our neutron capture reaction data in the keV energy range and improve their accuracy, the Key Laboratory of Nuclear Data at the Chinese Institute of Atomic Energy (CIAE) has established a Gamma Total Absorption Facility (GTAF), which consists of 28 hexagonal BaF2crystals and 12 pentagonal BaF2crystals to form a spherical shell with an external diameter of 25 cm and an internal diameter of 10 cm, covering 95.2% of the solid angles. The Back-n beam line of the Chinese Spallation Neutron Source (CSNS) is a back-streaming white beam line that covers neutron energy ranging from a few eV to several hundred MeV, making it suitable for measuring neutron capture cross-sections. The reaction cross-section data of197Au is measured by using GTAF on the Back-n beam line. The measurement data are preliminarily background deducted through energy screening, PSD method, and crystal multiplicity screening. Subsequently, the background is analyzed and deducted based on the measurement data ofnatC and empty samples, and the yield of197Au capture reaction is obtained. Resonance parameters are a set of parameters extracted from experimental data to describe the resonance curve, which can eliminate the influence of experimental conditions on resonance data and are more important than the cross-section obtained from experiments. The resonance energy, neutron resonance width, and gamma resonance width parameters of197Au at 1–100 eV are fitted by using the SAMMY program. From the comparison between the resonance curves obtained from experimental measurements and the resonance parameters obtained from fitting with the ENDF/B-VIII.0 database, it can follow that the experimental measurement results are in good agreement with the database, nevertheless, there exist some differences in the resonance parameter, which may be due to the GTAF energy resolution, Back-n neutron spectrum measurement accuracy, and the experimental background deduction method. Our next work is to identify the sources of difference.
Neutron capture reaction is one of the neutron reactions and plays an important role in using reactor control rods and shell materials, designing nuclear device structures, and studying nuclear astrophysics S processes and element origins. The 4π BaF2detection device has advantages such as high time resolution, low neutron sensitivity, and high detection efficiency, thus making it suitable for measuring neutron radiation capture reaction cross-section data. In order to fill the gap in our neutron capture reaction data in the keV energy range and improve their accuracy, the Key Laboratory of Nuclear Data at the Chinese Institute of Atomic Energy (CIAE) has established a Gamma Total Absorption Facility (GTAF), which consists of 28 hexagonal BaF2crystals and 12 pentagonal BaF2crystals to form a spherical shell with an external diameter of 25 cm and an internal diameter of 10 cm, covering 95.2% of the solid angles. The Back-n beam line of the Chinese Spallation Neutron Source (CSNS) is a back-streaming white beam line that covers neutron energy ranging from a few eV to several hundred MeV, making it suitable for measuring neutron capture cross-sections. The reaction cross-section data of197Au is measured by using GTAF on the Back-n beam line. The measurement data are preliminarily background deducted through energy screening, PSD method, and crystal multiplicity screening. Subsequently, the background is analyzed and deducted based on the measurement data ofnatC and empty samples, and the yield of197Au capture reaction is obtained. Resonance parameters are a set of parameters extracted from experimental data to describe the resonance curve, which can eliminate the influence of experimental conditions on resonance data and are more important than the cross-section obtained from experiments. The resonance energy, neutron resonance width, and gamma resonance width parameters of197Au at 1–100 eV are fitted by using the SAMMY program. From the comparison between the resonance curves obtained from experimental measurements and the resonance parameters obtained from fitting with the ENDF/B-VIII.0 database, it can follow that the experimental measurement results are in good agreement with the database, nevertheless, there exist some differences in the resonance parameter, which may be due to the GTAF energy resolution, Back-n neutron spectrum measurement accuracy, and the experimental background deduction method. Our next work is to identify the sources of difference.
2024, 73(7): 072802.
doi:10.7498/aps.73.20231661
Abstract:
Monte Carlo (MC) method is a powerful tool for solving particle transport problems. However, it is extremely time-consuming to obtain results that meet the specified statistical error requirements, especially for large-scale refined models. This paper focuses on improving the computational efficiency of neutron transport simulations. Specifically, this study presents a novel method of efficiently calculating neutron fixed source problems, which has many applications. This type of particle transport problem aims at obtaining a fixed target tally corresponding to different source distributions for fixed geometry and material. First, an efficient simulation is achieved by treating the source distribution as the input to a neural network, with the estimated target tally as the output. This neural network is trained with data from MC simulations of diverse source distributions, ensuring its reusability. Second, since the data acquisition is time consuming, the importance principle of MC method is utilized to efficiently generate training data. This method has been tested on several benchmark models. The relative errors resulting from neural networks are less than 5% and the times needed to obtain these results are negligible compared with those for original Monte Carlo simulations. In conclusion, in this work we propose a method to train neural networks, with MC simulation results containing importance data and we also use this network to accelerate the computation of neutron fixed source problems.
Monte Carlo (MC) method is a powerful tool for solving particle transport problems. However, it is extremely time-consuming to obtain results that meet the specified statistical error requirements, especially for large-scale refined models. This paper focuses on improving the computational efficiency of neutron transport simulations. Specifically, this study presents a novel method of efficiently calculating neutron fixed source problems, which has many applications. This type of particle transport problem aims at obtaining a fixed target tally corresponding to different source distributions for fixed geometry and material. First, an efficient simulation is achieved by treating the source distribution as the input to a neural network, with the estimated target tally as the output. This neural network is trained with data from MC simulations of diverse source distributions, ensuring its reusability. Second, since the data acquisition is time consuming, the importance principle of MC method is utilized to efficiently generate training data. This method has been tested on several benchmark models. The relative errors resulting from neural networks are less than 5% and the times needed to obtain these results are negligible compared with those for original Monte Carlo simulations. In conclusion, in this work we propose a method to train neural networks, with MC simulation results containing importance data and we also use this network to accelerate the computation of neutron fixed source problems.
2024, 73(7): 072901.
doi:10.7498/aps.73.20231980
Abstract:
In neutron reaction cross-section measurements, the prompt gamma ray method is a method of obtaining cross-section data by measuring the characteristic gamma rays emitted by a nuclear reaction, thereby avoiding the interference generated by competing reaction channels. However, the prompt gamma ray method is an on-line experiment with abundant background sources, high background counts of the obtained experimental spectra, and numerous interferences such as weak peaks, overlapping peaks, Compton scattering peaks, and neutron effect peaks of Ge in HPGe, which cause the difficulty in analysing the on-line experimental spectra and the high uncertainty in the results. In this work, we study and summarise the spectrum analysis techniques of the prompt gamma ray method that can be used for measuring the neutron cross-section, and comprehensively consider the physical processes of the formation of different characteristic peaks of the prompt gamma ray method, so as to reduce the uncertainty of calculating the net area of the effect peaks in the process of on-line experimental spectrum processing. The Compton edge, weak peaks, overlapping peaks, and the neutron response peaks of the HPGe detector on-line experiment are discussed and analysed, and the net area of the effect peaks is accurately extracted by combining several reasonable functions to fit the total energy peak, the background, and the interferences. For the net area of weak peaks, this method can reduce the peak area selection caused fluctuation from 30% to less than 1%, and the difference between the fitted value of the net area and the theoretical value is comparable to the statistical uncertainty; for the overlapping peaks’ decomposition, the difference between the results obtained by this method and the theoretical value is significantly lower than 1%. The reliability of the spectral analysis method is simultaneously verified by efficiency curve analysis and goodness-of-fit calculation.
In neutron reaction cross-section measurements, the prompt gamma ray method is a method of obtaining cross-section data by measuring the characteristic gamma rays emitted by a nuclear reaction, thereby avoiding the interference generated by competing reaction channels. However, the prompt gamma ray method is an on-line experiment with abundant background sources, high background counts of the obtained experimental spectra, and numerous interferences such as weak peaks, overlapping peaks, Compton scattering peaks, and neutron effect peaks of Ge in HPGe, which cause the difficulty in analysing the on-line experimental spectra and the high uncertainty in the results. In this work, we study and summarise the spectrum analysis techniques of the prompt gamma ray method that can be used for measuring the neutron cross-section, and comprehensively consider the physical processes of the formation of different characteristic peaks of the prompt gamma ray method, so as to reduce the uncertainty of calculating the net area of the effect peaks in the process of on-line experimental spectrum processing. The Compton edge, weak peaks, overlapping peaks, and the neutron response peaks of the HPGe detector on-line experiment are discussed and analysed, and the net area of the effect peaks is accurately extracted by combining several reasonable functions to fit the total energy peak, the background, and the interferences. For the net area of weak peaks, this method can reduce the peak area selection caused fluctuation from 30% to less than 1%, and the difference between the fitted value of the net area and the theoretical value is comparable to the statistical uncertainty; for the overlapping peaks’ decomposition, the difference between the results obtained by this method and the theoretical value is significantly lower than 1%. The reliability of the spectral analysis method is simultaneously verified by efficiency curve analysis and goodness-of-fit calculation.
2024, 73(7): 073101.
doi:10.7498/aps.73.20231432
Abstract:
MXene materials have received increasing attention due to their unique properties and potential applications. Ti2CO2, as a typical MXene material that has been prepared, has been widely studied. The adsorption characteristics of two-dimensional materials for gas molecules can be significantly improved through transition metal modification. However, there are few studies on the use of transition metals to modify Ti2CO2. In this work, the adsorption processes of different harmful gases (CO, NH3, NO, SO2, CH4, H2S) on the surfaces of these two materials, i.e. Ti2CO2and metal Sc modified Ti2CO2,are studied and analyzed based on first-principles density functional theory and generalized gradient method. The geometric optimization calculation of the metal-modified adsorption harmful gas structure is carried out, and the kinetic energy cutoff energy of the plane wave basis set is taken as 450 eV. The calculation results show that the structure in which Sc atoms are located above the C atoms in the hollow position has a large binding energy, but it is smaller than the experimental value of the cohesive energy of solid Sc (3.90 eV). Sc atoms can effectively avoid clustering. Surface Sc metal provides active sites for gas adsorption. By analyzing the optimal adsorption points, adsorption energy and other parameters of different gases, the adsorption effects of metal Sc-modified Ti2CO2on these gases are analyzed. Among them, the adsorption effect of SO2is better, the adsorption energy is increased from –0.314 eV to –2.043 eV, and the adsorption effects of other gases are improved. Due to the introduction of new atoms on the surface of Ti2CO2, the carrier density and carrier mobility of the material are increased, thereby improving the charge transfer on the surface of the material, which is beneficial to its sensitivity to gas molecules. The results of density of states and work function further verify that the carrier density and carrier mobility of Sc-Ti2CO2are increased, which is beneficial to gas adsorption. It is expected that the metal Sc-modified Ti2CO2becomes an excellent gas-sensing material for the detection of CO, NH3, NO, SO2, CH4and H2S, and the present work can provide a reference for theoretically studying the gas-sensing performance of metal Sc-modified Ti2CO2materials.
MXene materials have received increasing attention due to their unique properties and potential applications. Ti2CO2, as a typical MXene material that has been prepared, has been widely studied. The adsorption characteristics of two-dimensional materials for gas molecules can be significantly improved through transition metal modification. However, there are few studies on the use of transition metals to modify Ti2CO2. In this work, the adsorption processes of different harmful gases (CO, NH3, NO, SO2, CH4, H2S) on the surfaces of these two materials, i.e. Ti2CO2and metal Sc modified Ti2CO2,are studied and analyzed based on first-principles density functional theory and generalized gradient method. The geometric optimization calculation of the metal-modified adsorption harmful gas structure is carried out, and the kinetic energy cutoff energy of the plane wave basis set is taken as 450 eV. The calculation results show that the structure in which Sc atoms are located above the C atoms in the hollow position has a large binding energy, but it is smaller than the experimental value of the cohesive energy of solid Sc (3.90 eV). Sc atoms can effectively avoid clustering. Surface Sc metal provides active sites for gas adsorption. By analyzing the optimal adsorption points, adsorption energy and other parameters of different gases, the adsorption effects of metal Sc-modified Ti2CO2on these gases are analyzed. Among them, the adsorption effect of SO2is better, the adsorption energy is increased from –0.314 eV to –2.043 eV, and the adsorption effects of other gases are improved. Due to the introduction of new atoms on the surface of Ti2CO2, the carrier density and carrier mobility of the material are increased, thereby improving the charge transfer on the surface of the material, which is beneficial to its sensitivity to gas molecules. The results of density of states and work function further verify that the carrier density and carrier mobility of Sc-Ti2CO2are increased, which is beneficial to gas adsorption. It is expected that the metal Sc-modified Ti2CO2becomes an excellent gas-sensing material for the detection of CO, NH3, NO, SO2, CH4and H2S, and the present work can provide a reference for theoretically studying the gas-sensing performance of metal Sc-modified Ti2CO2materials.
2024, 73(7): 073401.
doi:10.7498/aps.73.20231736
Abstract:
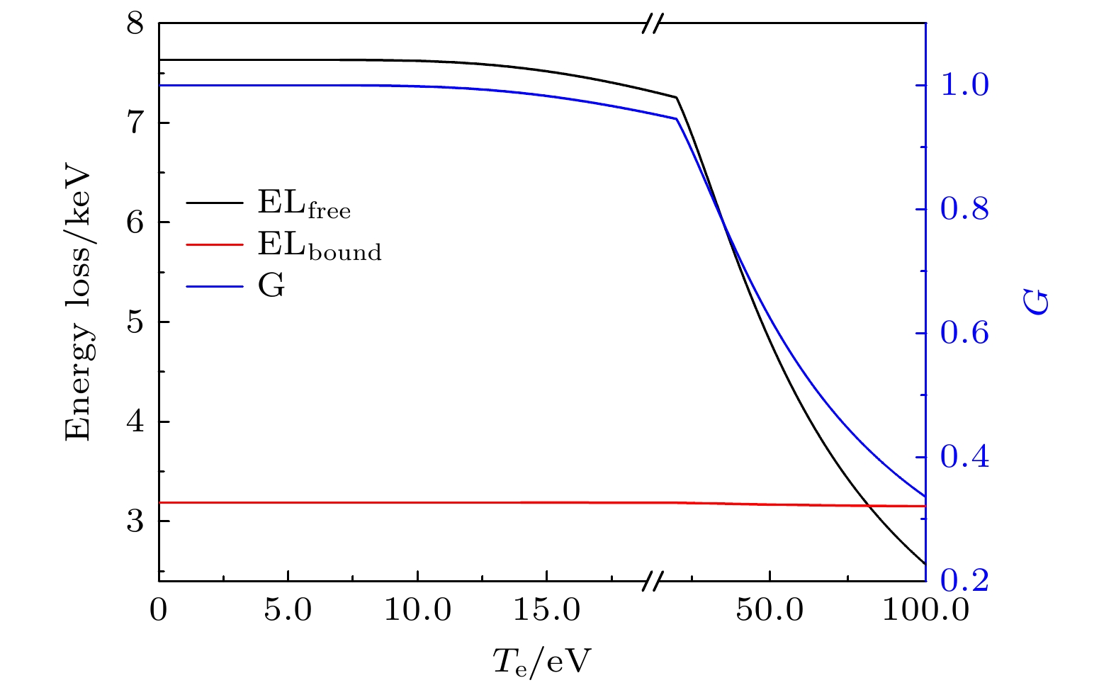
Partially ionized plasma contains the bound electrons, which have an effect on the instability of the plasma. The evolution process of bound electron density cannot be obtained by using the existing optical method used for diagnosing the free electron density. In this work, we carry out a high-precision experiment: the energy loss of a 100 keV proton beam penetrating through the partially ionized hydrogen plasma target is measured on the platform of ion beam-plasma interaction at the Institute of Modern Physics, Chinese Academy of Sciences. The bound electron density is obtained according to the energy loss model of Bethe theory. The free electron density is measured by laser interferometry and the electron tempercture is obtained from the measured spectrum (Te= 0.68 eV;nfe= 2.41×1017cm–2). It is found that the bound electron density decreases during plasma lifetime. The diagnosis of bound electron density by measuring energy loss of ion beam has the advantages of on-line, in-situ and high resolution, thus providing a new way to solve the problem about measuring the bound electron density in partially ionized plasma. A COMSOL simulation reveals that the high-temperature free electrons will be ejected quickly out of the plasma area through a mechanical diaphragm, thus reducing the total number of free electrons. In order to maintain a relatively high degree of ionization in this plasma, in principle, more and more bound electrons are ionized into free electrons, the density of bound electrons decreases correspondingly. The simulation result accords well with our experimental data. Based on this finding, more detailed plasma target parameter is obtained, which is helpful in deepening the understanding of the interaction process between ion beam and plasma. In future, more researches of low low-energy highly-charged ions-plasma interaction will be conducted.
Partially ionized plasma contains the bound electrons, which have an effect on the instability of the plasma. The evolution process of bound electron density cannot be obtained by using the existing optical method used for diagnosing the free electron density. In this work, we carry out a high-precision experiment: the energy loss of a 100 keV proton beam penetrating through the partially ionized hydrogen plasma target is measured on the platform of ion beam-plasma interaction at the Institute of Modern Physics, Chinese Academy of Sciences. The bound electron density is obtained according to the energy loss model of Bethe theory. The free electron density is measured by laser interferometry and the electron tempercture is obtained from the measured spectrum (Te= 0.68 eV;nfe= 2.41×1017cm–2). It is found that the bound electron density decreases during plasma lifetime. The diagnosis of bound electron density by measuring energy loss of ion beam has the advantages of on-line, in-situ and high resolution, thus providing a new way to solve the problem about measuring the bound electron density in partially ionized plasma. A COMSOL simulation reveals that the high-temperature free electrons will be ejected quickly out of the plasma area through a mechanical diaphragm, thus reducing the total number of free electrons. In order to maintain a relatively high degree of ionization in this plasma, in principle, more and more bound electrons are ionized into free electrons, the density of bound electrons decreases correspondingly. The simulation result accords well with our experimental data. Based on this finding, more detailed plasma target parameter is obtained, which is helpful in deepening the understanding of the interaction process between ion beam and plasma. In future, more researches of low low-energy highly-charged ions-plasma interaction will be conducted.
2024, 73(7): 074101.
doi:10.7498/aps.73.20231781
Abstract:
In recent years, electromagnetic (EM) wave absorbing devices based on metamaterials have attracted widespread attention, due to their advantages such as broadband, easy preparation, and flexibility to tailor EM waves. Nevertheless, a review of the existing research reveals that the inherent sub-wavelength characteristics of metamaterials and metasurfaces impose certain constraints on their applications in low-frequency ranges. In order to achieve low detectability that takes into account both low-frequency and broadband absorbing performance, this work, presents a metamaterial absorber based on 5-layer gradient resistance film and dielectric composite structure, as shown in
Fig. (a)
. To begin with, we introduce the structural design of the initial element, and based on this, the transmission line theory and impedance matching principle are used to analyze the strong wave absorption conditions of the absorber element. In terms of the element structure optimization, the genetic algorithm is adopted to globally search for the optimal solution in the multi-variable domain, resulting in the rapid determination of metamaterial elements’ configurations and resistance parameters that meet the design goals. In the simulation, the wave absorption performance and mechanism of the designed absorbing element are also investigated in an in-depth manner. Simulation results show that the designed metamaterial absorber can achieve more than 90% EM wave absorption in a frequency range of 1.62–19.16 GHz (with a relative bandwidth of 168.8%) under normal incidence of linearly polarized plane waves, which effectively expands the absorption bandwidth to the L band and K band. In addition, the simulations for oblique incidence at different polarizations provide strong evidence for the device’s insensitivity to both polarization and angle. The radar cross section (RCS) curves obtained by the time domain (TD) simulation illustrate that the novel structure can achieve more than 10 dB RCS reduction in a frequency range of 1.7–20 GHz. In the device's performance verification process, a metamaterial absorber with 20 × 20 elements and dimensions of 1.566
\begin{document}$ {\lambda }_{l} $\end{document}
×1.566
\begin{document}$ {\lambda }_{l} $\end{document}
× 0.113
\begin{document}$ {\lambda }_{l} $\end{document}
is fabricated and tested by using the bow method reflectivity test system. The absorptivity curves under 5° oblique incidence of different polarizations, show that the proposed metamaterial absorber can realize more than 80% EM absorption in an entire frequency range from 2 to 18 GHz, the test results of different polarizations are basically consistent. The test results at oblique incidence (θ≥ 30°) show that although the measured and simulated curves exhibit discrepancies in certain frequency bands due to human error or material dispersion characteristics, the overall experimental results are consistent with our expectations, which fully proves that the designed metamaterial absorber has potential application value in the field of low-frequency and broadband EM absorption.
In recent years, electromagnetic (EM) wave absorbing devices based on metamaterials have attracted widespread attention, due to their advantages such as broadband, easy preparation, and flexibility to tailor EM waves. Nevertheless, a review of the existing research reveals that the inherent sub-wavelength characteristics of metamaterials and metasurfaces impose certain constraints on their applications in low-frequency ranges. In order to achieve low detectability that takes into account both low-frequency and broadband absorbing performance, this work, presents a metamaterial absorber based on 5-layer gradient resistance film and dielectric composite structure, as shown in
2024, 73(7): 074201.
doi:10.7498/aps.73.20231874
Abstract:
In recent years, the high-dimensional properties of the orbital angular momentum degree of freedom of light have attracted extensive attention. This degree of freedom has been studied and used in many scientific fields, especially in optical communication and quantum information. In order to fully utilize the high-dimensional properties of orbital angular momentum, non-destructive separation of different orbital angular momentum states has become a fundamental requirement. However, the existing orbital angular momentum beam-splitting systems either lack stability and cascade expansibility, or the properties of the separated orbital angular momentum states are seriously damaged, thus failing to participate in further interaction processes. In this work, we construct a miniature Mach-Zehnder interferometer based on the beam displacer, and design an orbital angular momentum beam splitter, thereby realizing the non-destructive beam splitting of orbital angular momentum mode. In the orbital angular momentum splitter, the theoretical energy loss is zero because there exists only total reflection of the beam. The beam in the miniature Mach-Zehnder interferometer passes through the same optical element, and the spatial deviation of the beam is small, so the orbital angular momentum beam splitter has good stability. In addition, because the separated orbital angular momentum state has the same propagation direction as the incident orbital angular momentum state, the beam splitter has good extensibility and is easy to use in cascade. Our research result is of great significance in using the orbital angular momentum as a high-dimensional degree of freedom in optical communication and other related fields.
In recent years, the high-dimensional properties of the orbital angular momentum degree of freedom of light have attracted extensive attention. This degree of freedom has been studied and used in many scientific fields, especially in optical communication and quantum information. In order to fully utilize the high-dimensional properties of orbital angular momentum, non-destructive separation of different orbital angular momentum states has become a fundamental requirement. However, the existing orbital angular momentum beam-splitting systems either lack stability and cascade expansibility, or the properties of the separated orbital angular momentum states are seriously damaged, thus failing to participate in further interaction processes. In this work, we construct a miniature Mach-Zehnder interferometer based on the beam displacer, and design an orbital angular momentum beam splitter, thereby realizing the non-destructive beam splitting of orbital angular momentum mode. In the orbital angular momentum splitter, the theoretical energy loss is zero because there exists only total reflection of the beam. The beam in the miniature Mach-Zehnder interferometer passes through the same optical element, and the spatial deviation of the beam is small, so the orbital angular momentum beam splitter has good stability. In addition, because the separated orbital angular momentum state has the same propagation direction as the incident orbital angular momentum state, the beam splitter has good extensibility and is easy to use in cascade. Our research result is of great significance in using the orbital angular momentum as a high-dimensional degree of freedom in optical communication and other related fields.
Squeezing and evolution of single particle by frequency jumping in two-dimensional rotating harmonic
2024, 73(7): 074202.
doi:10.7498/aps.73.20231929
Abstract:
The control of microscopic particle behavior based on a specific external field has always been a research hotspot in the field of physics. Many studies have been exploring various methods to manipulate and control the behavior of particles at a microscopic level. In this work, we investigate the phenomenon of single-particle squeezing induced by frequency jumping in a two-dimensional rotating harmonic oscillator potential. Squeezing, as a quantum mechanical phenomenon, has attracted significant attention due to its potential applications in various fields. It refers to the reduction of fluctuations in certain physical quantities, allowing for more precise measurement results. Squeezing phenomena have been extensively studied in different physical systems, including optics, atomic physics, and solid-state physics. However, there have been few reports on the quantum state squeezing phenomenon induced by frequency jumping in a rotating harmonic oscillator potential. Therefore, our study aims to fill this gap and shed light on this intriguing phenomenon. To explore the squeezing phenomenon induced by frequency jumping, we focus on the fluctuations and squeezing of the single particle’s cyclotron radius coordinate and center-guided coordinate in the two-dimensional rotating harmonic oscillator potential. Through numerical simulations and theoretical analysis, we can understand the influence of frequency jumping on the degree of squeezing and reveal the underlying physical mechanism of squeezing evolution. In this work, we first investigate the influence of frequency jumping on the squeezing evolution of the cyclotron radius mode. By carefully selecting appropriate jumping moments, we analyze the influence of frequency jumping on the degree of squeezing. Our research results show that the degree of squeezing in the cyclotron radius coordinate remains unchanged at the jumping moment. However, we observe a stronger squeezing phenomenon in the subsequent evolution process. This indicates that frequency jumping plays a crucial role in squeezing evolution of the cyclotron radius mode. Furthermore, we focus on the squeezing evolution of the center-guided mode during frequency jumping. By selecting suitable parameters, we analyze the squeezing and evolution of two squeezing modes: the divergent mode and the oscillatory mode. Interestingly, we discover the existence of a critical potential trap aspect ratio, which is determined by the rotation angular velocity of the external potential. When the aspect ratio approaches this critical value, the squeezing mode undergoes a transition, and a significant squeezing phenomenon appears in the oscillatory mode. This finding provides valuable insights into the origin and control of squeezing phenomena. Finally, we discuss the potential applications of these squeezing phenomena. Squeezing has significant implications in the fields of quantum sensing and quantum information processing. Through a deeper understanding of the squeezing evolution process caused by frequency jump, we can better control the microscopic particle behavior through external field. This knowledge opens up new possibilities for future physical research and technical applications.
The control of microscopic particle behavior based on a specific external field has always been a research hotspot in the field of physics. Many studies have been exploring various methods to manipulate and control the behavior of particles at a microscopic level. In this work, we investigate the phenomenon of single-particle squeezing induced by frequency jumping in a two-dimensional rotating harmonic oscillator potential. Squeezing, as a quantum mechanical phenomenon, has attracted significant attention due to its potential applications in various fields. It refers to the reduction of fluctuations in certain physical quantities, allowing for more precise measurement results. Squeezing phenomena have been extensively studied in different physical systems, including optics, atomic physics, and solid-state physics. However, there have been few reports on the quantum state squeezing phenomenon induced by frequency jumping in a rotating harmonic oscillator potential. Therefore, our study aims to fill this gap and shed light on this intriguing phenomenon. To explore the squeezing phenomenon induced by frequency jumping, we focus on the fluctuations and squeezing of the single particle’s cyclotron radius coordinate and center-guided coordinate in the two-dimensional rotating harmonic oscillator potential. Through numerical simulations and theoretical analysis, we can understand the influence of frequency jumping on the degree of squeezing and reveal the underlying physical mechanism of squeezing evolution. In this work, we first investigate the influence of frequency jumping on the squeezing evolution of the cyclotron radius mode. By carefully selecting appropriate jumping moments, we analyze the influence of frequency jumping on the degree of squeezing. Our research results show that the degree of squeezing in the cyclotron radius coordinate remains unchanged at the jumping moment. However, we observe a stronger squeezing phenomenon in the subsequent evolution process. This indicates that frequency jumping plays a crucial role in squeezing evolution of the cyclotron radius mode. Furthermore, we focus on the squeezing evolution of the center-guided mode during frequency jumping. By selecting suitable parameters, we analyze the squeezing and evolution of two squeezing modes: the divergent mode and the oscillatory mode. Interestingly, we discover the existence of a critical potential trap aspect ratio, which is determined by the rotation angular velocity of the external potential. When the aspect ratio approaches this critical value, the squeezing mode undergoes a transition, and a significant squeezing phenomenon appears in the oscillatory mode. This finding provides valuable insights into the origin and control of squeezing phenomena. Finally, we discuss the potential applications of these squeezing phenomena. Squeezing has significant implications in the fields of quantum sensing and quantum information processing. Through a deeper understanding of the squeezing evolution process caused by frequency jump, we can better control the microscopic particle behavior through external field. This knowledge opens up new possibilities for future physical research and technical applications.
2024, 73(7): 074203.
doi:10.7498/aps.73.20231630
Abstract:
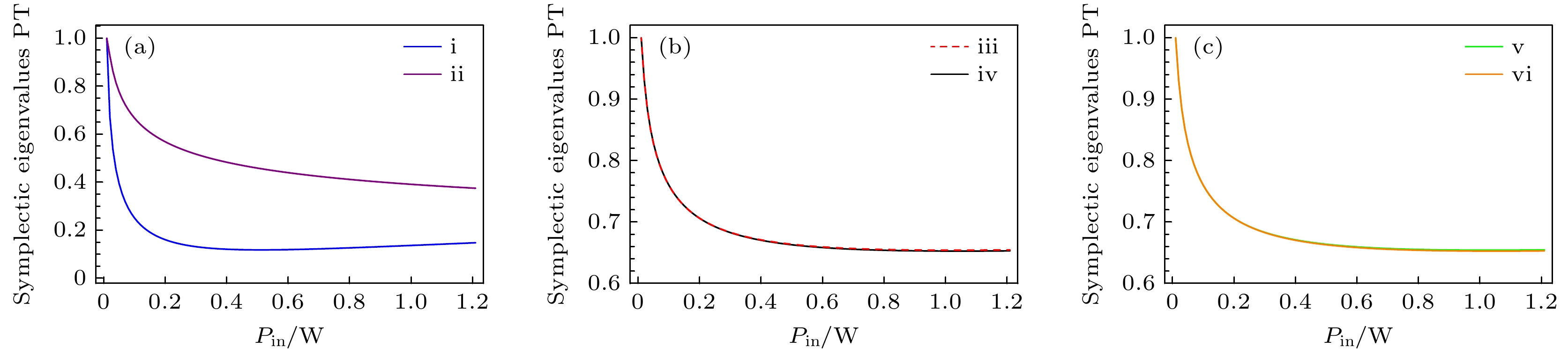
Quantum entanglement is a crucial resource for performing quantum computing and constructing quantum communication networks. The preparation and manipulation of entangled light field are the basic elements of quantum communication. With the development of science and technology, multicolor multipartite entanglement is becoming a kind of special resource for quantum information, quantum networks, and quantum memory. In this paper, we propose a scheme of generating quadripartite entanglement among four output beams from a two-port frequency doubling resonator, in which a type-II phase matching nonlinear crystal is placed. We make two fundamental-frequency pump beams with the same frequency and vertical polarization pass through the nonlinear crystal to produce two frequency-doubling beams. There is a quadripartite entanglement between the frequency-doubling beams, which are output at two ports of the optical resonator, and the incident fundamental beams. Based on the transmission matrix from the coupled wave equation, the self-consistent equations of the intracavity modes and the corresponding noise properties of the output modes can be obtained. Then, the quadripartite entanglement produced from two second harmonic beams and two reflected fundamental-frequency pump beams, is verified by using the positive partial transposition criterion, in a wide range of pumping power and analysis frequency. The setup proposed in this work is compact and experimentally feasible. It is also convenient to separate the four entangled beams spatially, with different wavelengths and polarizations. When the beam wavelengths are matched with 1560 nm (low loss window of fiber) and 780 nm (atomic absorption line of Rb), this scheme can be more useful in both quantum communication and quantum memory.
Quantum entanglement is a crucial resource for performing quantum computing and constructing quantum communication networks. The preparation and manipulation of entangled light field are the basic elements of quantum communication. With the development of science and technology, multicolor multipartite entanglement is becoming a kind of special resource for quantum information, quantum networks, and quantum memory. In this paper, we propose a scheme of generating quadripartite entanglement among four output beams from a two-port frequency doubling resonator, in which a type-II phase matching nonlinear crystal is placed. We make two fundamental-frequency pump beams with the same frequency and vertical polarization pass through the nonlinear crystal to produce two frequency-doubling beams. There is a quadripartite entanglement between the frequency-doubling beams, which are output at two ports of the optical resonator, and the incident fundamental beams. Based on the transmission matrix from the coupled wave equation, the self-consistent equations of the intracavity modes and the corresponding noise properties of the output modes can be obtained. Then, the quadripartite entanglement produced from two second harmonic beams and two reflected fundamental-frequency pump beams, is verified by using the positive partial transposition criterion, in a wide range of pumping power and analysis frequency. The setup proposed in this work is compact and experimentally feasible. It is also convenient to separate the four entangled beams spatially, with different wavelengths and polarizations. When the beam wavelengths are matched with 1560 nm (low loss window of fiber) and 780 nm (atomic absorption line of Rb), this scheme can be more useful in both quantum communication and quantum memory.
2024, 73(7): 074204.
doi:10.7498/aps.73.20231691
Abstract:
The micro-Doppler effect is a physical phenomenon generated by the micro-motion of objects and their components, which have a significant influence on improving radar detection and resolution capability and also enhancing the radar imaging and target recognition performance. The extraction of micro-Doppler frequency, as a commonly used time-frequency analysis tool, is of great significance in extracting and reconstructing the signal with micro-motion targets. The micro-motion characteristics for moving targets can be verified by using simulation through combining the theory of micro-Doppler effect with the frequency domain model of electromagnetic waves. The simulation research on the micro-motion characteristics of a three-dimensional target is conducted by using the finite element method. The influences of environmental conditions such as relative humidity, visibility, and the presence or absence of turbulence on echo intensity and time-frequency relationship are investigated theoretically. The simulation results indicate that parameters such as relative humidity and visibility, which affect the atmospheric attenuation coefficient, can reduce echo intensity and the period of time-frequency curve. By triggering off beam drift in the transmission path, turbulence can lead to “frequency shift deformation” of the time-frequency curve, degrading the extraction of target motion attitude. A motion attitude classification method is proposed in order to study the micro-Doppler effect better. According to whether the frequency shift changes with time, the motion attitude can be divided into frequency shift time-invariant motion and time-variant motion. Frequency shift time-variant motion includes translation, rolling and vibration. Vibration and rolling are motions that periodically change with time, requiring the comparison of instantaneous frequency shifts at any three times within a cycle. Translation is a time-variant motion with irregular frequency shifts over time, which involves studying instantaneous frequency shifts at any three times. Transient frequency shifts should be analyzed and compared at different times for these motions. The frequency shift time-invariant motion is mainly rotation obtained experimental results indicate that the amplitude, plus-minus, and spectral width of frequency shift at different positions are aimed at inverting the target shape, attitude, direction and velocity. Demodulating one-dimensional data obtained from the FFTshift function can obtain the time-frequency-intensity relationship. This multi-parameter analysis method is a multi-dimensional processing method widely used in the fields of radar, sonar, and communication. The above research is conductive to the measurement of target macroscopic shape properties and the extraction of microscopic motion information, which lays the foundation for radar detection and recognition.
The micro-Doppler effect is a physical phenomenon generated by the micro-motion of objects and their components, which have a significant influence on improving radar detection and resolution capability and also enhancing the radar imaging and target recognition performance. The extraction of micro-Doppler frequency, as a commonly used time-frequency analysis tool, is of great significance in extracting and reconstructing the signal with micro-motion targets. The micro-motion characteristics for moving targets can be verified by using simulation through combining the theory of micro-Doppler effect with the frequency domain model of electromagnetic waves. The simulation research on the micro-motion characteristics of a three-dimensional target is conducted by using the finite element method. The influences of environmental conditions such as relative humidity, visibility, and the presence or absence of turbulence on echo intensity and time-frequency relationship are investigated theoretically. The simulation results indicate that parameters such as relative humidity and visibility, which affect the atmospheric attenuation coefficient, can reduce echo intensity and the period of time-frequency curve. By triggering off beam drift in the transmission path, turbulence can lead to “frequency shift deformation” of the time-frequency curve, degrading the extraction of target motion attitude. A motion attitude classification method is proposed in order to study the micro-Doppler effect better. According to whether the frequency shift changes with time, the motion attitude can be divided into frequency shift time-invariant motion and time-variant motion. Frequency shift time-variant motion includes translation, rolling and vibration. Vibration and rolling are motions that periodically change with time, requiring the comparison of instantaneous frequency shifts at any three times within a cycle. Translation is a time-variant motion with irregular frequency shifts over time, which involves studying instantaneous frequency shifts at any three times. Transient frequency shifts should be analyzed and compared at different times for these motions. The frequency shift time-invariant motion is mainly rotation obtained experimental results indicate that the amplitude, plus-minus, and spectral width of frequency shift at different positions are aimed at inverting the target shape, attitude, direction and velocity. Demodulating one-dimensional data obtained from the FFTshift function can obtain the time-frequency-intensity relationship. This multi-parameter analysis method is a multi-dimensional processing method widely used in the fields of radar, sonar, and communication. The above research is conductive to the measurement of target macroscopic shape properties and the extraction of microscopic motion information, which lays the foundation for radar detection and recognition.
2024, 73(7): 074205.
doi:10.7498/aps.73.20231775
Abstract:
By designing and fabricating a narrow-band Fabry-Perot multi-beam interference spectroscopic microcavity array, and integrating it with a visible light detector focal plane array, we demonstrate a small compact multispectral imaging detector. The micro-cavity filter array with 4×4 basic repeating units and a total of 2048×2048 pixels is obtained on a quartz substrate by the four-fractal combination lithograph-etching process. Then the micro miniatured multispectral imaging detector is formed by fitting with the detector chip. The depth and precision of the etching will determine the distribution and offset of the central wavelength of the narrowband spectral channel respectively. The results show that the etching rate of reactive ion is (3.6 ± 0.2) Å/s, and the process is stable and controllable. Due to the different etching depths, the basic repeating unit forms 16 different levels of steps, and the process achieves the design expectation well.
The results are obtained as follows: the response spectrum peak of the microcavity array sample varies from 520 to 680 nm, the free spectrum range is 160 nm, the full width at the half-peak is less than 10 nm, the transmittance is about 70%, the relative half-width of the transmittance peak at 590 nm is 1.19%, and the waveform coefficient is 2.78. A 16-channel multispectral camera is constructed by using the optical micro-precision assembly device to realize the precise alignment and the fitting of the micro-cavity filter array and the image sensor. Xenon lamp and monochromator are used as tunable wavelength monochromatic cooperative light source to detect the effect of 16-channel snapshot multispectral imaging on a pixel scale. The results show that the multispectral imaging detector has 16 different narrow-band response spectra. The characteristic spectrum of the target can be clearly distinguished by spectral channel.
When imaging the target with known spectral characteristics, for a certain frame of multi-spectral image, selecting a suitable spectral channel can eliminate the background in the field of view through image subtraction and improve the contrast of the target. In the dark room condition, we take the LED light source with center wavelength varying in a range between 528 and 589 nm as the target (the wavelength coincides with the working wavelength of the spectral channel), and effectively suppress the background through the spectral differential intensity subtraction, which can improve the accuracy and sensitivity of the target capture. The 16-channel snapshot multi-spectral imaging detector based on integrated Fabry-Perot microcavity array has the advantages of small size, high integration and strong environmental adaptability, and is expected to play a role in realizing the real-time detection of weak moving targets, auxiliary diagnosis of skin surface observation, and high dynamic range imaging of target observation under backlight conditions.
2024, 73(7): 074301.
doi:10.7498/aps.73.20231959
Abstract:
GH4742 nickel-based superalloy exhibits excellent mechanical properties, and grain size is a key factor affecting its performance. A physical model-based ultrasonic backscattering method makes grain size measurement accurate and efficient. Nevertheless, it is constrained by complex models or multiple measurements taken from various beam angles. As a result, a backscattering coefficient method that requires only a single measurement for grain size evaluation is proposed. In contrast to the existing methods, the proposed method solely focuses on the backscattering coefficient component of the backscattering signal. It effectively eliminates the influence of unrelated factors, such as the measurement system and the acoustic field, through the utilization of reference signals.
The independent scattering model is employed to derive the backscattering coefficient, which solely pertains to the material itself. The relationship between grain size and backscattering coefficient is described by using a spatial correlation function. To consider the irrelevant factors, an experimental measurement method is developed by using the reference signals. Through numerical calculation and analysis, it has been observed that the backscattering coefficient is closely related to the frequency. When the product of the wavenumber and the grain size is significantly greater than 1 (
\begin{document}$ ka\gg 1 $\end{document}
), a Stochastic scattering limit is reached. Conversely, when
\begin{document}$ ka\ll 1 $\end{document}
, a Rayleigh scattering limit is observed. Furthermore, the backscattering coefficient is directly proportional to the grain size. As a general trend, larger grain sizes result in higher backscattering coefficient.
Three sets of GH4742 specimens with different grain sizes are prepared for phased array ultrasound experiments. It can be observed that the experimental backscattering coefficients, root mean square (RMS) values, and the amplitude trend of time domain signal are consistent. To perform grain size inversion, the backscattering coefficients in the effective bandwidth range of the probe are selected. By utilizing the least-square method, the theoretical backscattering coefficient is employed to fit the curves of the experimental backscattering coefficients. The evaluation results are compared with those obtained by metallographic analysis. The results show that the grain sizes obtained by the proposed method have a maximum relative error of –22.7% and a minimum relative error of –3.7%.
2024, 73(7): 074302.
doi:10.7498/aps.73.20231886
Abstract:
Acoustic tweezer is a promising device for manipulating particles, which does not need contact does not cause damage, or requires transparent materials. They have diverse applications in cell separation, tissue engineering, and material assembly. To control particle movement, this technology relies on the exchange of momentum between the particle and the acoustic field, generating an acoustic radiation force. Achieving high-performance acoustic tweezers necessitates the precise shaping of the acoustic fields. Traditionally, there are mainly two types of acoustic tweezers: bulk acoustic wave (BAW) and surface acoustic wave (SAW). The SAW-based acoustic tweezer operates at high frequencies, realizing precise manipulation. The BAW-based acoustic tweezer operates at lower frequencies and requires artificial structure on the transducer surface to shape the field. However, the separation of the artificial structure from the transducer brings complexity and instability into the manipulation process. In this study, we propose a novel approach to overcoming these challenges, that is, using piezoelectric phononic crystal plates to integrate the transducer and acoustic artificial structure. By designing the thickness, periodicity, and electrode width of the piezoelectric phononic crystal plate, we can excite theA0Lamb wave mode and the periodic resonant mode, resulting in a periodic gradient field and a periodic weak gradient field, respectively. These fields enable particle to be trapped or levitated on the surface. To validate this approach, an experimental device is constructed, and successful particle manipulation is achieved by using Lamb wave mode or periodic resonant mode through using the piezoelectric phononic crystal plate. This technological breakthrough serves as a crucial foundation and experimental validation for developing the compact, low-energy and high-precision acoustic tweezers.
Acoustic tweezer is a promising device for manipulating particles, which does not need contact does not cause damage, or requires transparent materials. They have diverse applications in cell separation, tissue engineering, and material assembly. To control particle movement, this technology relies on the exchange of momentum between the particle and the acoustic field, generating an acoustic radiation force. Achieving high-performance acoustic tweezers necessitates the precise shaping of the acoustic fields. Traditionally, there are mainly two types of acoustic tweezers: bulk acoustic wave (BAW) and surface acoustic wave (SAW). The SAW-based acoustic tweezer operates at high frequencies, realizing precise manipulation. The BAW-based acoustic tweezer operates at lower frequencies and requires artificial structure on the transducer surface to shape the field. However, the separation of the artificial structure from the transducer brings complexity and instability into the manipulation process. In this study, we propose a novel approach to overcoming these challenges, that is, using piezoelectric phononic crystal plates to integrate the transducer and acoustic artificial structure. By designing the thickness, periodicity, and electrode width of the piezoelectric phononic crystal plate, we can excite theA0Lamb wave mode and the periodic resonant mode, resulting in a periodic gradient field and a periodic weak gradient field, respectively. These fields enable particle to be trapped or levitated on the surface. To validate this approach, an experimental device is constructed, and successful particle manipulation is achieved by using Lamb wave mode or periodic resonant mode through using the piezoelectric phononic crystal plate. This technological breakthrough serves as a crucial foundation and experimental validation for developing the compact, low-energy and high-precision acoustic tweezers.
2024, 73(7): 074701.
doi:10.7498/aps.73.20231898
Abstract:
Bubble dynamic behavior and frequency response of encapsulated microbubbles in nonlinear acoustic field is significant in applications such as tumor therapy, thrombolysis, tissue destruction, and ultrasonic lithotripsy. The acoustic cavitation effect includes stable cavitation and transient cavitation. The transformation from stable cavitation to transient cavitation requires a certain threshold, which is also called the transient cavitation threshold. Phospholipid-coated microbubbles are commonly used to enhance acoustic cavitation. However, the acoustic effects of different coating materials are not very clear, especially when considering the nonlinear effects caused by diffraction, scattering, and reflection during ultrasonic propagation. In this paper, the bubble dynamic behaviors and frequency responses of microbubbles under different frequencies, acoustic pressures, and viscoelastic properties of different shell materials are analyzed by coupling the Gilmore-Akulichev-Zener model with the nonlinear model of a lipid envelope and using the KZK equation to simulate the nonlinear acoustic field. At the same time, the influence of the coated material and nonlinear acoustic effects are considered. The bubble dynamic behavior and frequency response under the actually measured sound field are compared with those simulated by the KZK equation. The results show that the nonlinearity will lead the velocity of the microbubble wall to decrease, and when the pressure of ultrasound increases, the main frequency component of the microbubble oscillation increases, making the radial motion of the microbubble more violent. When the frequency changes, the closer the oscillation frequency of the microbubble is to the resonant frequency, the stronger the radial motion of the microbubble is. The coating material can change the harmonic component in the oscillation frequency. When the harmonic is close to the resonance frequency, the radial motion of the microbubble is enhanced. The elasticity of the coated material has almost no effect on the microbubble's frequency response, and the initial viscosity and surface tension of encapsulated microbubble will change the oscillation frequency distribution of encapsulated microbubble. When the initial viscosity of the coated microbubble is smaller, the subharmonic component of the microbubble oscillation increases. When the frequency of the subharmonic is closer to the resonance frequency than the main frequency, the acoustic cavitation effect is significantly enhanced. On the other hand, when the initial surface tension of the encapsulated microbubble increases, the main frequency and subharmonic component of the microbubble oscillation are enhanced, so that the acoustic cavitation effect is also enhanced. Therefore, this study can further elucidate the bubble dynamics of encapsulated microbubbles, stimulated by nonlinear ultrasound, benefiting the frequency response analysis of coated microbubbles under nonlinear acoustic fields.
Bubble dynamic behavior and frequency response of encapsulated microbubbles in nonlinear acoustic field is significant in applications such as tumor therapy, thrombolysis, tissue destruction, and ultrasonic lithotripsy. The acoustic cavitation effect includes stable cavitation and transient cavitation. The transformation from stable cavitation to transient cavitation requires a certain threshold, which is also called the transient cavitation threshold. Phospholipid-coated microbubbles are commonly used to enhance acoustic cavitation. However, the acoustic effects of different coating materials are not very clear, especially when considering the nonlinear effects caused by diffraction, scattering, and reflection during ultrasonic propagation. In this paper, the bubble dynamic behaviors and frequency responses of microbubbles under different frequencies, acoustic pressures, and viscoelastic properties of different shell materials are analyzed by coupling the Gilmore-Akulichev-Zener model with the nonlinear model of a lipid envelope and using the KZK equation to simulate the nonlinear acoustic field. At the same time, the influence of the coated material and nonlinear acoustic effects are considered. The bubble dynamic behavior and frequency response under the actually measured sound field are compared with those simulated by the KZK equation. The results show that the nonlinearity will lead the velocity of the microbubble wall to decrease, and when the pressure of ultrasound increases, the main frequency component of the microbubble oscillation increases, making the radial motion of the microbubble more violent. When the frequency changes, the closer the oscillation frequency of the microbubble is to the resonant frequency, the stronger the radial motion of the microbubble is. The coating material can change the harmonic component in the oscillation frequency. When the harmonic is close to the resonance frequency, the radial motion of the microbubble is enhanced. The elasticity of the coated material has almost no effect on the microbubble's frequency response, and the initial viscosity and surface tension of encapsulated microbubble will change the oscillation frequency distribution of encapsulated microbubble. When the initial viscosity of the coated microbubble is smaller, the subharmonic component of the microbubble oscillation increases. When the frequency of the subharmonic is closer to the resonance frequency than the main frequency, the acoustic cavitation effect is significantly enhanced. On the other hand, when the initial surface tension of the encapsulated microbubble increases, the main frequency and subharmonic component of the microbubble oscillation are enhanced, so that the acoustic cavitation effect is also enhanced. Therefore, this study can further elucidate the bubble dynamics of encapsulated microbubbles, stimulated by nonlinear ultrasound, benefiting the frequency response analysis of coated microbubbles under nonlinear acoustic fields.
2024, 73(7): 074702.
doi:10.7498/aps.73.20231364
Abstract:
In this work, the process of forming micro-droplets due to instability and fragmentation after short chain alcohol solution spreads on the surface of oil layers is studied. Based on the free energy theory of the liquid-liquid interface, the relationship between the binary mixtures spreading on the surface of the liquid layer is derived, and the concentration range of short chain alcohol solution spreading as a thin film on the surface of the oil layer is calculated from the Hiskovsky formula. The Malangoni flow caused by the difference in evaporation rate between the center and edge of the droplet film perturbs the boundary of the liquid film, causing finger-shaped liquid columns to grow at the edge when the droplet spreads to its maximum. In this work, the expression for the critical wavelength and maximum wavelength of boundary instability are derived based on the perturbation model, and the reason for finger shaped liquid column fragmentation is explained based on the Plateau Rayleigh instability. A concentric cylindrical shell liquid column model is established to simplify the calculation and predict the location range of “droplet explosion” of droplets with different viscosity ratios on the liquid layer. Through theoretical calculations and experimental verification, it is found that the alcohol solution fragmented into small droplets within a length range of 4.51–5.98 times the width of the liquid column. This study provides theoretical guidance for existing application fields such as film forming technology and coating technology. The hypotheses, assumptions, and simplified models preliminarily verified experimentally provide solutions for some technical difficulties in the research fields of micro reactions and nanoparticle preparation in chemical industry.
In this work, the process of forming micro-droplets due to instability and fragmentation after short chain alcohol solution spreads on the surface of oil layers is studied. Based on the free energy theory of the liquid-liquid interface, the relationship between the binary mixtures spreading on the surface of the liquid layer is derived, and the concentration range of short chain alcohol solution spreading as a thin film on the surface of the oil layer is calculated from the Hiskovsky formula. The Malangoni flow caused by the difference in evaporation rate between the center and edge of the droplet film perturbs the boundary of the liquid film, causing finger-shaped liquid columns to grow at the edge when the droplet spreads to its maximum. In this work, the expression for the critical wavelength and maximum wavelength of boundary instability are derived based on the perturbation model, and the reason for finger shaped liquid column fragmentation is explained based on the Plateau Rayleigh instability. A concentric cylindrical shell liquid column model is established to simplify the calculation and predict the location range of “droplet explosion” of droplets with different viscosity ratios on the liquid layer. Through theoretical calculations and experimental verification, it is found that the alcohol solution fragmented into small droplets within a length range of 4.51–5.98 times the width of the liquid column. This study provides theoretical guidance for existing application fields such as film forming technology and coating technology. The hypotheses, assumptions, and simplified models preliminarily verified experimentally provide solutions for some technical difficulties in the research fields of micro reactions and nanoparticle preparation in chemical industry.
2024, 73(7): 075101.
doi:10.7498/aps.73.20231861
Abstract:
Transport properties of nanoparticles in gases have many practical applications, such as aerosol science, combustion, and micro- and nano-scale fabrication. A nanoparticle moving in a fluid is expected to experience a drag force, which determines the transport property of the particle. According to the Einstein relationship, the diffusion coefficient of a particle is inversely proportional to the drag force coefficient. However, in the transition regime, it is usually difficult to evaluate the drag force of suspended particles. A typical method is to extend the asymptotic solution of the free molecular or continuum limit to the transition regime. According to the gas kinetic theory, Li and Wang proposed a theoretical expression for drag force on nanoparticles in the free molecular regime, which is then extended to the entire range of Knudsen number following a semi-empirical approach [Li Z G, Wang H 2003Phys. Rev. E68061207]. For nanoparticles, it is necessary to verify the theoretical predictions since the gas-particle non-rigid-body interactions must be taken into account. In this work, the drag force on nanoparticle in the transition regime is investigated by using molecular dynamics (MD) simulation. To evaluate the drag force, a harmonic potential is used to the nanoparticle to constrain its Brownian motion in our MD simulation. In the steady state, the drag force can be obtained by the balance between the drag force and harmonic force. It is found that the gas-particle non-rigid-body interaction has a significant influence on the drag force of nanoparticle. For weak gas-solid coupling, the MD simulation results can be in good agreement with the prediction of Li-Wang theory. However, for strong coupling, there exists significant discrepancy between the MD simulation results and the theoretical results. Due to the gas-solid intermolecular interactions, gas molecules can be adsorbed on the nanoparticle surface, and after a time period, they may be re-emitted from the surface when they gain sufficient kinetic energy. Therefore, an adsorption-desorption equilibrium and an adsorption layer can be established on the particle surface. The adsorption layer enlarges the collision cross-sectional area and enhances the momentum transfer between gas molecules and the particle, and thus the drag force increases. This can explain the inconsistencies between the theoretical results and MD simulations. In this work, we introduce an adsorption ratio to evaluate the thickness of the adsorption layer. Then, the effective particle radius can be defined by the sum of particle radius and the thickness of the adsorption layer. By using the effective particle radius, the simulation values are in very good agreement with the theoretical predictions. The results of this work provide insights into the applications of nanoparticles in aerosol science.
Transport properties of nanoparticles in gases have many practical applications, such as aerosol science, combustion, and micro- and nano-scale fabrication. A nanoparticle moving in a fluid is expected to experience a drag force, which determines the transport property of the particle. According to the Einstein relationship, the diffusion coefficient of a particle is inversely proportional to the drag force coefficient. However, in the transition regime, it is usually difficult to evaluate the drag force of suspended particles. A typical method is to extend the asymptotic solution of the free molecular or continuum limit to the transition regime. According to the gas kinetic theory, Li and Wang proposed a theoretical expression for drag force on nanoparticles in the free molecular regime, which is then extended to the entire range of Knudsen number following a semi-empirical approach [Li Z G, Wang H 2003Phys. Rev. E68061207]. For nanoparticles, it is necessary to verify the theoretical predictions since the gas-particle non-rigid-body interactions must be taken into account. In this work, the drag force on nanoparticle in the transition regime is investigated by using molecular dynamics (MD) simulation. To evaluate the drag force, a harmonic potential is used to the nanoparticle to constrain its Brownian motion in our MD simulation. In the steady state, the drag force can be obtained by the balance between the drag force and harmonic force. It is found that the gas-particle non-rigid-body interaction has a significant influence on the drag force of nanoparticle. For weak gas-solid coupling, the MD simulation results can be in good agreement with the prediction of Li-Wang theory. However, for strong coupling, there exists significant discrepancy between the MD simulation results and the theoretical results. Due to the gas-solid intermolecular interactions, gas molecules can be adsorbed on the nanoparticle surface, and after a time period, they may be re-emitted from the surface when they gain sufficient kinetic energy. Therefore, an adsorption-desorption equilibrium and an adsorption layer can be established on the particle surface. The adsorption layer enlarges the collision cross-sectional area and enhances the momentum transfer between gas molecules and the particle, and thus the drag force increases. This can explain the inconsistencies between the theoretical results and MD simulations. In this work, we introduce an adsorption ratio to evaluate the thickness of the adsorption layer. Then, the effective particle radius can be defined by the sum of particle radius and the thickness of the adsorption layer. By using the effective particle radius, the simulation values are in very good agreement with the theoretical predictions. The results of this work provide insights into the applications of nanoparticles in aerosol science.
2024, 73(7): 075201.
doi:10.7498/aps.73.20231967
Abstract:
The propagation characteristics of nonlinear dust acoustic solitary waves in a complex plasma system with nonthermal electrons and trapped ions are investigate in this work. The nonlinear dispersion relation of dust acoustic waves is obtained by using the linear method, and the two-dimensional autonomous system governing the motion of nonlinear dust acoustic waves is derived by using the Sagdeev potential method. At the same time, the specific expression of the Sagdeev potential function is obtained based on the Sagdeev potential equation. The numerical simulations are used to analyze the phase portraits of the two-dimensional autonomous system, revealing the linear periodic wave orbits, nonlinear periodic wave orbits, and homoclinic orbits co-existing in the complex dusty plasma system with nonthermal electrons and trapped ions. Furthermore, from the variations of the Sagdeev potential function with different system parameters it follows that only the compressive solitary waves exist in this complex plasma system. The significant influences of various system parameters on the amplitude, width, and waveform of the nonlinear dust acoustic solitary wave in the complex plasma system are discussed in detail. The results demonstrate that the Mach number, the nonthermal electrons and trapped ions, undisturbed dust particle number density, temperature, and charge have important effects on the propagating characteristics of the nonlinear dust acoustic solitary waves in a complex plasma with nonthermal electrons and trapped ions.
The propagation characteristics of nonlinear dust acoustic solitary waves in a complex plasma system with nonthermal electrons and trapped ions are investigate in this work. The nonlinear dispersion relation of dust acoustic waves is obtained by using the linear method, and the two-dimensional autonomous system governing the motion of nonlinear dust acoustic waves is derived by using the Sagdeev potential method. At the same time, the specific expression of the Sagdeev potential function is obtained based on the Sagdeev potential equation. The numerical simulations are used to analyze the phase portraits of the two-dimensional autonomous system, revealing the linear periodic wave orbits, nonlinear periodic wave orbits, and homoclinic orbits co-existing in the complex dusty plasma system with nonthermal electrons and trapped ions. Furthermore, from the variations of the Sagdeev potential function with different system parameters it follows that only the compressive solitary waves exist in this complex plasma system. The significant influences of various system parameters on the amplitude, width, and waveform of the nonlinear dust acoustic solitary wave in the complex plasma system are discussed in detail. The results demonstrate that the Mach number, the nonthermal electrons and trapped ions, undisturbed dust particle number density, temperature, and charge have important effects on the propagating characteristics of the nonlinear dust acoustic solitary waves in a complex plasma with nonthermal electrons and trapped ions.
Influence of electron temperature anisotropy on them= 1 helicon mode power deposition characteristic
2024, 73(7): 075202.
doi:10.7498/aps.73.20231759
Abstract:
As a core phenomenon in helicon discharge, the plasma temperature anisotropy may play a crucial role in helicon wave power deposition. Under radially inhomogeneous plasma circumstances, by employing the warm plasma dielectric tensor model and considering the finite Larmor radius (FLR) effect and plasma temperature anisotropy effect, under the typical helicon discharge parameter conditions, the helicon wave and Trivelpiece-Gould (TG) wave mode coupling characteristic and influence of electron temperature anisotropy on the helicon wave power deposition induced by collisional and Landau damping mechanism are theoretically investigated. Detailed analysis shows that for typical helicon plasma electron temperatureTe= 3 eV and low magnetic fieldB0= 48 G, the electron FLR effect should be considered, while the ion FLR effect can be ignored due to its large inertia effect; compared with the
\begin{document}$| n | < 2 $\end{document}
cyclotron harmonics, the contribution of the
\begin{document}$| n | > 1 $\end{document}
harmonics in the calculation of plasma dielectric tensor elements can be ignored due to low magnetic field conditions. For the propagation constant, detailed investigation indicates that the phase constant has a maximum value at a certain radial position, near the same position mode coupling between helicon wave and TG wave happens. Full analysis shows that the power deposition of them= 1 helicon mode peaks at a certain radial position and increases gradually with the increase of the axial electron temperature. Besides, compared with the Landau damping, the collisional damping plays a dominant role in the power deposition under current parameter conditions; importantly, the electron temperature anisotropy exerts a significant influence on the power deposition characteristic, both the increase and decrease of electron temperature anisotropy factor (χ=Te,⊥/Te,z) can lead the power deposition intensity to change drastically. All these conclusions are very important for us to understand the discharge mechanism of helicon plasma.
As a core phenomenon in helicon discharge, the plasma temperature anisotropy may play a crucial role in helicon wave power deposition. Under radially inhomogeneous plasma circumstances, by employing the warm plasma dielectric tensor model and considering the finite Larmor radius (FLR) effect and plasma temperature anisotropy effect, under the typical helicon discharge parameter conditions, the helicon wave and Trivelpiece-Gould (TG) wave mode coupling characteristic and influence of electron temperature anisotropy on the helicon wave power deposition induced by collisional and Landau damping mechanism are theoretically investigated. Detailed analysis shows that for typical helicon plasma electron temperatureTe= 3 eV and low magnetic fieldB0= 48 G, the electron FLR effect should be considered, while the ion FLR effect can be ignored due to its large inertia effect; compared with the
2024, 73(7): 075203.
doi:10.7498/aps.73.20231881
Abstract:
The underwater streamer discharge has received extensive attention in the field of environmental protection, because it can generate free radicals and reactive oxygen species directly in water. The multi-needle electrode is a basic electrode configuration for achieving large-volume underwater streamer discharge. Understanding the discharge characteristics of the multi-needle electrode configuration is important for designing the large-volume discharge reactors. In this work, a multi-needle electrode that can assemble 21 needles is employed. The number of anode needles generating a streamer discharge during a single pulsed discharge and the differences in morphological characteristics between the inside and the edge of the electrode array are investigated by using an ultra-high-speed camera system. The electric field distribution of the multi-needle electrode is simulated by using the COMSOL software, and the effect of the electric field distribution on the discharge of multi-needle electrode is also studied. The discharge energy efficiency of the multi-needle electrode configuration is evaluated. It is found that the 21 needles are not discharged simultaneously during a discharge pulse. The number of discharged anode needles gradually increases and then reaches a maximum value (≤21). The maximum number of discharged anode needles during a single discharge pulse increases as the voltage and needle spacing increases. During a single discharge pulse, the filament generated from the needles at the edge of the electrode array grows longer and deviates more largely from the needle axis than that generated from the needles inside the electrode array. Such characteristics are primarily due to the disturbance of the electric field among the 21 needles. As the needle spacing decreases, the disturbance of the electric field among the 21 needles gets stronger, consequently, the discharge morphology differences between the needles at the edge and needles at the inner of the needle array become more significant, and the energy efficiency of the discharge drops remarkably.
The underwater streamer discharge has received extensive attention in the field of environmental protection, because it can generate free radicals and reactive oxygen species directly in water. The multi-needle electrode is a basic electrode configuration for achieving large-volume underwater streamer discharge. Understanding the discharge characteristics of the multi-needle electrode configuration is important for designing the large-volume discharge reactors. In this work, a multi-needle electrode that can assemble 21 needles is employed. The number of anode needles generating a streamer discharge during a single pulsed discharge and the differences in morphological characteristics between the inside and the edge of the electrode array are investigated by using an ultra-high-speed camera system. The electric field distribution of the multi-needle electrode is simulated by using the COMSOL software, and the effect of the electric field distribution on the discharge of multi-needle electrode is also studied. The discharge energy efficiency of the multi-needle electrode configuration is evaluated. It is found that the 21 needles are not discharged simultaneously during a discharge pulse. The number of discharged anode needles gradually increases and then reaches a maximum value (≤21). The maximum number of discharged anode needles during a single discharge pulse increases as the voltage and needle spacing increases. During a single discharge pulse, the filament generated from the needles at the edge of the electrode array grows longer and deviates more largely from the needle axis than that generated from the needles inside the electrode array. Such characteristics are primarily due to the disturbance of the electric field among the 21 needles. As the needle spacing decreases, the disturbance of the electric field among the 21 needles gets stronger, consequently, the discharge morphology differences between the needles at the edge and needles at the inner of the needle array become more significant, and the energy efficiency of the discharge drops remarkably.
2024, 73(7): 076401.
doi:10.7498/aps.73.20231939
Abstract:
Al-Si alloys have been widely used in electronic information, communication, and other fields because of their high specific strength, excellent castability and good thermal conductivity. In recent years, with the rapid development of 5G communication technology, electronic communication equipment is gradually developing towards high integration and lightweight. The power of related equipment is higher and higher, which puts forward higher requirements for thermal conductivity and mechanical properties of materials.
Si can improve the fluidity and strength of the Al-Si alloy, but a large amount of Si will aggravate the lattice distortion and increases amount of eutectic Si. This will reduce the plasticity of the alloy, increase the electron scattering and reduce the thermal conductivity. In order to improve the mechanical properties and thermal conductivity of Al-Si alloys, chemical inoculation is generally used. Sr is usually used as modifier and Al-B serves as grain refiner. However, the simultaneous addition of Sr and B into Al-Si alloy results in “poisoning” phenomenon, it becomes impossible to refine
α-Al grains and modify eutectic Si simultaneously.
In recent years, rare earth La has attracted more and more attention in improving the properties of aluminum alloys. However, previous studies mainly focused on the effects of La addition, consequently, the research on the effects of combined addition of La, Sr, B on the microstructure and properties of Al-7%Si-0.6%Fe alloy is lacking. In this work, solidification experiments are performed to investigate the effects of combined addition of La, Sr, B on the microstructure and properties of Al-7%Si-0.6%Fe alloy. The results show that the addition of trace rare earth La can effectively eliminate the poisoning effect of Sr and B, and enhance the modification effect of eutectic Si. Besides, the addition of La can promote the formation of
α-Al heterogeneous nucleation substrate LaB
6and La can be used as a surfactant to reduce the undercooling of
α-Al nucleation, thus it refines
α-Al grains. The thermal conductivity of the alloy is significantly improved when the addition of La ranges from 0.02% to 0.06%; with the further increase of La addition, LaAlSi intermetallic compounds are formed in the alloy, leading the thermal conductivity of the alloy to decrease.
2024, 73(7): 077201.
doi:10.7498/aps.73.20231677
Abstract:
The strong piezoelectric field in InGaN/GaN heterostructure quantum wells severely reduces the light emission efficiency of multiple quantum well (MQW) structures. To address this issue, a strain modulation interlayer is commonly used to mitigate the piezoelectric polarization field and improve the luminescence performance of the devices. To investigate the influence and mechanism of strain modulation in the InGaN/GaN superlattice (SL), epitaxial wafers with an n-type InGaN/GaN SL interlayer sample, and their corresponding control samples are prepared. The measured temperature-dependent photoluminescence (PL) spectra of the epitaxial wafers, show that the introduction of an SL interlayer leads to a shorter-wavelength emission and enhancement of internal quantum efficiency. As the temperature increases, a blue shift of the PL peak is observed. However, for the sample with an SL interlayer, the blue shift of the PL peak with temperature increasing is relatively small. Electroluminescence (EL) experiments indicate that the introduction of an SL interlayer significantly increases the integrated intensity of the EL peak and reduces its full width at half maximum. These phenomena collectively indicate that the incorporation of a superlattice interlayer can partly suppress the quantum-confined Stark effect (QCSE) that affects the light emission efficiency. Theoretical calculations show that the introduction of a superlattice strain layer before growing an active multiple quantum well can weaken the polarization-induced built-in electric field in the active quantum well, reduce the tilt of the energy band in the multiple quantum well active region, increase the overlap of electron and hole wave functions, enhance the emission probability, shorten the radiative recombination lifetime, and promote competition between radiative recombination and non-radiative recombination, thereby achieving higher recombination efficiency and improving light emission intensity. This study provides experimental and theoretical evidence that the strain modulation SL interlayer can effectively improve the device performance and offer guidance for optimizing the structural design of devices.
The strong piezoelectric field in InGaN/GaN heterostructure quantum wells severely reduces the light emission efficiency of multiple quantum well (MQW) structures. To address this issue, a strain modulation interlayer is commonly used to mitigate the piezoelectric polarization field and improve the luminescence performance of the devices. To investigate the influence and mechanism of strain modulation in the InGaN/GaN superlattice (SL), epitaxial wafers with an n-type InGaN/GaN SL interlayer sample, and their corresponding control samples are prepared. The measured temperature-dependent photoluminescence (PL) spectra of the epitaxial wafers, show that the introduction of an SL interlayer leads to a shorter-wavelength emission and enhancement of internal quantum efficiency. As the temperature increases, a blue shift of the PL peak is observed. However, for the sample with an SL interlayer, the blue shift of the PL peak with temperature increasing is relatively small. Electroluminescence (EL) experiments indicate that the introduction of an SL interlayer significantly increases the integrated intensity of the EL peak and reduces its full width at half maximum. These phenomena collectively indicate that the incorporation of a superlattice interlayer can partly suppress the quantum-confined Stark effect (QCSE) that affects the light emission efficiency. Theoretical calculations show that the introduction of a superlattice strain layer before growing an active multiple quantum well can weaken the polarization-induced built-in electric field in the active quantum well, reduce the tilt of the energy band in the multiple quantum well active region, increase the overlap of electron and hole wave functions, enhance the emission probability, shorten the radiative recombination lifetime, and promote competition between radiative recombination and non-radiative recombination, thereby achieving higher recombination efficiency and improving light emission intensity. This study provides experimental and theoretical evidence that the strain modulation SL interlayer can effectively improve the device performance and offer guidance for optimizing the structural design of devices.
2024, 73(7): 077202.
doi:10.7498/aps.73.20231987
Abstract:
Recent researches on disorder-driven many-body localization (MBL) in non-Hermitian quantum systems have aroused great interest. In this work, we investigate the non-Hermitian MBL in a one-dimensional hard-core Bose model induced by random two-body dissipation, which is described by
\begin{document}$ \hat{H}=\displaystyle\sum\limits_{j}^{L-1}\left[ -J\left( \hat{b}_{j}^{\dagger}\hat{b}_{j+1}+\hat {b}_{j+1}^{\dagger}\hat{b}_{j}\right) +\frac{1}{2}\left( U-{\mathrm{i}}\gamma_{j}\right) \hat{n}_{j}\hat{n}_{j+1}\right] \notag,$\end{document}
with the random two-body loss
\begin{document}$\gamma_j\in\left[0,W\right]$\end{document}
. By the level statistics, the system undergoes a transition from the AI
\begin{document}$^{\dagger}$\end{document}
symmetry class to a two-dimensional Poisson ensemble with the increase of disorder strength. This transition is accompanied by the changing of the average magnitude (argument)
\begin{document}$\overline{\left\langle {r}\right\rangle}$\end{document}
(
\begin{document}$\overline{-\left\langle \cos {\theta}\right\rangle }$\end{document}
) of the complex spacing ratio, shifting from approximately 0.722 (0.193) to about 2/3 (0). The normalized participation ratios of the majority of eigenstates exhibit finite values in the ergodic phase, gradually approaching zero in the non-Hermitian MBL phase, which quantifies the degree of localization for the eigenstates. For weak disorder, one can see that average half-chain entanglement entropy
\begin{document}$\overline{\langle S \rangle}$\end{document}
follows a volume law in the ergodic phase. However, it decreases to a constant independent of
Lin the deep non-Hermitian MBL phase, adhering to an area law. These results indicate that the ergodic phase and non-Hermitian MBL phase can be distinguished by the half-chain entanglement entropy, even in non-Hermitian system, which is similar to the scenario in Hermitian system. Finally, for a short time, the dynamic evolution of the entanglement entropy exhibits linear growth with the weak disorder. In strong disorder case, the short-time evolution of
\begin{document}$\overline{S(t)}$\end{document}
shows logarithmic growth. However, when
\begin{document}$t\geqslant10^2$\end{document}
,
\begin{document}$\overline{S(t)}$\end{document}
can stabilize and tend to the steady-state half-chain entanglement entropy
\begin{document}$\overline{ S_0 }$\end{document}
. The results of the dynamical evolution of
\begin{document}$\overline{S(t)}$\end{document}
imply that one can detect the occurrence of the non-Hermitian MBL by the short-time evolution of
\begin{document}$\overline{S(t)}$\end{document}
, and the long-time behavior of
\begin{document}$\overline{S(t)}$\end{document}
signifies the steady-state information.
2024, 73(7): 077701.
doi:10.7498/aps.73.20231872
Abstract:
Rare earth dopping, especially samarium (Sm) dopping is considered as an effective way to obtain high piezoelectricity by increasing local structure heterogeneity in Pb-containingABO3perovskite ceramics. Defects play an significant role in determining piezoelectric properties in aliovalent ion doping systems. In order to obtain an insight into the effect of defects, especiallyB-site vacancies on piezoelectricity, Sm-doped PZT(54/46) ceramics compensated byB-site vacancies are fabricated by conventional solid state reaction method. The influence of defects on piezoelectric properties is studied by positron annihilation lifetime spectroscopy (PALS), coincidence Doppler broadening spectroscopy (CDBS), and conventional methods such as X-ray diffraction (XRD), scanning electron microscope (SEM), electrical performance testing on dielectricity, ferroelectricity and pizoelectricity. The XRD results show that all ceramics crystallize in a pure perovskite phase, Sm3+doping causes a transformation from the rhombohedral to tetragonal phase and the morphotropic phase boundary (MPB) lies near Sm3+doping contentx= 0.01–0.02. Electrical performance testing results indicate that with the increase ofx, all of the dielectricity, ferroelectricity and pizoelectricity first increase and then decrease, the sample withx= 0.01 and 0.02 exhibit similar excellent dielectricity and ferroelectricity, while their pizoelectricity differs greatly, the optimal piezoelectric coefficientd33= 572 pC/N (nearly double that of undoped sample) is obtained in the sample withx= 0.01. The PALS results show that Sm doping leads the defect types to change from the coexistence ofA-site andB-site vacancies forx≤ 0.01 to mainlyA-site related defects forx≥ 0.02. The CDBS results further verify that the concentration ofB-site vacancies is highest forx= 0.01 and lowest forx= 0.02. It is inferred that the high pizoelectricity forx= 0.01 is related to its high concentration ofB-site vacancies, which can dilute the number ofA-site vacancies and oxygen vacancies, reducing the chance of forming defect dipoles between anA-site vacancy and an oxygen vacancy, facilitating domain wall motion, and enhancing piezoelectricity. This study indicates thatB-site vacancies can enhance piezoelectricity to some extent, which will provide some guidance for defect engineering.
Rare earth dopping, especially samarium (Sm) dopping is considered as an effective way to obtain high piezoelectricity by increasing local structure heterogeneity in Pb-containingABO3perovskite ceramics. Defects play an significant role in determining piezoelectric properties in aliovalent ion doping systems. In order to obtain an insight into the effect of defects, especiallyB-site vacancies on piezoelectricity, Sm-doped PZT(54/46) ceramics compensated byB-site vacancies are fabricated by conventional solid state reaction method. The influence of defects on piezoelectric properties is studied by positron annihilation lifetime spectroscopy (PALS), coincidence Doppler broadening spectroscopy (CDBS), and conventional methods such as X-ray diffraction (XRD), scanning electron microscope (SEM), electrical performance testing on dielectricity, ferroelectricity and pizoelectricity. The XRD results show that all ceramics crystallize in a pure perovskite phase, Sm3+doping causes a transformation from the rhombohedral to tetragonal phase and the morphotropic phase boundary (MPB) lies near Sm3+doping contentx= 0.01–0.02. Electrical performance testing results indicate that with the increase ofx, all of the dielectricity, ferroelectricity and pizoelectricity first increase and then decrease, the sample withx= 0.01 and 0.02 exhibit similar excellent dielectricity and ferroelectricity, while their pizoelectricity differs greatly, the optimal piezoelectric coefficientd33= 572 pC/N (nearly double that of undoped sample) is obtained in the sample withx= 0.01. The PALS results show that Sm doping leads the defect types to change from the coexistence ofA-site andB-site vacancies forx≤ 0.01 to mainlyA-site related defects forx≥ 0.02. The CDBS results further verify that the concentration ofB-site vacancies is highest forx= 0.01 and lowest forx= 0.02. It is inferred that the high pizoelectricity forx= 0.01 is related to its high concentration ofB-site vacancies, which can dilute the number ofA-site vacancies and oxygen vacancies, reducing the chance of forming defect dipoles between anA-site vacancy and an oxygen vacancy, facilitating domain wall motion, and enhancing piezoelectricity. This study indicates thatB-site vacancies can enhance piezoelectricity to some extent, which will provide some guidance for defect engineering.
2024, 73(7): 078401.
doi:10.7498/aps.73.20231846
Abstract:
Flexible perovskite solar cells have attracted much attention in the scientific community due to their lightweight nature, high flexibility, and superior power-to-mass ratio. One of the most effective strategies for enhancing the power conversion efficiency of these cells involves addressing grain boundary defects within the perovskite films and interfacial defects between the perovskite films and charge transport layers. In this work, we optimize the performance of inverted flexible perovskite solar cell by using octadecylamine hydrochloride (OACl) as both an additive and a surface passivating agent to achieve synergistic passivation to the bulk phase and surface. The incorporation of OACl in the perovskite precursor solution results in the enlarging of the perovskite crystal grains, enhancing crystallinity, and passivating of grain boundary defects within the perovskite film. This optimization leads the open-circuit voltage to increase from 1.07 to 1.12 V, fill factor from 70.86% to 75.04%, and power conversion efficiency from 18.08% to 20.12%. In addition, the OACl solution is used to passivate the surface of perovskite film, resulting in a smoother perovskite surface, fill the grain boundaries, and reduce the defect density on the perovskite surface. As a result, the optimized device exhibits an open-circuit voltage of 1.15 V, fill factor of 76.15%, and ultimately achieves a power conversion efficiency of 20.80% for flexible perovskite solar cells. The synergistic passivation strategy based on OACl used in this work provides an effective approach for fabricating efficient flexible perovskite solar cells.
Flexible perovskite solar cells have attracted much attention in the scientific community due to their lightweight nature, high flexibility, and superior power-to-mass ratio. One of the most effective strategies for enhancing the power conversion efficiency of these cells involves addressing grain boundary defects within the perovskite films and interfacial defects between the perovskite films and charge transport layers. In this work, we optimize the performance of inverted flexible perovskite solar cell by using octadecylamine hydrochloride (OACl) as both an additive and a surface passivating agent to achieve synergistic passivation to the bulk phase and surface. The incorporation of OACl in the perovskite precursor solution results in the enlarging of the perovskite crystal grains, enhancing crystallinity, and passivating of grain boundary defects within the perovskite film. This optimization leads the open-circuit voltage to increase from 1.07 to 1.12 V, fill factor from 70.86% to 75.04%, and power conversion efficiency from 18.08% to 20.12%. In addition, the OACl solution is used to passivate the surface of perovskite film, resulting in a smoother perovskite surface, fill the grain boundaries, and reduce the defect density on the perovskite surface. As a result, the optimized device exhibits an open-circuit voltage of 1.15 V, fill factor of 76.15%, and ultimately achieves a power conversion efficiency of 20.80% for flexible perovskite solar cells. The synergistic passivation strategy based on OACl used in this work provides an effective approach for fabricating efficient flexible perovskite solar cells.
2024, 73(7): 078501.
doi:10.7498/aps.73.20231768
Abstract:
Insulated gate bipolar transistor (IGBT) is the core of modern power semiconductor device, and has been widely used due to its excellent electrical characteristics. A novel majority carrier accumulation mode IGBT with Schottky junction contact gate semiconductor layer (AC-SCG IGBT) is proposed and investigated by TCAD simulation in this article. When the AC-SCG IGBT is in the on-state, a forward bias is applied to the gate. Due to the very low forward voltage drop (VF) of the Schottky barrier diode, the potential of the gate semiconductor layer is almost equal to the gate potential, which can accumulate a large number of majority carrier electrons in the drift region. In addition to the electrons existing, these accumulated electrons increase the conductivity of the drift region, thus significantly reducingVF. Therefore, the doping concentration of the drift region is not limited byVF. The lightly doped drift region can make AC-SCG IGBT have a higher breakdown voltage (BV). Moreover, it also reduces the barrier capacitance in the turn-off process, thus the overall Miller capacitance is small, which can quickly turn off and reduce the turn-off time (Toff) and turn-off loss (Eoff). The simulation results indicate that at the BV of 600 V, theVFof 0.84 V for the proposed AC-SCG IGBT is reduced by 46.2% compared with that for the conventional IGBT (VFof 1.56 V). TheEoffof the AC-SCG IGBT (0.77 mJ/cm2) is reduced by 52.5% compared with that for the conventional IGBT (1.62 mJ/cm2), and theToff(155.8–222.7 ns) is reduced by 30%. The contradiction betweenVFandEoffis eliminated. In addition, the proposed AC-SCG IGBT has a better anti-latch-up capability and is coupled with its higher BV, so it has a larger forward biased safe operating area (FBSOA). The proposed novel structure meets the development requirements for future IGBT device performance, and has great significance for guiding the development of the power semiconductor device field.
Insulated gate bipolar transistor (IGBT) is the core of modern power semiconductor device, and has been widely used due to its excellent electrical characteristics. A novel majority carrier accumulation mode IGBT with Schottky junction contact gate semiconductor layer (AC-SCG IGBT) is proposed and investigated by TCAD simulation in this article. When the AC-SCG IGBT is in the on-state, a forward bias is applied to the gate. Due to the very low forward voltage drop (VF) of the Schottky barrier diode, the potential of the gate semiconductor layer is almost equal to the gate potential, which can accumulate a large number of majority carrier electrons in the drift region. In addition to the electrons existing, these accumulated electrons increase the conductivity of the drift region, thus significantly reducingVF. Therefore, the doping concentration of the drift region is not limited byVF. The lightly doped drift region can make AC-SCG IGBT have a higher breakdown voltage (BV). Moreover, it also reduces the barrier capacitance in the turn-off process, thus the overall Miller capacitance is small, which can quickly turn off and reduce the turn-off time (Toff) and turn-off loss (Eoff). The simulation results indicate that at the BV of 600 V, theVFof 0.84 V for the proposed AC-SCG IGBT is reduced by 46.2% compared with that for the conventional IGBT (VFof 1.56 V). TheEoffof the AC-SCG IGBT (0.77 mJ/cm2) is reduced by 52.5% compared with that for the conventional IGBT (1.62 mJ/cm2), and theToff(155.8–222.7 ns) is reduced by 30%. The contradiction betweenVFandEoffis eliminated. In addition, the proposed AC-SCG IGBT has a better anti-latch-up capability and is coupled with its higher BV, so it has a larger forward biased safe operating area (FBSOA). The proposed novel structure meets the development requirements for future IGBT device performance, and has great significance for guiding the development of the power semiconductor device field.
2024, 73(7): 078502.
doi:10.7498/aps.73.20231919
Abstract:
Photodetectors are widely used in the fields of environmental monitoring, medical analysis, security surveillance, optical communication and biosensing due to their high responsiveness, fast response time, low power consumption, good stability and low processing cost. Fully inorganic lead-free perovskite material (Cs2AgBiBr6) has received a lot of attention in recent years in the research of photodetector applications due to its advantages of long carrier lifetime, high stability, moderate forbidden bandwidth, and environmental friendliness. For perovskite photodetectors, the semiconductor nanopillar array structure can effectively reduce the reflection loss of light from the surface to improve the absorption of incident light in the device and inhibit the exciton complexes in the device, and the good energy level matching between TiO2and Cs2AgBiBr6can effectively promote the transport and extraction of carriers in the device. However, there are few reports on the use of TiO2nanopillar arrays as a transport layer to improve the performance of Cs2AgBiBr6photodetectors. In this work, high-quality Cs2AgBiBr6thin films with large grain size, no visible pinholes, and good uniform coverage are successfully prepared by a low-pressure-assisted spin-coating method under ambient conditions. Hydrothermally grown TiO2nanopillar arrays are embedded into the Cs2AgBiBr6layer to form a close core-shell structure, increasing the physical contact area between the two to ensure more effective electron injection and charge separation, and to improve the carrier transport efficiency in the device. Multi-band responsive Cs2AgBiBr6double perovskite photodetectors based on TiO2nanopillars are excited at multiple wavelengths of 365 nm and 405 nm with high light response and good stability and reproducibility, resulting in average switching ratios of 522 and 2090, respectively. When the light source is excited at 365 nm and 405 nm with a light intensity of 0.056 W/cm2, the responsivity is 0.019 A/W and 0.057 A/W, respectively, and the specific detectivity is 1.9 × 1010Jones and 5.6 × 1010Jones, respectively. Comparing with the Cs2AgBiBr6perovskite photodetector based on a planar TiO2electron transport layer, the average switching ratios are improved by a factor of 65 and 110, the responsivities are improved by 35% and 256%, and the specific detectivity are improved by a factor of 6.9 and 25, respectively. In this work, the photoelectric performance of Cs2AgBiBr6photodetector is improved by using TiO2nanopillars as an electron transport layer. It provides a reference solution for developing high-performance Cs2AgBiBr6perovskite photodetectors in future.
Photodetectors are widely used in the fields of environmental monitoring, medical analysis, security surveillance, optical communication and biosensing due to their high responsiveness, fast response time, low power consumption, good stability and low processing cost. Fully inorganic lead-free perovskite material (Cs2AgBiBr6) has received a lot of attention in recent years in the research of photodetector applications due to its advantages of long carrier lifetime, high stability, moderate forbidden bandwidth, and environmental friendliness. For perovskite photodetectors, the semiconductor nanopillar array structure can effectively reduce the reflection loss of light from the surface to improve the absorption of incident light in the device and inhibit the exciton complexes in the device, and the good energy level matching between TiO2and Cs2AgBiBr6can effectively promote the transport and extraction of carriers in the device. However, there are few reports on the use of TiO2nanopillar arrays as a transport layer to improve the performance of Cs2AgBiBr6photodetectors. In this work, high-quality Cs2AgBiBr6thin films with large grain size, no visible pinholes, and good uniform coverage are successfully prepared by a low-pressure-assisted spin-coating method under ambient conditions. Hydrothermally grown TiO2nanopillar arrays are embedded into the Cs2AgBiBr6layer to form a close core-shell structure, increasing the physical contact area between the two to ensure more effective electron injection and charge separation, and to improve the carrier transport efficiency in the device. Multi-band responsive Cs2AgBiBr6double perovskite photodetectors based on TiO2nanopillars are excited at multiple wavelengths of 365 nm and 405 nm with high light response and good stability and reproducibility, resulting in average switching ratios of 522 and 2090, respectively. When the light source is excited at 365 nm and 405 nm with a light intensity of 0.056 W/cm2, the responsivity is 0.019 A/W and 0.057 A/W, respectively, and the specific detectivity is 1.9 × 1010Jones and 5.6 × 1010Jones, respectively. Comparing with the Cs2AgBiBr6perovskite photodetector based on a planar TiO2electron transport layer, the average switching ratios are improved by a factor of 65 and 110, the responsivities are improved by 35% and 256%, and the specific detectivity are improved by a factor of 6.9 and 25, respectively. In this work, the photoelectric performance of Cs2AgBiBr6photodetector is improved by using TiO2nanopillars as an electron transport layer. It provides a reference solution for developing high-performance Cs2AgBiBr6perovskite photodetectors in future.
2024, 73(7): 078701.
doi:10.7498/aps.73.20231910
Abstract:
Fluorescence imaging technology can dynamically monitor gene and cell changing in live animals in real-time, with advantages such as high sensitivity, high resolution, and non-invasion. In recent years, it has been widely used in tumor research, gene expression research, drug development research, etc. The imaging wavelength of traditional fluorescence imaging technology falls in the visible and near-infrared-I region. Due to the absorption and scattering effects of light propagation in biological tissues, and the inherent fluorescence of biological tissues, traditional fluorescence imaging techniques still have significant limitations in penetration depth and image signal-to-noise ratio. In this work, a highly integrated near-infrared-II (NIR-II, 900—1880 nm) small animal living fluorescence imaging system is developed by taking the advantages of NIR-II fluorescence imaging technology, such as low absorption, low scattering, and deep penetration depth in biological tissues. And a method of enhancing and correcting fluorescence image is proposed to optimize fluorescence images. In this work, the biological tissue simulation experiments and live animal experiments are conducted to test the performance and imaging effect of the system. The experimental results show that the system has the advantages of deep penetration depth, high signal-to-noise ratio, and high sensitivity. Combined with commercial indocyanine green reagents and aggregation-induced emission dyes, this system can monitor the distribution of blood vessels in real time and continuously monitor deep tissues and organs in mice, and conduct the dynamically monitoring research in living mice in a conscious state. This helps to promote tumor research and drug development research in the field of biomedical imaging to enter a new stage.
Fluorescence imaging technology can dynamically monitor gene and cell changing in live animals in real-time, with advantages such as high sensitivity, high resolution, and non-invasion. In recent years, it has been widely used in tumor research, gene expression research, drug development research, etc. The imaging wavelength of traditional fluorescence imaging technology falls in the visible and near-infrared-I region. Due to the absorption and scattering effects of light propagation in biological tissues, and the inherent fluorescence of biological tissues, traditional fluorescence imaging techniques still have significant limitations in penetration depth and image signal-to-noise ratio. In this work, a highly integrated near-infrared-II (NIR-II, 900—1880 nm) small animal living fluorescence imaging system is developed by taking the advantages of NIR-II fluorescence imaging technology, such as low absorption, low scattering, and deep penetration depth in biological tissues. And a method of enhancing and correcting fluorescence image is proposed to optimize fluorescence images. In this work, the biological tissue simulation experiments and live animal experiments are conducted to test the performance and imaging effect of the system. The experimental results show that the system has the advantages of deep penetration depth, high signal-to-noise ratio, and high sensitivity. Combined with commercial indocyanine green reagents and aggregation-induced emission dyes, this system can monitor the distribution of blood vessels in real time and continuously monitor deep tissues and organs in mice, and conduct the dynamically monitoring research in living mice in a conscious state. This helps to promote tumor research and drug development research in the field of biomedical imaging to enter a new stage.
2024, 73(7): 078702.
doi:10.7498/aps.73.20231990
Abstract:
Nucleolus and mitochondria play an important role in maintaining cell balance, and studying their physiological processes is helpful in understanding the biological functions. In this work, a red fluorescent pyrene rhodamine probe is used to target and label cell mitochondria and nucleolus under different conditions, and the binding mode of probe and RNA is also clarified by bio-computational simulation results. Confocal laser scanning microscopy is used to analyze the morphological changes of apoptosis in HeLa cells under the action of laser light, paclitaxel and colchicine, and the changes of microenvironment between mitochondria and nucleolus are quantitatively analyzed by fluorescence lifetime imaging phase map. It is determined that the average fluorescence lifetime of the probe labeled mitochondria in steady-state HeLa cells is about 3.65 ns. The mitochondrial viscosity is about 66×10–3Pa·s. After laser irradiation, mitochondrial fracture and fusion occur, the fluorescence lifetime of the probe decreases to 3.61 ns and the mitochondrial viscosity increases to about 131×10–3Pa·s. The mean fluorescence lifetime of the probe labeled nucleolus of HeLa cells increases from 4.23 ns to 4.32 ns, indicating that the changes of the nucleolus microenvironment is induced by prolonging laser irradiation. Apoptosis is induced by paclitaxel and colchicine, and the nucleolus moves out of the nucleus and into the cytoplasm. Meanwhile, the fluorescence lifetime of the probe labeled nucleolus first increases and then decreases. The treatment time of paclitaxel increases from 0.5 h to 4 h, and the average lifetime of the probe labeled nucleolus of HeLa cells increases from 4.19 ns to 4.47 ns, and finally decreases to 4.42 ns, reflecting the differences in nucleolar microenvironment of HeLa cells induced by different treatment times of paclitaxel. Comparing with the blank HeLa cell, the average lifetime of the probe increases from 4.10 ns to 4.34 ns after 1 h treatment with colchicine at low concentration (10 nmol/L), and continuously increases to 4.47 ns after 1 h treatment with high concentration (100 nmol/L) colchicine. The microenvironments of nucleolus and mitochondria induced by apoptosis induced by colchicine at different concentrations are shown. The above three ways of inducing injury or apoptosis, i.e. by laser light, paclitaxel and colchicine, prove that the changes of nucleolar and mitochondrial microenvironment and functional changes of HeLa cells under the condition of cell instability provide a new method of studying the dynamic process of apoptosis induced by different pathways and the diseases related to nucleolar and mitochondrial dysfunction as well.
Nucleolus and mitochondria play an important role in maintaining cell balance, and studying their physiological processes is helpful in understanding the biological functions. In this work, a red fluorescent pyrene rhodamine probe is used to target and label cell mitochondria and nucleolus under different conditions, and the binding mode of probe and RNA is also clarified by bio-computational simulation results. Confocal laser scanning microscopy is used to analyze the morphological changes of apoptosis in HeLa cells under the action of laser light, paclitaxel and colchicine, and the changes of microenvironment between mitochondria and nucleolus are quantitatively analyzed by fluorescence lifetime imaging phase map. It is determined that the average fluorescence lifetime of the probe labeled mitochondria in steady-state HeLa cells is about 3.65 ns. The mitochondrial viscosity is about 66×10–3Pa·s. After laser irradiation, mitochondrial fracture and fusion occur, the fluorescence lifetime of the probe decreases to 3.61 ns and the mitochondrial viscosity increases to about 131×10–3Pa·s. The mean fluorescence lifetime of the probe labeled nucleolus of HeLa cells increases from 4.23 ns to 4.32 ns, indicating that the changes of the nucleolus microenvironment is induced by prolonging laser irradiation. Apoptosis is induced by paclitaxel and colchicine, and the nucleolus moves out of the nucleus and into the cytoplasm. Meanwhile, the fluorescence lifetime of the probe labeled nucleolus first increases and then decreases. The treatment time of paclitaxel increases from 0.5 h to 4 h, and the average lifetime of the probe labeled nucleolus of HeLa cells increases from 4.19 ns to 4.47 ns, and finally decreases to 4.42 ns, reflecting the differences in nucleolar microenvironment of HeLa cells induced by different treatment times of paclitaxel. Comparing with the blank HeLa cell, the average lifetime of the probe increases from 4.10 ns to 4.34 ns after 1 h treatment with colchicine at low concentration (10 nmol/L), and continuously increases to 4.47 ns after 1 h treatment with high concentration (100 nmol/L) colchicine. The microenvironments of nucleolus and mitochondria induced by apoptosis induced by colchicine at different concentrations are shown. The above three ways of inducing injury or apoptosis, i.e. by laser light, paclitaxel and colchicine, prove that the changes of nucleolar and mitochondrial microenvironment and functional changes of HeLa cells under the condition of cell instability provide a new method of studying the dynamic process of apoptosis induced by different pathways and the diseases related to nucleolar and mitochondrial dysfunction as well.
2024, 73(7): 079601.
doi:10.7498/aps.73.20231855
Abstract:
Based on the multiple-vantage observations of STEREO, SOHO, wind and other spacecraft, the fast and wide coronal mass ejections (CME) during the 24th solar cycle from January 2010 to September 2014 are selected in this paper. Using the outputs of Richardson’s (2014) empirical model of solar energetic particle (SEP) intensity under different conditions, the effects of its associations such as CME, pre-CME, and type II radio bursts, on SEP intensity are analyzed, and the relationship between SEP event and these characteristics is also discussed. The main conclusions are as follows. 1) The presence or absence of pre-CME within 13 h before fast CME significantly improves the model prediction effect and has a significant influence on whether fast CME produces SEP event. Compared with the events without pre-CMEs, the events with pre-CMEs have a low proportion of false alarms (FR: 47.7%vs.70%). However, the number of pre-CMEs does not improve the model output. 2) CMEs with type-II radio bursts have significantly lower FR to generate SEP events than fast CMEs without type-II radio bursts (42%vs.68%). And selecting type-II radio bursts as a constraint will filter out some small/weak SEP events, the relationship between model predictions and observations especially for large SEP events (e.g.Ip≥ 0.01 pfu/MeV) will stand out. Moreover, if the type-II radio enhancement is taken into account, FR can be further reduced to 29.4%, and the proportion of hits can be further increased (HR: 48.5%), and the model prediction is significantly improved. 3) The larger the start frequency of type II radio bursts, the smaller the end frequency is, and FR decreases slightly, but at the same time, a large number of SEP events are excluded by this condition, and the results show that the constraints on the start/end frequency of type-II radio bursts do not improve the model predictions distinctly. 4) If the sub-classification of type-II radio bursts is considered as the model constraint, the CMEs associated with multi-band type-II radio bursts have better model predictions than those with single-band events. For example, m-DH-km type-II radio bursts have lower FR (35.4%) and higher HR (48%), and the accuracy of empirical model is higher. In summary, we find that in addition to the velocity and angular width of CME, the associations of pre-CME, type II radio bursts and their enhancement, and multi-band sub-classification are the favorable conditions for CME to generate SEP events. The SEP intensities obtained by the empirical model have better consistency with the observations, and better predictions can be obtained. This investigation indicates that SEP events are more likely generated by fast and wide CMEs accompanied by pre-CMEs, multi-band type II radio bursts and their enhancements, which seem to serve as discriminative signal for SEP-rich and SEP-poor CMEs.
Based on the multiple-vantage observations of STEREO, SOHO, wind and other spacecraft, the fast and wide coronal mass ejections (CME) during the 24th solar cycle from January 2010 to September 2014 are selected in this paper. Using the outputs of Richardson’s (2014) empirical model of solar energetic particle (SEP) intensity under different conditions, the effects of its associations such as CME, pre-CME, and type II radio bursts, on SEP intensity are analyzed, and the relationship between SEP event and these characteristics is also discussed. The main conclusions are as follows. 1) The presence or absence of pre-CME within 13 h before fast CME significantly improves the model prediction effect and has a significant influence on whether fast CME produces SEP event. Compared with the events without pre-CMEs, the events with pre-CMEs have a low proportion of false alarms (FR: 47.7%vs.70%). However, the number of pre-CMEs does not improve the model output. 2) CMEs with type-II radio bursts have significantly lower FR to generate SEP events than fast CMEs without type-II radio bursts (42%vs.68%). And selecting type-II radio bursts as a constraint will filter out some small/weak SEP events, the relationship between model predictions and observations especially for large SEP events (e.g.Ip≥ 0.01 pfu/MeV) will stand out. Moreover, if the type-II radio enhancement is taken into account, FR can be further reduced to 29.4%, and the proportion of hits can be further increased (HR: 48.5%), and the model prediction is significantly improved. 3) The larger the start frequency of type II radio bursts, the smaller the end frequency is, and FR decreases slightly, but at the same time, a large number of SEP events are excluded by this condition, and the results show that the constraints on the start/end frequency of type-II radio bursts do not improve the model predictions distinctly. 4) If the sub-classification of type-II radio bursts is considered as the model constraint, the CMEs associated with multi-band type-II radio bursts have better model predictions than those with single-band events. For example, m-DH-km type-II radio bursts have lower FR (35.4%) and higher HR (48%), and the accuracy of empirical model is higher. In summary, we find that in addition to the velocity and angular width of CME, the associations of pre-CME, type II radio bursts and their enhancement, and multi-band sub-classification are the favorable conditions for CME to generate SEP events. The SEP intensities obtained by the empirical model have better consistency with the observations, and better predictions can be obtained. This investigation indicates that SEP events are more likely generated by fast and wide CMEs accompanied by pre-CMEs, multi-band type II radio bursts and their enhancements, which seem to serve as discriminative signal for SEP-rich and SEP-poor CMEs.












