2024 Vol. 73, No. 8
column
- INVITED REVIEW
- REVIEW
- GENERAL
- ATOMIC AND MOLECULAR PHYSICS
- ELECTROMAGNETISM, OPTICS, ACOUSTICS, HEAT TRANSFER, CLASSICAL MECHANICS, AND FLUID DYNAMICS
- PHYSICS OF GASES, PLASMAS, AND ELECTRIC DISCHARGES
- CONDENSED MATTER: STRUCTURAL, MECHANICAL, AND THERMAL PROPERTIES
- CONDENSED MATTER: ELECTRONIC STRUCTURE, ELECTRICAL, MAGNETIC, AND OPTICAL PROPERTIES
- INTERDISCIPLINARY PHYSICS AND RELATED AREAS OF SCIENCE AND TECHNOLOGY
- COVER ARTICLE
Display Method:
2024, 73(8): 080701.
doi:10.7498/aps.73.20232001
Abstract:
Polaritons, as hybrid excitations of light and matter, are important for miniaturizing the integrated nano-optoelectronic devices due to their capability of manipulating nanolight. Recently, the state-of-the-art nano-imaging technique (e.g. scattering-type scanning near-field optical microscope) has visualized various types of polaritons and revealed the physical mechanism behind them. The nanometer-resolution imaging not only deepens our understanding of fundamentals of polaritons but also promotes the studies of polariton manipulation and applications. In this review paper, we systematically summarize the recent near-field study of polaritons. Rather than other previous reviews focusing on polaritons in two-dimensional materials, our review extends the polaritonic systems to multiple dimensions (3D/2D/1D), at the same time we also collect the latest progress of polaritons in anisotropic systems. Moreover, we show the recent study of polariton manipulation and their corresponding applications, e.g. sub-diffractional imaging, focusing, optical modulator, nanostructure diagnosis and molecular sensing. Our review also look forward to future opportunities of polaritonics and its nanophotonic applications.
Polaritons, as hybrid excitations of light and matter, are important for miniaturizing the integrated nano-optoelectronic devices due to their capability of manipulating nanolight. Recently, the state-of-the-art nano-imaging technique (e.g. scattering-type scanning near-field optical microscope) has visualized various types of polaritons and revealed the physical mechanism behind them. The nanometer-resolution imaging not only deepens our understanding of fundamentals of polaritons but also promotes the studies of polariton manipulation and applications. In this review paper, we systematically summarize the recent near-field study of polaritons. Rather than other previous reviews focusing on polaritons in two-dimensional materials, our review extends the polaritonic systems to multiple dimensions (3D/2D/1D), at the same time we also collect the latest progress of polaritons in anisotropic systems. Moreover, we show the recent study of polariton manipulation and their corresponding applications, e.g. sub-diffractional imaging, focusing, optical modulator, nanostructure diagnosis and molecular sensing. Our review also look forward to future opportunities of polaritonics and its nanophotonic applications.
2024, 73(8): 084204.
doi:10.7498/aps.73.20240047
Abstract:
Experimental techniques and theoretical calculations have made significant breakthroughs recently in realizing the ultrafast time resolution and the understanding of microscopic details on an atomic scale, which has brought new insights into the ultrafast microscopic dynamics of water system and aqueous system. Here we focus on the dynamic processes of ionization, dissociation, as well as plasmonization of water molecules, water clusters, and liquid water under different intensities of light excitation.
The pump-probe technique allows one to extract the information about the orbital-dependent phase shift during photoionization, corresponding to delays on a time scale from tens to hundreds of attoseconds. Delay time in photoionization is found to be proportional to the delocalization of molecular/cluster orbitals. In addition, the information related to the Feshbach resonance is also of interest. By solving the scattering equations, the detailed information about the scattering cross section, the
β-parameter, and the involved Rydberg orbitals during valence electron ionization of water is obtained.
For liquid water undergoing irradiation by an optical field, the tunneling electrons are unable to move away and recombine with the parent molecule on a time scale of 100 fs if the external field is not strong enough (e.g. ~100 kV/cm). For terahertz fields as high as 250 kV/cm, electrons will move away from the parent molecule after tunnelling and undergo decoherence on a 10-fs time scale. At the beginning of tunneling the electrons will be more delocalized and will collapse to a certain position on a time scale of ~1 ps, and then slowly diffuse or recombine with holes on a longer time scale. For the strong excitation case, hot electrons may also be formed. When a hot electron is located on a particular water molecule, the O—H bond will be broken.
When an electron ionizes away, a hole will be created. The hole will be located on a water molecule within 10 fs, and will trigger off subsequent processes such as proton transfer and coherent oscillations. In particular, after the hole is localized and before the proton is transferred, there is a brief appearance of the metastable
\begin{document}$ {{{\mathrm{H}}}_{2}{\mathrm{O}}}^{+} $\end{document}
ion, whose lifetime is experimentally captured and is predicted to be (46±10) fs. The nuclear quantum effect in this process plays a key role.
Using the methods such as real time-time dependent density functional theory (rt-TDDFT), it is found that the water undergoes plasmonization under intense laser pulses corresponding to a field strength amplitude larger than 2.4 V/Å. The effective electron temperature in this period reaches over 20000 K. Strongly excited water in this state exhibits the behaviors of a liquid metal, and extremely strong nonthermal effect and nonadiabatic effect. In the process of plasmonization, a large fraction of chemical bonds in water molecules are broken and reorganize themselves, and many chemical species such as hydrogen molecules may appear, which also implies that laser-induced plasmonization can be used to synthesize new substances.
Although the previous researches have brought about a very rich understanding, we have also found some details that still need to be explored: i) the influence of nuclear quantum effects has not been taken into account in most of theoretical calculations, which may result in the inadequate description and inaccurate prediction; ii) some of the microscopic details observed in simulations do not yet have a direct counterpart in experimental measurements; iii) the current simulation of water plasmonization is for the local behavior under the spatially uniform external field, while in the real situation there are spatial inhomogeneity and energy flow, which urgently need larger-scale excited state dynamics simulations.
With the development of laser technology, the integration of water science and ultrafast technologies will be increasingly strong, so we believe that such a systematic understanding will play a key role in the future. It is expected that new research efforts will continue to contribute to a better understanding and the generation of new technologies in this exciting research field.
2024, 73(8): 088801.
doi:10.7498/aps.73.20231977
Abstract:
Efficient and stable perovskite/heterojunction tandem solar cells (PTSC) are a direction of joint exploration in both academia and industry. Achieving efficient solar energy utilization by assembling structural layers with different bandgaps in an optical sequence is the original design strategy for PTSC. Through the reasonable distribution of the absorption spectra of each layer, the photoelectric conversion efficiency (PCE) of PTSC can theoretically be increased to more than 40%. At present, the efficiency advantage of small-area PTSC is well-established, but there are still many challenges in the commercialization of solar cell efficiency and stability. Therefore, in this work, the two-terminal (2T) and four-terminal (4T) stacking methods are regarded as the main structural routes, and the optimal design of the key structural layers of PTSC, bandgap adjustment, additive regulation, optimization of interlayer transport, and optimization of the module interconnection and encapsulation methods are focused on. Based on the existing research results, the key problems and solutions affecting the efficiency and stability of PTSC are summarized and outlooked, aiming to provide directional solutions to the key problems in the structural design of PTSC. In addition, from the application perspective, it is proposed that before the stability problem of the perovskite is fundamentally solved, the 4T PTSC is more likely to achieve product iteration and industrial efficiency improvement, with the expectation of taking the lead in commercialization. This work emphasizes the popularization and practical application of commercialization, with a perspective that is more in line with the market trend and close to the industrial demand, and is expected to provide an important reference for the commercialization of PTSC in the academic circles.
Efficient and stable perovskite/heterojunction tandem solar cells (PTSC) are a direction of joint exploration in both academia and industry. Achieving efficient solar energy utilization by assembling structural layers with different bandgaps in an optical sequence is the original design strategy for PTSC. Through the reasonable distribution of the absorption spectra of each layer, the photoelectric conversion efficiency (PCE) of PTSC can theoretically be increased to more than 40%. At present, the efficiency advantage of small-area PTSC is well-established, but there are still many challenges in the commercialization of solar cell efficiency and stability. Therefore, in this work, the two-terminal (2T) and four-terminal (4T) stacking methods are regarded as the main structural routes, and the optimal design of the key structural layers of PTSC, bandgap adjustment, additive regulation, optimization of interlayer transport, and optimization of the module interconnection and encapsulation methods are focused on. Based on the existing research results, the key problems and solutions affecting the efficiency and stability of PTSC are summarized and outlooked, aiming to provide directional solutions to the key problems in the structural design of PTSC. In addition, from the application perspective, it is proposed that before the stability problem of the perovskite is fundamentally solved, the 4T PTSC is more likely to achieve product iteration and industrial efficiency improvement, with the expectation of taking the lead in commercialization. This work emphasizes the popularization and practical application of commercialization, with a perspective that is more in line with the market trend and close to the industrial demand, and is expected to provide an important reference for the commercialization of PTSC in the academic circles.
2024, 73(8): 080201.
doi:10.7498/aps.73.20231877
Abstract:
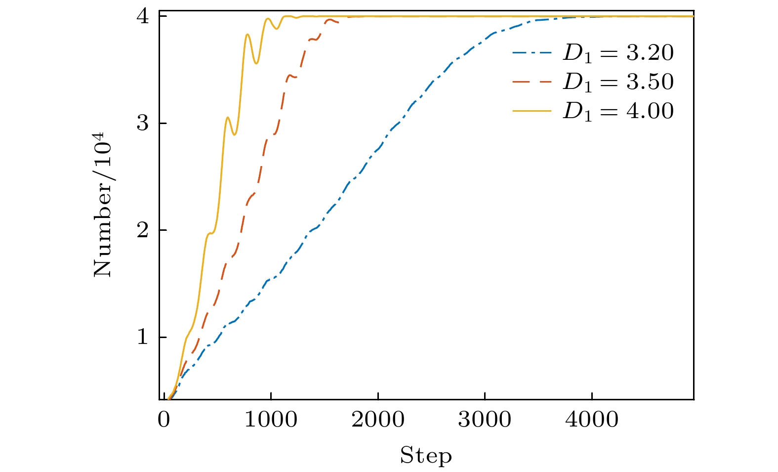
Currently, most of researches on the spatial patterns of the SI model focus on the influences of self-diffusion and system parameters on pattern formation, but only a few studies involve how cross-diffusion influences the evolution of spatial patterns. In this paper, we establish a spatial epidemic model that considers both self-diffusion and cross-diffusion and investigate the effects of cross-diffusion on the stability, the rate of stability, and the pattern structure of the SI model with or without self-diffusion-driven system instability. The stability of the non-diffusive system is analyzed, and the conditions for Turing instability in the presence of diffusion terms are elucidated. It is found that when the system is stable under self-diffusion-driven conditions, the introduction of cross-diffusion can change the system's local stability, and produce Turing patterns as well. Furthermore, different cross-diffusion coefficients can generate patterns with different structures. When the system is unstable under self-diffusion-driven conditions, the introduction of cross-diffusion can change the pattern structure. Specifically, when the cross-diffusion coefficient
\begin{document}$D_1$\end{document}
for the susceptible individuals is negative, the pattern structure is transformed from spot-stripe patterns into spot patterns, and when it is positive, the pattern structureturns from spot-stripe patterns into labyrinthine patterns, and eventually into a uniform solid color distribution. When the cross-diffusion coefficient
\begin{document}$D_2$\end{document}
for the infected individuals is positive, the pattern transformation is similar to when the cross-diffusion coefficient
\begin{document}$D_1$\end{document}
for susceptible individuals is negative, the pattern graduallychanges into spot patterns. When
\begin{document}$D_2$\end{document}
is negative, the pattern structure exhibits a porous structure, eventually it is transformed into a uniform solid color distribution. Regarding the rate of stability of the SI model, in the case of a stable self-diffusion system, the introduction of cross-diffusion may change the rate of system stability, and the larger the cross-diffusion coefficient
\begin{document}$D_1$\end{document}
for the susceptible individuals, the faster the system stabilizes. When the self-diffusion-driven system is unstable, the cross-diffusion causes the system to change from an unstable state into a locally stable state, and the smaller the susceptible individuals' cross-diffusion coefficient, the slower the rate of system stabilization is. Therefore, cross-diffusion has a significantinfluence on the stability, the rate of stability, and the pattern structure of the SI model.
Currently, most of researches on the spatial patterns of the SI model focus on the influences of self-diffusion and system parameters on pattern formation, but only a few studies involve how cross-diffusion influences the evolution of spatial patterns. In this paper, we establish a spatial epidemic model that considers both self-diffusion and cross-diffusion and investigate the effects of cross-diffusion on the stability, the rate of stability, and the pattern structure of the SI model with or without self-diffusion-driven system instability. The stability of the non-diffusive system is analyzed, and the conditions for Turing instability in the presence of diffusion terms are elucidated. It is found that when the system is stable under self-diffusion-driven conditions, the introduction of cross-diffusion can change the system's local stability, and produce Turing patterns as well. Furthermore, different cross-diffusion coefficients can generate patterns with different structures. When the system is unstable under self-diffusion-driven conditions, the introduction of cross-diffusion can change the pattern structure. Specifically, when the cross-diffusion coefficient
2024, 73(8): 080202.
doi:10.7498/aps.73.20231813
Abstract:
Due to the limitation of the stability condition, the finite-difference time-domain (FDTD) method cannot efficiently deal with electromagnetic problems containing fine structures. The explicit and unconditionally stable (EUS) FDTD method can eliminate the constraint of the stability condition and improve the simulation efficiency of fine structures by filtering out the unstable modes for the system matrix. However, the EUS-FDTD method needs to solve the eigenvalues of the numerical system matrix, and the symmetry of the numerical system matrix needs to be ensured when the subgridding scheme is used to discretize targets containing fine structures. The existing EUS-FDTD subgridding method encounters some problems such as complex implementation and insufficient accuracy. In order to solve the above problems, in this work, the hanging variables subgridding (HVS) algorithm is applied to the EUS-FDTD algorithm. Starting from the symmetry of the system matrix, the stability of the hanging variables subgridding algorithm is proven, and a high-precision, stable, and easy-to-implement HVS-EUS-FDTD scheme is proposed. Numerical examples of the radiation of linear magnetic currents in free space, electromagnetic scattering of multiple dielectric objects, and a three-dimensional cavity containing a medium demonstrate the stability, high accuracy and efficiency of the proposed method. Numerical experiments show that the computational efficiency of the HVS-EUS-FDTD algorithm can be improved hundreds of times compared with that of the uniform fine grid FDTD algorithm, and the highest computational efficiency can be improved up to ratio (the size ratio of coarse grid to fine grid) times compared with that of the HVS-FDTD algorithm.
Due to the limitation of the stability condition, the finite-difference time-domain (FDTD) method cannot efficiently deal with electromagnetic problems containing fine structures. The explicit and unconditionally stable (EUS) FDTD method can eliminate the constraint of the stability condition and improve the simulation efficiency of fine structures by filtering out the unstable modes for the system matrix. However, the EUS-FDTD method needs to solve the eigenvalues of the numerical system matrix, and the symmetry of the numerical system matrix needs to be ensured when the subgridding scheme is used to discretize targets containing fine structures. The existing EUS-FDTD subgridding method encounters some problems such as complex implementation and insufficient accuracy. In order to solve the above problems, in this work, the hanging variables subgridding (HVS) algorithm is applied to the EUS-FDTD algorithm. Starting from the symmetry of the system matrix, the stability of the hanging variables subgridding algorithm is proven, and a high-precision, stable, and easy-to-implement HVS-EUS-FDTD scheme is proposed. Numerical examples of the radiation of linear magnetic currents in free space, electromagnetic scattering of multiple dielectric objects, and a three-dimensional cavity containing a medium demonstrate the stability, high accuracy and efficiency of the proposed method. Numerical experiments show that the computational efficiency of the HVS-EUS-FDTD algorithm can be improved hundreds of times compared with that of the uniform fine grid FDTD algorithm, and the highest computational efficiency can be improved up to ratio (the size ratio of coarse grid to fine grid) times compared with that of the HVS-FDTD algorithm.
2024, 73(8): 080702.
doi:10.7498/aps.73.20240025
Abstract:
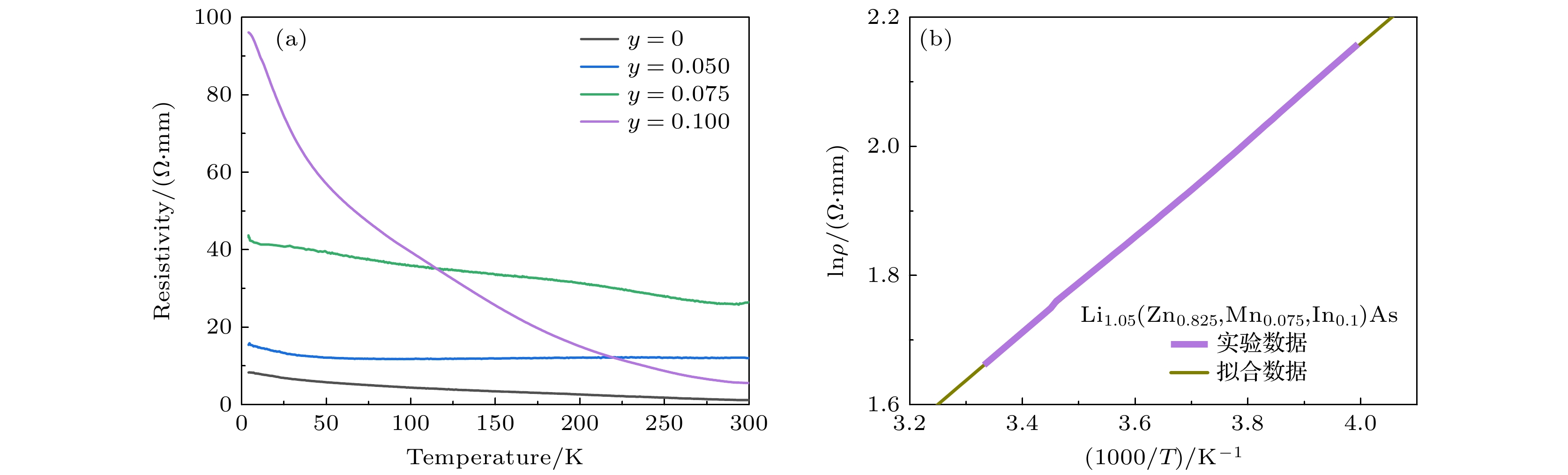
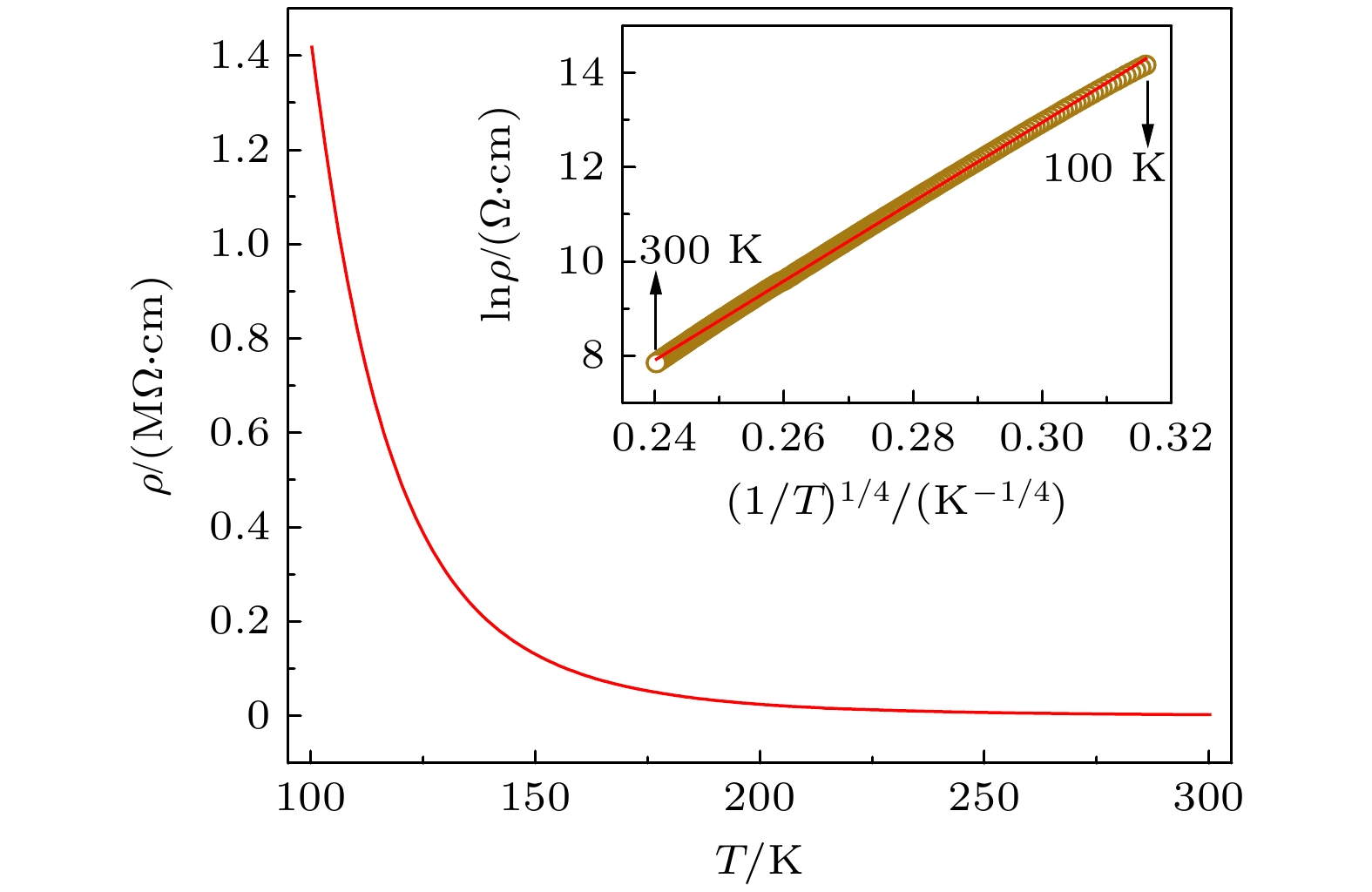
Recently, it has been discovered that theAB(N,O)3-type perovskite oxynitrides exhibit excellent dielectric, ferroelectric, and photocatalytic properties, promising for applications in the fields of optoelectronics, energy storage, and communication. Due to the differences in charge, ionic radius, and covalent bonding between N3–ion and O2–ion, the N substitution for O enhances theB(N,O)6octahedron tilting, giving rise to exotic properties and functionalities. However, the current fabrication process for this type of material is rather time-consuming, leading to products with an appreciable quantity of impurities. In this study, using oxide precursors and sodium amide as the nitrogen source, high-purity perovskite-type oxynitride CeTaN2O bulk materials are successfully synthesized under high-temperature and high-pressure conditions provided by a cubic-anvil press. The synthesis time decreases to 1 h, achieving rapid production. The lattice structure and physical properties of the obtained samples are comprehensively investigated. X-ray powder diffraction experiments and subsequent Rietveld refinement indicate that the title material shows an orthorhombic crystal structure with the space group ofPnma. The X-ray absorption spectra confirm the charge configuration and the anion composition as Ce3+Ta5+N2O. Magnetization and specific heat measurements reveal that the exchange interactions are mainly antiferromagnetic, with a potential magnetic transition below 2 K. The electrical transport data demonstrate typical semiconductor behaviors, which can be further explained by a three-dimensional variable-range hopping model. Our study paves the way for putting this exotic perovskite oxynitride into practical applications.
Recently, it has been discovered that theAB(N,O)3-type perovskite oxynitrides exhibit excellent dielectric, ferroelectric, and photocatalytic properties, promising for applications in the fields of optoelectronics, energy storage, and communication. Due to the differences in charge, ionic radius, and covalent bonding between N3–ion and O2–ion, the N substitution for O enhances theB(N,O)6octahedron tilting, giving rise to exotic properties and functionalities. However, the current fabrication process for this type of material is rather time-consuming, leading to products with an appreciable quantity of impurities. In this study, using oxide precursors and sodium amide as the nitrogen source, high-purity perovskite-type oxynitride CeTaN2O bulk materials are successfully synthesized under high-temperature and high-pressure conditions provided by a cubic-anvil press. The synthesis time decreases to 1 h, achieving rapid production. The lattice structure and physical properties of the obtained samples are comprehensively investigated. X-ray powder diffraction experiments and subsequent Rietveld refinement indicate that the title material shows an orthorhombic crystal structure with the space group ofPnma. The X-ray absorption spectra confirm the charge configuration and the anion composition as Ce3+Ta5+N2O. Magnetization and specific heat measurements reveal that the exchange interactions are mainly antiferromagnetic, with a potential magnetic transition below 2 K. The electrical transport data demonstrate typical semiconductor behaviors, which can be further explained by a three-dimensional variable-range hopping model. Our study paves the way for putting this exotic perovskite oxynitride into practical applications.
2024, 73(8): 083101.
doi:10.7498/aps.73.20231935
Abstract:
Stanene possesses excellent properties, including an extremely high charge carrier density, massless Dirac fermions, and high thermal conductivity. Moreover, it exhibits band inversion phenomena, being made a candidate for a topological insulator. Topological insulators can generate dissipationless electric currents under certain conditions, showing great application potentials. However, the presence of a Dirac cone in the band structure of stanene at the high-symmetry pointKin the Brillouin zone, resulting in a zero band gap, significantly limits its applications in the semiconductor field. This study adopts the method of doping B/N elements in stanene and applying an electric field perpendicular to the stanene to open the band gap at theKpoint. The effects of doping and the intensity of the applied electric field on the structural and electronic properties of stanene are investigated. The results reveal that both doping B elements and applying a vertical electric field can open the band gap at theKpoint while preserving the topological properties of stanene. Additionally, there is a positive correlation between the applied vertical electric field intensity and the band gap at theKpoint. Simultaneously doping B elements and applying a vertical electric field can increase the band gap at theKpoint, reaching 0.092 eV when the electric field intensity is 0.5 V/Å. After doping N elements, stanene is transformed into an indirect band gap semiconductor with a band gap of 0.183 eV. Applying a vertical electric field cannot change the structure of N-doped stanene, and the intensity of the applied vertical electric field is negatively correlated with the band gap at theKpoint. When the electric field intensity is 0.5 V/Å, the band gap at theKpoint decreases to 0.153 eV.
Stanene possesses excellent properties, including an extremely high charge carrier density, massless Dirac fermions, and high thermal conductivity. Moreover, it exhibits band inversion phenomena, being made a candidate for a topological insulator. Topological insulators can generate dissipationless electric currents under certain conditions, showing great application potentials. However, the presence of a Dirac cone in the band structure of stanene at the high-symmetry pointKin the Brillouin zone, resulting in a zero band gap, significantly limits its applications in the semiconductor field. This study adopts the method of doping B/N elements in stanene and applying an electric field perpendicular to the stanene to open the band gap at theKpoint. The effects of doping and the intensity of the applied electric field on the structural and electronic properties of stanene are investigated. The results reveal that both doping B elements and applying a vertical electric field can open the band gap at theKpoint while preserving the topological properties of stanene. Additionally, there is a positive correlation between the applied vertical electric field intensity and the band gap at theKpoint. Simultaneously doping B elements and applying a vertical electric field can increase the band gap at theKpoint, reaching 0.092 eV when the electric field intensity is 0.5 V/Å. After doping N elements, stanene is transformed into an indirect band gap semiconductor with a band gap of 0.183 eV. Applying a vertical electric field cannot change the structure of N-doped stanene, and the intensity of the applied vertical electric field is negatively correlated with the band gap at theKpoint. When the electric field intensity is 0.5 V/Å, the band gap at theKpoint decreases to 0.153 eV.
2024, 73(8): 083201.
doi:10.7498/aps.73.20240016
Abstract:
In this study, the photoionization cross sections of C5+, Al12+, and W73+ions in a Debye plasma environment are calculated in the dipole approximation. The main emphasis is placed on investigating the influence of relativistic effects on shape resonances, Cooper minima, and virtual state effects. The relativistic effects lead to fine-structure splittings, allowing the appearance of double-shape resonance peaks in the total cross-section. Because the width and energy position of resonance peak are affected by the near critical screening length, the increase of nuclear charge Z leads to the significant differences in the size, width, and position of the double-shape resonance peak. The energy position of Cooper minimum in the photoelectrons is related to the critical screening length corresponding to the final continuum state. Unlike the deeper minima observed in the total photoionization cross-sections for C5+and Al12+ions, for the higher nuclear charge of W73+ions, the significant fine-structure splitting arising from relativistic effects results in substantial differences in the positions of the Cooper minima in the partial cross-sections. Therefore, when superimposed on the total cross section, these minima appear shallower. The W73+ion has a higher nuclear charge, and the screening length related to the virtual state effect is completely different from that of C5+ion and Al12+ion. Moreover, for the same screening length, there is a significant difference in the virtual state enhancement amplitude between C5+ion and Al12+ion in the low energy region .
In this study, the photoionization cross sections of C5+, Al12+, and W73+ions in a Debye plasma environment are calculated in the dipole approximation. The main emphasis is placed on investigating the influence of relativistic effects on shape resonances, Cooper minima, and virtual state effects. The relativistic effects lead to fine-structure splittings, allowing the appearance of double-shape resonance peaks in the total cross-section. Because the width and energy position of resonance peak are affected by the near critical screening length, the increase of nuclear charge Z leads to the significant differences in the size, width, and position of the double-shape resonance peak. The energy position of Cooper minimum in the photoelectrons is related to the critical screening length corresponding to the final continuum state. Unlike the deeper minima observed in the total photoionization cross-sections for C5+and Al12+ions, for the higher nuclear charge of W73+ions, the significant fine-structure splitting arising from relativistic effects results in substantial differences in the positions of the Cooper minima in the partial cross-sections. Therefore, when superimposed on the total cross section, these minima appear shallower. The W73+ion has a higher nuclear charge, and the screening length related to the virtual state effect is completely different from that of C5+ion and Al12+ion. Moreover, for the same screening length, there is a significant difference in the virtual state enhancement amplitude between C5+ion and Al12+ion in the low energy region .
2024, 73(8): 084201.
doi:10.7498/aps.73.20231754
Abstract:
Based on the directional emission effect of semiconductor deformed microcavities, the fabrication of deformed microcavities in isotropic thin films will provide a new solution for multifunctional and highly integrated photonic active chips. Because the Limacon shaped microcavity has become one of the important configurations of single-mode, low threshold on-chip lasers, the directional emission properties of microdisks fabricated in thin film are investigated. Taking the TE20,1mode existing in the Z-cut lithium niobate thin film microdisk for example, according to two-dimensional wave optics theory, the mode distribution, quality factorQ, and directional emission factorDof microdisk variations with deformation factor
\begin{document}$\varepsilon $\end{document}
are respectively analyzed through using the wave optics module of COMSOL. Adopting classical scattering theory, Poincaré surfaces of sections under different deformation factors are simulated by optimizing the Dynamical Billards.jl library in Julia. In the simulation realized by Julia, 200 particle collisions are used 200 times to simulate 200 reflections of rays and finally PSOS images are obtained. Simulation results reveal that when the azimuthal quantum number of the light wave mode remains unchanged, although the shape of the microdisk varies, the ratio of the resonant wavelength inside the microdisk to the circumference of the microdisk is approximately a constant, which can predict the microdisk size and resonant wavelength estimation of microcavities. The corresponding PSOS shows that when
\begin{document}$\varepsilon > 0.45$\end{document}
, the entire region is covered by chaotic sea area, therefore
\begin{document}$\varepsilon $\end{document}
values of 0, 0.16, 0.24, 0.28, 0.45 are selected to simulate the TE20,1mode distribution, far-field radiation flux angle distribution, and PSOS. Theoretical simulation results show that when the deformation factor is greater than 0.24, the microdisk has good unidirectional lasing property, with aQfactor greater than 105. When the deformation factor is greater than 0.4, the PSOS is almost occupied by the chaotic sea area, with aQfactor below 103. Therefore, when the deformation factor of the limacon microdisk in the thin film can be chosen between 0.24 and 0.4, under which circumstance the microdisk not only carries high quality factor (about 103–105), but also forms high laser directionality (about 6.45–8.32). The theoretical simulation results will provide a certain theoretical reference for conducting the experimental research of thin film deformation microcavities.
Based on the directional emission effect of semiconductor deformed microcavities, the fabrication of deformed microcavities in isotropic thin films will provide a new solution for multifunctional and highly integrated photonic active chips. Because the Limacon shaped microcavity has become one of the important configurations of single-mode, low threshold on-chip lasers, the directional emission properties of microdisks fabricated in thin film are investigated. Taking the TE20,1mode existing in the Z-cut lithium niobate thin film microdisk for example, according to two-dimensional wave optics theory, the mode distribution, quality factorQ, and directional emission factorDof microdisk variations with deformation factor
2024, 73(8): 084202.
doi:10.7498/aps.73.20231923
Abstract:
Ultraviolet laser has high frequency, short wavelength, large single-photon energy, and high spatial resolution, and has wide applications in many fields such as fine processing, life sciences, and spectroscopy. In this work, a wavelength tunable ultraviolet laser based on intracavity third harmonic generation from an external-cavity surface-emitting laser is reported. The W-type resonant cavity of the laser is composed of a distributed Bragg reflector (DBR) at the bottom of the gain chip, three plane-concave mirrors, and a rear plane mirror. On the arm containing the gain chip, a birefringent filter is inserted at the Brewster angle as the polarization and wavelength tuning element, which can also narrow the linewidth of the fundamental laser to a certain extent. A type-I phase-matched LBO crystal is placed on the beam waist between the folding mirrors M2 and M3 to convert the 980 nm fundamental laser into 490 nm blue light, and a type-I phase-matched BBO crystal is inserted in the beam waist near the rear mirror to produce a 327 nm ultraviolet output from the remained 980 nm fundamental laser and the frequency-doubled 490 nm second harmonic. Before the BBO crystal, a half-wave plate at 980 nm is employed to change the polarization of the fundamental laser, so as to meet the type-I phase-matching condition of the used BBO crystal. Owing to the larger nonlinear coefficient of the type-I phase-matched BBO crystal, and its obviously higher transmittance at 327 nm wavelength than the usually used LBO crystal, the output power is obtained to be 538 mW at 327 nm ultraviolet wavelength, corresponding to a conversion efficiency of 1.1% from pump light to ultraviolet laser. The experiment is performed under conditions of 15 ℃ temperature, 47 W absorbed pump power, 5 mm-length LBO and 5 mm-length BBO crystals. By using a 2 mm-thick birefringent filter as the tuning element, 34.1 nm tuning range of the 980 nm fundamental laser, 14.3 nm tuning range of the 490 nm second harmonic, and 8.6 nm tuning range of the 327 nm third harmonic are obtained. The ultraviolet laser exhibits good beam quality as well as acceptable power stability with the maximum power fluctuation less than 2% within 4.5 h.
Ultraviolet laser has high frequency, short wavelength, large single-photon energy, and high spatial resolution, and has wide applications in many fields such as fine processing, life sciences, and spectroscopy. In this work, a wavelength tunable ultraviolet laser based on intracavity third harmonic generation from an external-cavity surface-emitting laser is reported. The W-type resonant cavity of the laser is composed of a distributed Bragg reflector (DBR) at the bottom of the gain chip, three plane-concave mirrors, and a rear plane mirror. On the arm containing the gain chip, a birefringent filter is inserted at the Brewster angle as the polarization and wavelength tuning element, which can also narrow the linewidth of the fundamental laser to a certain extent. A type-I phase-matched LBO crystal is placed on the beam waist between the folding mirrors M2 and M3 to convert the 980 nm fundamental laser into 490 nm blue light, and a type-I phase-matched BBO crystal is inserted in the beam waist near the rear mirror to produce a 327 nm ultraviolet output from the remained 980 nm fundamental laser and the frequency-doubled 490 nm second harmonic. Before the BBO crystal, a half-wave plate at 980 nm is employed to change the polarization of the fundamental laser, so as to meet the type-I phase-matching condition of the used BBO crystal. Owing to the larger nonlinear coefficient of the type-I phase-matched BBO crystal, and its obviously higher transmittance at 327 nm wavelength than the usually used LBO crystal, the output power is obtained to be 538 mW at 327 nm ultraviolet wavelength, corresponding to a conversion efficiency of 1.1% from pump light to ultraviolet laser. The experiment is performed under conditions of 15 ℃ temperature, 47 W absorbed pump power, 5 mm-length LBO and 5 mm-length BBO crystals. By using a 2 mm-thick birefringent filter as the tuning element, 34.1 nm tuning range of the 980 nm fundamental laser, 14.3 nm tuning range of the 490 nm second harmonic, and 8.6 nm tuning range of the 327 nm third harmonic are obtained. The ultraviolet laser exhibits good beam quality as well as acceptable power stability with the maximum power fluctuation less than 2% within 4.5 h.
2024, 73(8): 084203.
doi:10.7498/aps.73.20231913
Abstract:
Physical random numbers (PRNs) own various advantageous characteristics, including unpredictability, non-repeatability, higher security and reliability. Meanwhile, laser chaos has attracted great attention in the field of PRN. In terms of single channel PRN, laser chaos schemes can achieve a much higher bit-rate than traditional quantum PRN schemes. So far, various laser chaos PRN schemes have been discussed in order to enhance the performance of single channel laser chaos PRN. However, considering the limited bandwidth of laser chaos, especially the bandwidth of digital electronic circuit, the development potential of single channel PRN should be limited and may fall into the trap of high performance and expensive cost. Recently, the applications of multi-channel parallel PRN schemes have been developed. These parallel types may balance the high performance of PRN in a low cost. Recent progress indicates that chaotic micro-comb may have good potential. The micro-comb exhibits highly nonlinear and complex dynamic characteristics, and each comb tooth may show chaotic oscillation. The wavelength division multiplexing technology enables large-scale optical parallel output, providing the possiblity for large-scale parallel PRN generation. However, most of these PRN schemes are offline rather than true online and real-time random numbers. Thus, the development of real, online real-time parallel PRN solutions has great interest and research value in related fields.
Herein we experimentally demonstrat an ultra-high-speed parallel real-time physical random number generator, which is achieved though the combination of chaotic micro-comb of chip-scale Si
3N
4ultra-high Q micro-resonator and a high-speed field programmable gate array (FPGA). The results show that the Si
3N
4ultra-high Q micro-resonator generates a micro-comb with hundreds of channels, each channel can route into an optically chaotic state, and become an excellent physical entropy source. Using FPGA onboard multi-bit analog-to-digital converter, the filtered optical chaos signal from the micro-comb is discretely sampled and quantized, and resulting in an 8-bit binary bitstream. Taking real-time self-delayed exclusive or (XOR) processing of bitstream and preserving 4 least significant bits, the qualified physical random bitstream with real-time 5 Gbits/s rate is realized experimentally. Considering that there are 294 chaotic comb teeths, our approach anticipates a throughput of 1.74 Tbits/s of real-time physical random bits. Our results could offer a new integrated and ultra-high-speed option for real-time physical random number sources.
2024, 73(8): 084205.
doi:10.7498/aps.73.20232025
Abstract:
Optical pressure sensor plays a very important role in micro deformation detection, environmental monitoring, and medical fields. However, the quantitative relationship between the applied pressure and the optical response of the resonator before and after deformation is difficult to obtain. In this paper, a coupled resonator system based on metal-insulator-metal waveguide for optical pressure sensor is proposed. The mechanical properties of the system and the optical transmission properties before and after applied pressure are analyzed in detail by using the finite element method. Simulation results show that the maximum deformation of the resonator has a simple linear relationship with the applied pressure. We give a direct definition of the sensitivity of the optical pressure sensor. And based on the Fano resonance phenomenon caused by the coupling the slot cavity with the groove cavity, the optical pressure sensor with a sensitivity of 6.75 nm/MPa is achieved. In addition, we add stub resonator to obtain double Fano resonance phenomenon, and with the change of external pressure, the two Fano line types show different change laws. Specifically, a suitable pressure value can make a double Fano resonance become a single Fano resonance. The special features of our suggested structure are applicable to detecting optical property changes under different pressures, chemical high pressure experimental measurement and study of chemical reaction kinetics process.
Optical pressure sensor plays a very important role in micro deformation detection, environmental monitoring, and medical fields. However, the quantitative relationship between the applied pressure and the optical response of the resonator before and after deformation is difficult to obtain. In this paper, a coupled resonator system based on metal-insulator-metal waveguide for optical pressure sensor is proposed. The mechanical properties of the system and the optical transmission properties before and after applied pressure are analyzed in detail by using the finite element method. Simulation results show that the maximum deformation of the resonator has a simple linear relationship with the applied pressure. We give a direct definition of the sensitivity of the optical pressure sensor. And based on the Fano resonance phenomenon caused by the coupling the slot cavity with the groove cavity, the optical pressure sensor with a sensitivity of 6.75 nm/MPa is achieved. In addition, we add stub resonator to obtain double Fano resonance phenomenon, and with the change of external pressure, the two Fano line types show different change laws. Specifically, a suitable pressure value can make a double Fano resonance become a single Fano resonance. The special features of our suggested structure are applicable to detecting optical property changes under different pressures, chemical high pressure experimental measurement and study of chemical reaction kinetics process.
2024, 73(8): 084206.
doi:10.7498/aps.73.20231941
Abstract:
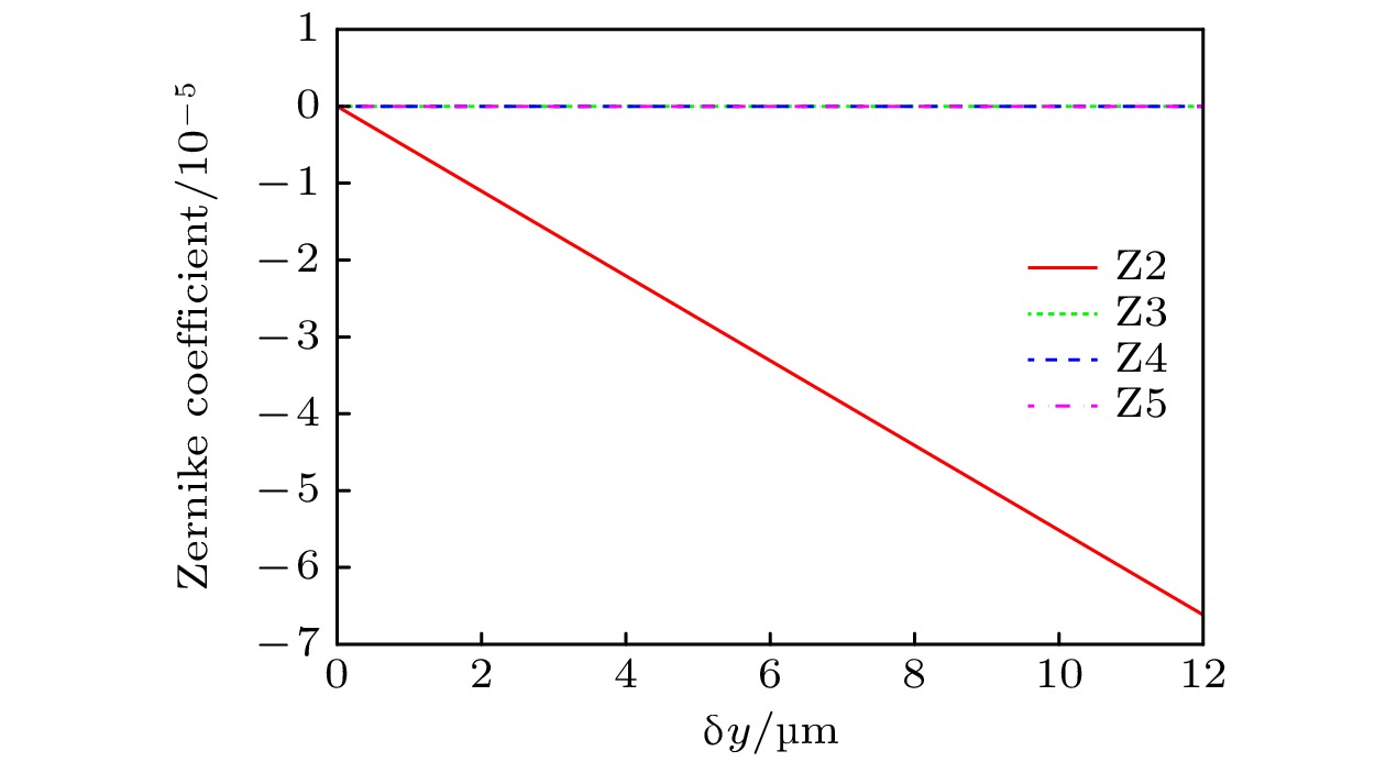
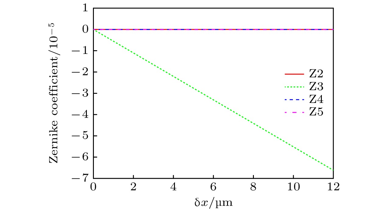
The fiber optic circulator in the form of point diffraction is a key component for coupling fiber optical path and spatial optical path in a laser Doppler vibration measurement system. The coupling efficiency and other performance parameters of fiber optic circulator are great significant for improving measurement accuracy and working distance of vibration measurement system. The conventional circulator coincidence detection methods include energy monitoring method and far-field coincidence monitoring method, which cannot be used to quantitatively analyze the fiber mismatch factors. Therefore, the consistency of the circulator coupling efficiency cannot be guaranteed. To solve these problems, a phase detection technology based on Hertz-level frequency-shifting heterodyne interferometry is proposed. The interferometry phase information is used to calculate the relative spatial positions of optical fibers, and this technology performs quantitative detection in the fiber alignment process. The interference wavefront formed by relative spatial positions of optical fibers is simulated and validated experimentally. The curves of coupling efficiency and wavefront PV value versus different kinds of alignment errors are simulated and analyzed. By fitting the interference wavefront with the Zernike polynomials, the correspondence between different kinds of alignment errors and Zernike coefficients is obtained. The value of Z2 (Zernike coefficient) can be used as the basis for judging whether there is transverse displacement in the Y direction. Similarly, Z3 corresponds to the transverse displacement in the X direction, Z4 corresponds to the longitudinal displacement in the Z direction and Z5 corresponds to the optical axis angle. Through this correspondence relationship, the quantitative separation and analysis of fiber mismatch factors are realized. The experimental results show that the accuracy of this method for measuring lateral displacement is better than 1μm. According to the phase diagram obtained from the experiment, Zernike coefficient fitting is performed. The lateral displacement deviation, longitudinal displacement deviation, and angular deviation are calculated by the coefficients of Z2 to Z5. The fiber adjustment mechanism corrects the transverse displacement deviation. It provides a new detection method for realizing fiber alignment and mismatch correction. Compared with the existing detection methods, the phase detection method based on Hertz-level frequency-shifting heterodyne interferometry solves the quantification problem of fiber coincidence adjustment. This method has the advantages of high measurement accuracy, compact detection structure and composition, and low detection cost. This method has great potential applications in the fields of optical fiber and spatial optical device alignment, optical system aberration detection, and planar wavefront detection.
The fiber optic circulator in the form of point diffraction is a key component for coupling fiber optical path and spatial optical path in a laser Doppler vibration measurement system. The coupling efficiency and other performance parameters of fiber optic circulator are great significant for improving measurement accuracy and working distance of vibration measurement system. The conventional circulator coincidence detection methods include energy monitoring method and far-field coincidence monitoring method, which cannot be used to quantitatively analyze the fiber mismatch factors. Therefore, the consistency of the circulator coupling efficiency cannot be guaranteed. To solve these problems, a phase detection technology based on Hertz-level frequency-shifting heterodyne interferometry is proposed. The interferometry phase information is used to calculate the relative spatial positions of optical fibers, and this technology performs quantitative detection in the fiber alignment process. The interference wavefront formed by relative spatial positions of optical fibers is simulated and validated experimentally. The curves of coupling efficiency and wavefront PV value versus different kinds of alignment errors are simulated and analyzed. By fitting the interference wavefront with the Zernike polynomials, the correspondence between different kinds of alignment errors and Zernike coefficients is obtained. The value of Z2 (Zernike coefficient) can be used as the basis for judging whether there is transverse displacement in the Y direction. Similarly, Z3 corresponds to the transverse displacement in the X direction, Z4 corresponds to the longitudinal displacement in the Z direction and Z5 corresponds to the optical axis angle. Through this correspondence relationship, the quantitative separation and analysis of fiber mismatch factors are realized. The experimental results show that the accuracy of this method for measuring lateral displacement is better than 1μm. According to the phase diagram obtained from the experiment, Zernike coefficient fitting is performed. The lateral displacement deviation, longitudinal displacement deviation, and angular deviation are calculated by the coefficients of Z2 to Z5. The fiber adjustment mechanism corrects the transverse displacement deviation. It provides a new detection method for realizing fiber alignment and mismatch correction. Compared with the existing detection methods, the phase detection method based on Hertz-level frequency-shifting heterodyne interferometry solves the quantification problem of fiber coincidence adjustment. This method has the advantages of high measurement accuracy, compact detection structure and composition, and low detection cost. This method has great potential applications in the fields of optical fiber and spatial optical device alignment, optical system aberration detection, and planar wavefront detection.
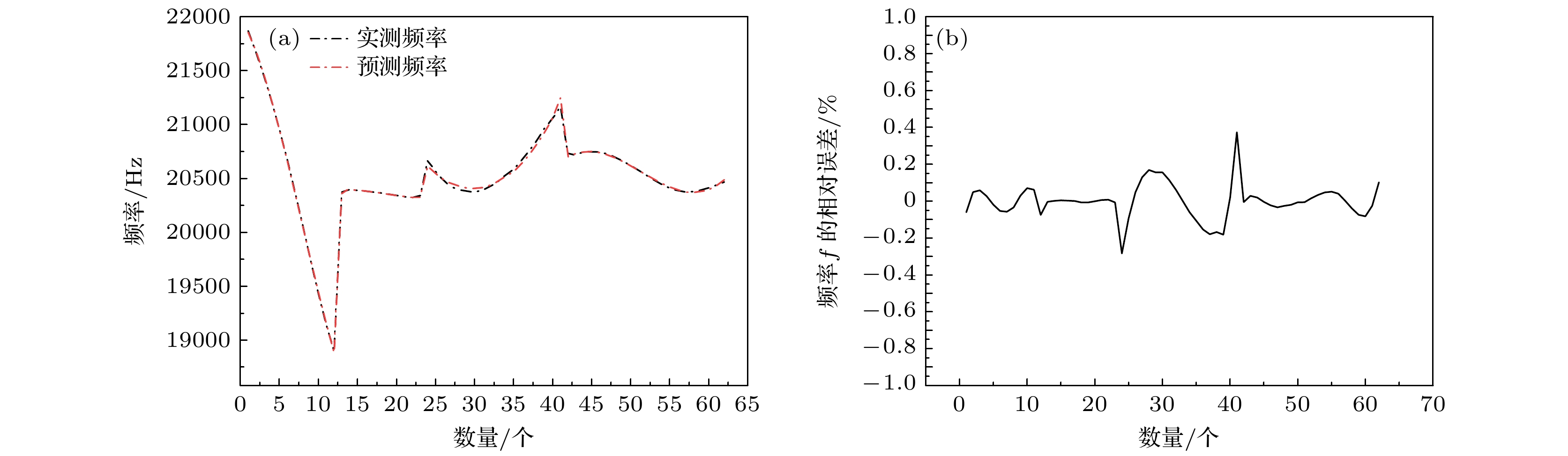
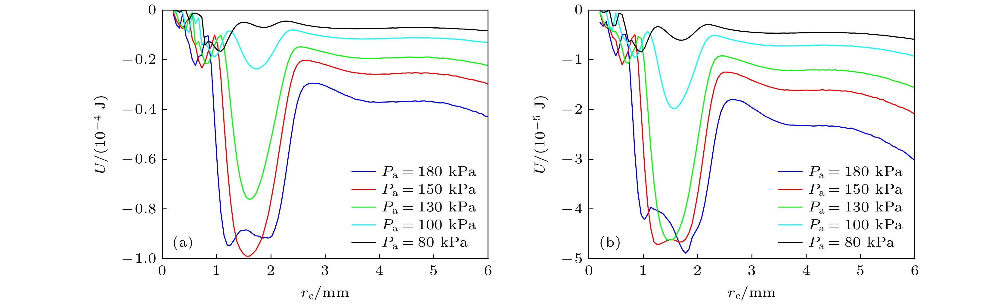
2024, 73(8): 084301.
doi:10.7498/aps.73.20231956
Abstract:
Multi-cavitation bubble system can easily produce cavitation clouds with various structure types, including ring-like cavitation structures. Nonetheless, the evolutionary behavior of the structure and the physical mechanism of its formation are less investigated. In this work, high-speed photography and image analysis techniques are used to study the evolution of ring-like cavitation bubble aggregation structure in an ultrasonic cleaning tank with a frequency of 40 kHz. The ring-like structure usually appears near the pressure nodule, and its radius is less than a one-eighth wavelength. The structure involves establishment, stability and disappearance during an envelope wave period, and its morphology is stable. The ring-like cavitation structure exists as a bubble transport phenomenon, and the formed small bubble clusters flow to the outside of the ring and become discrete cavitation bubbles, or the bubble nuclei rejoin the cycle of bubble transport in the main accumulation area of the bubble. The size of the ring structure and the bubble accumulation area oscillate slightly, and there exists the whole structure rotation phenomenon, which depends on the interaction of the main sound field and the secondary radiation field with the bubbles. Furthermore, in this work, a mathematical model of two bubbles is used to investigate the physical mechanism behind the formation of a ring. It is found that the sound field is a key factor in ring formation. The ring chain model is used to analyze the structural stability by taking into account the time delay caused by the secondary acoustic radiation of the bubble. The numerical results show that the equivalent potential energy distribution of a ring bubble chain with a one-eighth wavelength in radius can stabilize each bubble in the potential well, and the radial distribution presents a ring-like barrier structure. The higher the sound pressure, the greater the equivalent potential, and the more the bubbles are clustered. The higher the driving sound field, the more complete the ring chain structure is. However, high sound pressure may cause the agglomeration of bubbles with high number density to disintegrate the stability of the ring aggregation of bubbles and evolve into other types of bubble aggregation structures. The theoretical results are in good consistence with the experimental phenomena.
Multi-cavitation bubble system can easily produce cavitation clouds with various structure types, including ring-like cavitation structures. Nonetheless, the evolutionary behavior of the structure and the physical mechanism of its formation are less investigated. In this work, high-speed photography and image analysis techniques are used to study the evolution of ring-like cavitation bubble aggregation structure in an ultrasonic cleaning tank with a frequency of 40 kHz. The ring-like structure usually appears near the pressure nodule, and its radius is less than a one-eighth wavelength. The structure involves establishment, stability and disappearance during an envelope wave period, and its morphology is stable. The ring-like cavitation structure exists as a bubble transport phenomenon, and the formed small bubble clusters flow to the outside of the ring and become discrete cavitation bubbles, or the bubble nuclei rejoin the cycle of bubble transport in the main accumulation area of the bubble. The size of the ring structure and the bubble accumulation area oscillate slightly, and there exists the whole structure rotation phenomenon, which depends on the interaction of the main sound field and the secondary radiation field with the bubbles. Furthermore, in this work, a mathematical model of two bubbles is used to investigate the physical mechanism behind the formation of a ring. It is found that the sound field is a key factor in ring formation. The ring chain model is used to analyze the structural stability by taking into account the time delay caused by the secondary acoustic radiation of the bubble. The numerical results show that the equivalent potential energy distribution of a ring bubble chain with a one-eighth wavelength in radius can stabilize each bubble in the potential well, and the radial distribution presents a ring-like barrier structure. The higher the sound pressure, the greater the equivalent potential, and the more the bubbles are clustered. The higher the driving sound field, the more complete the ring chain structure is. However, high sound pressure may cause the agglomeration of bubbles with high number density to disintegrate the stability of the ring aggregation of bubbles and evolve into other types of bubble aggregation structures. The theoretical results are in good consistence with the experimental phenomena.
2024, 73(8): 084302.
doi:10.7498/aps.73.20231983
Abstract:
A novel radial sandwich radial bending composite transducer is proposed based on the increasing amplitude of bending waves in the structure of an acoustic black hole (ABH). The transducer consists of a radial sandwich circular ring transducer and an outer acoustic black hole structure. The existence of the ABH structure realizes the conversion between radial vibration and bending vibration of the transducer, and improves the acoustic radiation performance of the transducer. Based on the one-dimensional acoustic black hole bending vibration theory, the bending vibration equation of the circular ABH structure is given. An analytical model of the ABH structure bending vibration is established by using the method of geometrical-acoustics, and the eigen frequency of its bending vibration is given. The relationship between the electromechanical conversion performance and the size of the transducer is discussed by using the finite element method, and the results show that when the eigen frequency of the bending vibration of the ABH structure is close to the resonant frequency of the transducer, the electromechanical coupling coefficient of the transducer reaches a maximum value. The radiation sound pressure field, radiation sound intensity, and radiation directionality of the transducer in the air are also analyzed by the finite element method. The results indicate that the presence of the ABH structure can improve the electromechanical conversion performance of the bending vibration of the transducer, enhance the acoustic radiation performance of the transducer, make the transducer exhibit radiation directionality and the lower order of the bending vibration mode of the ABH structure, the stronger radiation directionality of the transducer towards the left side and the right side. Finally, in order to verify the accuracy of the simulation and theory, we made a prototype transducer and carried out the experimental test of transducer electrical impedance and vibration mode. The measured results are in good agreement with the simulation results. The displacement distribution of the radiation surface of the transducer at resonance frequency is measured, which verifies the bending vibration mode of the ABH structure. This type of transducer is expected to be used as acoustic projector in the air or water.
A novel radial sandwich radial bending composite transducer is proposed based on the increasing amplitude of bending waves in the structure of an acoustic black hole (ABH). The transducer consists of a radial sandwich circular ring transducer and an outer acoustic black hole structure. The existence of the ABH structure realizes the conversion between radial vibration and bending vibration of the transducer, and improves the acoustic radiation performance of the transducer. Based on the one-dimensional acoustic black hole bending vibration theory, the bending vibration equation of the circular ABH structure is given. An analytical model of the ABH structure bending vibration is established by using the method of geometrical-acoustics, and the eigen frequency of its bending vibration is given. The relationship between the electromechanical conversion performance and the size of the transducer is discussed by using the finite element method, and the results show that when the eigen frequency of the bending vibration of the ABH structure is close to the resonant frequency of the transducer, the electromechanical coupling coefficient of the transducer reaches a maximum value. The radiation sound pressure field, radiation sound intensity, and radiation directionality of the transducer in the air are also analyzed by the finite element method. The results indicate that the presence of the ABH structure can improve the electromechanical conversion performance of the bending vibration of the transducer, enhance the acoustic radiation performance of the transducer, make the transducer exhibit radiation directionality and the lower order of the bending vibration mode of the ABH structure, the stronger radiation directionality of the transducer towards the left side and the right side. Finally, in order to verify the accuracy of the simulation and theory, we made a prototype transducer and carried out the experimental test of transducer electrical impedance and vibration mode. The measured results are in good agreement with the simulation results. The displacement distribution of the radiation surface of the transducer at resonance frequency is measured, which verifies the bending vibration mode of the ABH structure. This type of transducer is expected to be used as acoustic projector in the air or water.
2024, 73(8): 084303.
doi:10.7498/aps.73.20232008
Abstract:
The upwelling growth and evolution of spherical bubble clusters appearing at one-quarter wavelength from the water surface in ultrasonic cavitation fields at frequencies of 28 kHz and 40 kHz are studied by high-speed photography. Due to the interactions among bubbles, the stable bubble aggregation occurs throughout the rise of the bubble cluster, whose vertical pressure difference leads to a more significant spreading in the upper part of the cluster in the standing-wave field. At 28 kHz, the rising speed is about 0.6 m/s, controlled by the primary acoustic field. After a violent collapse of the bubble clusters, the aggregating structure begins to hover near the water surface. The size and stability of the structure are affected by the frequency and pressure of the primary acoustic field. If two clusters are close to each other, the clusters deviate from the spherical shape, even trailing off, and eventually merge into a single bubble cluster. By considering the influence of water-air boundary, based on the mirror principle, a spherical bubble cluster model is developed to explore the structure stability of the clusters, and the modified dynamics equations are obtained. The effects of driving acoustic pressure amplitude, bubble number density, water depth, and bubble equilibrium radius on the optimal stable radius of the spherical bubble cluster are numerically analyzed by using the equivalent potentials at 28 kHz and 40 kHz. The results show that the optimal stabilizing radius of spherical bubble cluster is in a range of 1–2 mm, and it tends to decrease slightly with the increase of the driving acoustic pressure and bubble number density. It is worth noting that the nonlinearity is enhanced by increasing acoustic pressure, which may promote the stability of the cluster structure. The smaller the unstable equilibrium radius, the easier it is to grow, and the stable size at 40 kHz is slightly smaller than that at 28 kHz. Generally, spherical clusters first appear in a high-pressure region and then move to a low-pressure region. If the acoustic pressure drops below a certain critical value, bubble clusters disappear. The theoretical analysis is in good agreement with the experimental observation. The analysis of the growth and structural stability of spherical bubble cluster is helpful in understanding the behavioral modulation of bubbles.
The upwelling growth and evolution of spherical bubble clusters appearing at one-quarter wavelength from the water surface in ultrasonic cavitation fields at frequencies of 28 kHz and 40 kHz are studied by high-speed photography. Due to the interactions among bubbles, the stable bubble aggregation occurs throughout the rise of the bubble cluster, whose vertical pressure difference leads to a more significant spreading in the upper part of the cluster in the standing-wave field. At 28 kHz, the rising speed is about 0.6 m/s, controlled by the primary acoustic field. After a violent collapse of the bubble clusters, the aggregating structure begins to hover near the water surface. The size and stability of the structure are affected by the frequency and pressure of the primary acoustic field. If two clusters are close to each other, the clusters deviate from the spherical shape, even trailing off, and eventually merge into a single bubble cluster. By considering the influence of water-air boundary, based on the mirror principle, a spherical bubble cluster model is developed to explore the structure stability of the clusters, and the modified dynamics equations are obtained. The effects of driving acoustic pressure amplitude, bubble number density, water depth, and bubble equilibrium radius on the optimal stable radius of the spherical bubble cluster are numerically analyzed by using the equivalent potentials at 28 kHz and 40 kHz. The results show that the optimal stabilizing radius of spherical bubble cluster is in a range of 1–2 mm, and it tends to decrease slightly with the increase of the driving acoustic pressure and bubble number density. It is worth noting that the nonlinearity is enhanced by increasing acoustic pressure, which may promote the stability of the cluster structure. The smaller the unstable equilibrium radius, the easier it is to grow, and the stable size at 40 kHz is slightly smaller than that at 28 kHz. Generally, spherical clusters first appear in a high-pressure region and then move to a low-pressure region. If the acoustic pressure drops below a certain critical value, bubble clusters disappear. The theoretical analysis is in good agreement with the experimental observation. The analysis of the growth and structural stability of spherical bubble cluster is helpful in understanding the behavioral modulation of bubbles.
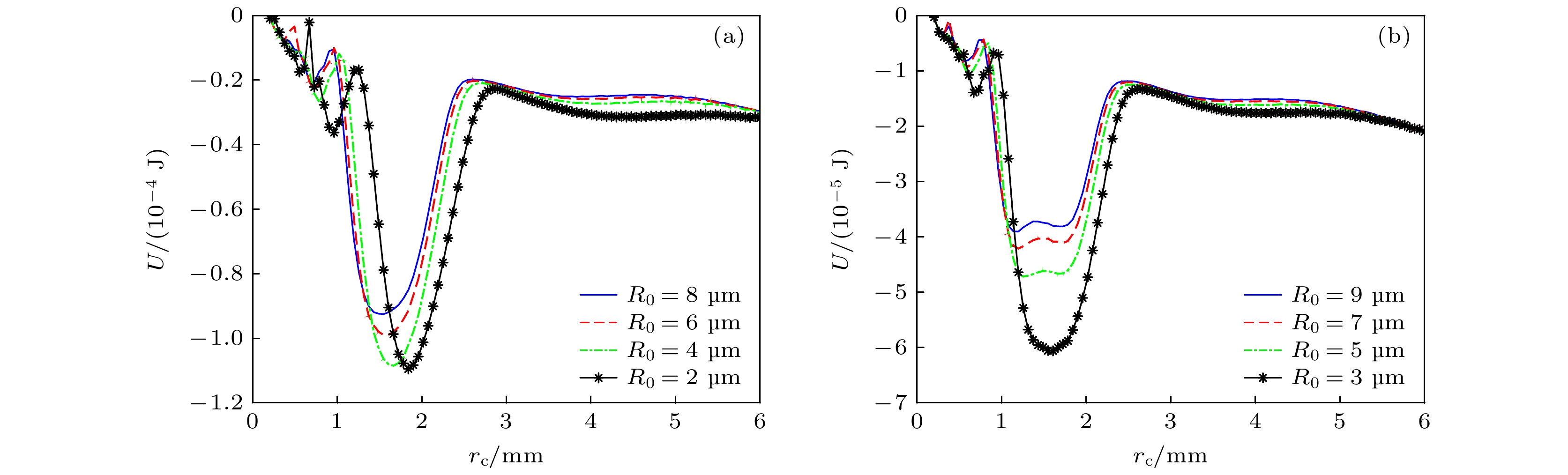
2024, 73(8): 084304.
doi:10.7498/aps.73.20240006
Abstract:
Large-scale three-dimensional ultrasonic vibration systems are susceptible to the influence of coupled vibration, resulting in a series of problems such as increased energy loss, small longitudinal displacement amplitude of the radiation surface, and uneven distribution of longitudinal displacement amplitude, which can seriously affect the working efficiency of ultrasonic processing system. How to effectively control the coupled vibration of large-scale three-dimensional ultrasonic transducer systems and optimize their performance has become an urgent problem in the field of power ultrasound. The research has found that some phononic crystal slots and point defect structures can suppress the lateral vibration of large-scale transducer systems, improve the uniformity of system amplitude distribution, and artificially regulate the performance of large-scale three-dimensional ultrasonic vibration systems by changing the configuration parameters of phononic crystal structures. However, excessive design parameters will inevitably increase the complexity of system design, and, currently, the optimization design of large-scale three-dimensional ultrasonic transducer systems relies on empirical trial and error methods which has low design efficiency and low success rate, and cannot guarantee the system performance. Therefore, in the study, homogeneous dislocations and point defect structures are introduced to optimize the design of large-scale three-dimensional ultrasonic vibration systems. Data analysis techniques are used to evaluate the influences of the configuration of homogeneous dislocations and point defect structures on the longitudinal displacement amplitude, amplitude distribution uniformity, radiated sound power, working bandwidth of the system’s radiation surface. And a predictive model for the performance of large-scale ultrasonic transducer system with homogeneous dislocation structure and near periodic defect structure is established, which can achieve intelligent design of large-scale power ultrasonic transducer system, improve design efficiency and success rate, and reduce the design cost.
Large-scale three-dimensional ultrasonic vibration systems are susceptible to the influence of coupled vibration, resulting in a series of problems such as increased energy loss, small longitudinal displacement amplitude of the radiation surface, and uneven distribution of longitudinal displacement amplitude, which can seriously affect the working efficiency of ultrasonic processing system. How to effectively control the coupled vibration of large-scale three-dimensional ultrasonic transducer systems and optimize their performance has become an urgent problem in the field of power ultrasound. The research has found that some phononic crystal slots and point defect structures can suppress the lateral vibration of large-scale transducer systems, improve the uniformity of system amplitude distribution, and artificially regulate the performance of large-scale three-dimensional ultrasonic vibration systems by changing the configuration parameters of phononic crystal structures. However, excessive design parameters will inevitably increase the complexity of system design, and, currently, the optimization design of large-scale three-dimensional ultrasonic transducer systems relies on empirical trial and error methods which has low design efficiency and low success rate, and cannot guarantee the system performance. Therefore, in the study, homogeneous dislocations and point defect structures are introduced to optimize the design of large-scale three-dimensional ultrasonic vibration systems. Data analysis techniques are used to evaluate the influences of the configuration of homogeneous dislocations and point defect structures on the longitudinal displacement amplitude, amplitude distribution uniformity, radiated sound power, working bandwidth of the system’s radiation surface. And a predictive model for the performance of large-scale ultrasonic transducer system with homogeneous dislocation structure and near periodic defect structure is established, which can achieve intelligent design of large-scale power ultrasonic transducer system, improve design efficiency and success rate, and reduce the design cost.
2024, 73(8): 084701.
doi:10.7498/aps.73.20231916
Abstract:
Based on ideal compressible magnetohydrodynamics (MHD) equations, the interface instabilities induced by the interaction between planar shock wave and the light gas (Helium) cylinder under the influence of the magnetic fields with different directions are investigated numerically by using the CTU(corner transport upwind)+CT (constrained transport) algorithm. The numerical results elucidate the evolution of flow field characteristics and wave structures with and without magnetic field. Moreover, we examine the influence of the magnetic field direction on a characteristic scales (including the length, height and width of the central axis of gas cylinder), as well as the volume compressibility. Then, the mechanism of the magnetic field direction affecting the interface instability is studied in depth by integrating the analyses of the circulation, energy, velocity and magnetic force distribution within the flow field. The core of this study, is to explore the suppression mechanism of interface instability by magnetic field force. The results show that the magnetic pressure plays a crucial role in driving vorticity away from the interface, thereby reducing its deposition on the density interface. Simultaneously, it adheres to the divided vortex layer, thereby effectively isolating the influence of Richtmyer-Meshkov instability on the interface. On the other hand, the magnetic tension adheres to the separated vortex layer, and its direction is opposite to that of the vorticity generated by the shear of interface velocity. This action effectively suppresses the Kelvin-Helmholtz instability and the rolling-up of vortices on the density interface. Additionally, under the control of a longitudinal magnetic field, the direction of magnetic tension is opposite to the direction of the central jet, effectively suppressing the development of Rayleigh-Taylor instability.
Based on ideal compressible magnetohydrodynamics (MHD) equations, the interface instabilities induced by the interaction between planar shock wave and the light gas (Helium) cylinder under the influence of the magnetic fields with different directions are investigated numerically by using the CTU(corner transport upwind)+CT (constrained transport) algorithm. The numerical results elucidate the evolution of flow field characteristics and wave structures with and without magnetic field. Moreover, we examine the influence of the magnetic field direction on a characteristic scales (including the length, height and width of the central axis of gas cylinder), as well as the volume compressibility. Then, the mechanism of the magnetic field direction affecting the interface instability is studied in depth by integrating the analyses of the circulation, energy, velocity and magnetic force distribution within the flow field. The core of this study, is to explore the suppression mechanism of interface instability by magnetic field force. The results show that the magnetic pressure plays a crucial role in driving vorticity away from the interface, thereby reducing its deposition on the density interface. Simultaneously, it adheres to the divided vortex layer, thereby effectively isolating the influence of Richtmyer-Meshkov instability on the interface. On the other hand, the magnetic tension adheres to the separated vortex layer, and its direction is opposite to that of the vorticity generated by the shear of interface velocity. This action effectively suppresses the Kelvin-Helmholtz instability and the rolling-up of vortices on the density interface. Additionally, under the control of a longitudinal magnetic field, the direction of magnetic tension is opposite to the direction of the central jet, effectively suppressing the development of Rayleigh-Taylor instability.
2024, 73(8): 085201.
doi:10.7498/aps.73.20231946
Abstract:
Atmospheric pressure plasma jet (APPJ) can produce plasma plumes rich in active species, which has a wide scope of applications. From the perspective of applications, it is one of the hot issues in APPJ research to generate a diffuse plasma plume on a large scale. At present, large-scale plasma plume has been produced by noble working gases, which is more economic and valuable if it is reproduced by air used as the working gas. In this work, an APPJ with an auxiliary discharge is proposed, with which a large-scale air plasma plume with a brush shape is produced. Results indicate that the brush-shaped air plume can exist by changing voltage amplitude (Vp) in a certain range. The length and brightness of the plasma plume increase withVpincreasing. The waveforms of voltage and light emission signalindicate that the discharge can start at most once within half a cycle of applied voltage. The probability of discharge and the intensity of light emission pulse for each half a voltage cycle increase withVpincreasing, but the voltage value at the discharge moment decreases withVpincreasing. High-speed imaging study shows that the generation mechanisms of diffuse brush-shaped air plasma plumes and small-scale air plasma are similar, both originating from the temporal superposition of bifurcated normal flow light. In addition, optical emission spectra from the brush-shaped air plasma plume are utilized to study electron temperature, electron density, molecular vibrational temperature, and gas temperature. WithVpincreasing, gas temperature is low and almost unchanged, while electron density, electron temperature, and molecular vibrational temperature increase. In addition, OH concentration of the plasma plume is investigated by laser-induced fluorescence, indicating that OH is uniformly distributed, and its concentration increases with theVpincreasing. All these results mentioned above are qualitatively analyzed.
Atmospheric pressure plasma jet (APPJ) can produce plasma plumes rich in active species, which has a wide scope of applications. From the perspective of applications, it is one of the hot issues in APPJ research to generate a diffuse plasma plume on a large scale. At present, large-scale plasma plume has been produced by noble working gases, which is more economic and valuable if it is reproduced by air used as the working gas. In this work, an APPJ with an auxiliary discharge is proposed, with which a large-scale air plasma plume with a brush shape is produced. Results indicate that the brush-shaped air plume can exist by changing voltage amplitude (Vp) in a certain range. The length and brightness of the plasma plume increase withVpincreasing. The waveforms of voltage and light emission signalindicate that the discharge can start at most once within half a cycle of applied voltage. The probability of discharge and the intensity of light emission pulse for each half a voltage cycle increase withVpincreasing, but the voltage value at the discharge moment decreases withVpincreasing. High-speed imaging study shows that the generation mechanisms of diffuse brush-shaped air plasma plumes and small-scale air plasma are similar, both originating from the temporal superposition of bifurcated normal flow light. In addition, optical emission spectra from the brush-shaped air plasma plume are utilized to study electron temperature, electron density, molecular vibrational temperature, and gas temperature. WithVpincreasing, gas temperature is low and almost unchanged, while electron density, electron temperature, and molecular vibrational temperature increase. In addition, OH concentration of the plasma plume is investigated by laser-induced fluorescence, indicating that OH is uniformly distributed, and its concentration increases with theVpincreasing. All these results mentioned above are qualitatively analyzed.
2024, 73(8): 085202.
doi:10.7498/aps.73.20231849
Abstract:
The three-dimensional density distribution of dust particles in complex plasma under microgravity condition has received much attention. Based on the three-dimensional hydrodynamic simulation, the influences of different coupling parameters, shielding parameters, charge of dust particles and plasma density on the Mach cone by laser-induced are studied in complex plasma under microgravity conditions. When the shielding parameters are large, it is found that three different formulas of coupling parameters
\begin{document}$ \varGamma = \dfrac{{Z_{\text{d}}^{2}{e^2}}}{{d \cdot {T_{\text{d}}}}} $\end{document}
,
\begin{document}$ \varGamma ' = \dfrac{{Z_{\text{d}}^{2}{e^2}}}{{d \cdot {T_{\text{d}}}}}\exp ( - \kappa ) $\end{document}
and
\begin{document}$ \varGamma ' = \dfrac{{Z_{\text{d}}^{2}{e^2}}}{{d \cdot {T_{\text{d}}}}}(1{+}\kappa {+}\dfrac{{{\kappa ^2}}}{2})\exp ( - \kappa ) $\end{document}
have a great influence on the disturbance density of dust particles, and the simulation results are in better agreement with the theoretical expectations under the third formulas. In addition, when the laser radiation force is parallel or vertical to the laser movement speed, the Mach cone structure is symmetrical or antisymmetric in the three-dimensional space, which is mainly based on the asymmetry of the laser disturbance mode. Besides, increasing the shielding parameters, or reducing the charge of dust particles, or reducing the plasma density, the shielding interaction between the dust particles is enhanced, making the Mach cone formed by the dust disturbance density more localized around the laser spot, which is characterized by narrowing the disturbance range and increasing density value. It is expected that this work can provide some reference for the theoretical and experimental studies of laser-induced Mach cone in three-dimensional complex plasma under microgravity conditions.
The three-dimensional density distribution of dust particles in complex plasma under microgravity condition has received much attention. Based on the three-dimensional hydrodynamic simulation, the influences of different coupling parameters, shielding parameters, charge of dust particles and plasma density on the Mach cone by laser-induced are studied in complex plasma under microgravity conditions. When the shielding parameters are large, it is found that three different formulas of coupling parameters
2024, 73(8): 086101.
doi:10.7498/aps.73.20231784
Abstract:
Graphene is one of the most potential field emission cathode materials due to its excellent electrical, thermal, and mechanical properties, as well as rich edge structures. In this paper, we study the growth parameters of graphene prepared by chemical vapor deposition, and prepare three kinds of morphologies of graphene: single-layer graphene, graphene islands, and graphene with buffer layers, and then we explore the influence of the morphological characteristics of graphene on its field emission properties, and analyze the mechanism of influence of the morphological characteristics of graphene on its field emission properties through COMSOL. Comparing with single-layer graphene, the turn-on field of graphene islands and that of graphene with buffer layers decrease to 5.55 V/μm and 5.85 V/μm, respectively. The current densities also increase to 40.3 μA/cm2and 26.4 μA/cm2, respectively. On the other hand, the field emission currents of single-layer graphene and graphene with buffer layers are more stable. In a 5-hour test, the current densities only decrease by 2% and 4%, respectively. COMSOL simulation shows that the morphological characteristics of graphene have significant influences on the electric field distribution characteristics and heat dissipation capacity. Graphene islands and graphene with buffer layers have exposed edges, leading to local electric field concentration, and thus improving field emission properties. The graphene islands are distributed discretely on the substrate, forming no continuous graphene film and lacking transverse heat dissipation channels, so the accumulation of heat will cause damage to the graphene emitter, and affect the stability of its field emission current. This study will be of great benefit to the understanding of the influence of the morphological characteristics of graphene on its field emission properties, and improving the field emission properties of graphene materials.
Graphene is one of the most potential field emission cathode materials due to its excellent electrical, thermal, and mechanical properties, as well as rich edge structures. In this paper, we study the growth parameters of graphene prepared by chemical vapor deposition, and prepare three kinds of morphologies of graphene: single-layer graphene, graphene islands, and graphene with buffer layers, and then we explore the influence of the morphological characteristics of graphene on its field emission properties, and analyze the mechanism of influence of the morphological characteristics of graphene on its field emission properties through COMSOL. Comparing with single-layer graphene, the turn-on field of graphene islands and that of graphene with buffer layers decrease to 5.55 V/μm and 5.85 V/μm, respectively. The current densities also increase to 40.3 μA/cm2and 26.4 μA/cm2, respectively. On the other hand, the field emission currents of single-layer graphene and graphene with buffer layers are more stable. In a 5-hour test, the current densities only decrease by 2% and 4%, respectively. COMSOL simulation shows that the morphological characteristics of graphene have significant influences on the electric field distribution characteristics and heat dissipation capacity. Graphene islands and graphene with buffer layers have exposed edges, leading to local electric field concentration, and thus improving field emission properties. The graphene islands are distributed discretely on the substrate, forming no continuous graphene film and lacking transverse heat dissipation channels, so the accumulation of heat will cause damage to the graphene emitter, and affect the stability of its field emission current. This study will be of great benefit to the understanding of the influence of the morphological characteristics of graphene on its field emission properties, and improving the field emission properties of graphene materials.
2024, 73(8): 086102.
doi:10.7498/aps.73.20240173
Abstract:
Polymeric nitrogen has been recognized to be a new type of high-energy density material (HEDM). However, the polymeric nitrogen structure formed under high-pressure and high-temperature conditions is usually in poor thermodynamic stability. Confinement strategy is conductive to the stabilization of the high-pressure phase of polymeric nitrogen structures, providing a new modulation approach for realizing the polymerization of nitrogen. In this work, nitrogen molecules are confined into the boron nitride nanotubes (N2@BNNTs) under high-pressure condition. The pressure-induced polymerization of nitrogen in N2@BNNT samples with varying nitrogen content and the stabilities of polymeric nitrogen structure are characterized by high-pressurein situRaman spectroscopy method. In the N2@BNNT sample with higher nitrogen content, the N2confined to boron nitride nanotubes exhibits different Raman spectral pressure response behaviors compared with that of non confined N2, but both of them are transformed into cg-N structure after laser heating at about 123 GPa. With pressure decreasing to 40 GPa, the unconfined cg-N decomposes and releases huge energy, which affects the stability and results in the decomposition of the confined cg-N. Under ambient conditions, the confined N2is stabilized in the liquid phase. In the N2@BNNTs sample with lower nitrogen content, the confined N2is transformed into new polymeric nitrogen structure, which possesses N=N double bonds with different bond lengths close to the those in the
\begin{document}${\mathrm{N}}_3^- $\end{document}
anion and
\begin{document}${\mathrm{N}}_4^+ $\end{document}
clusters, respectively, after laser-heating in the pressure range of 122–150 GPa. This polynitrogen structure is stable with pressure decreasing to 25 GPa. This work provides new insights into the synthesis and stabilization of polymeric nitrogen structures, opening up new avenues for developing these advanced structures.
Polymeric nitrogen has been recognized to be a new type of high-energy density material (HEDM). However, the polymeric nitrogen structure formed under high-pressure and high-temperature conditions is usually in poor thermodynamic stability. Confinement strategy is conductive to the stabilization of the high-pressure phase of polymeric nitrogen structures, providing a new modulation approach for realizing the polymerization of nitrogen. In this work, nitrogen molecules are confined into the boron nitride nanotubes (N2@BNNTs) under high-pressure condition. The pressure-induced polymerization of nitrogen in N2@BNNT samples with varying nitrogen content and the stabilities of polymeric nitrogen structure are characterized by high-pressurein situRaman spectroscopy method. In the N2@BNNT sample with higher nitrogen content, the N2confined to boron nitride nanotubes exhibits different Raman spectral pressure response behaviors compared with that of non confined N2, but both of them are transformed into cg-N structure after laser heating at about 123 GPa. With pressure decreasing to 40 GPa, the unconfined cg-N decomposes and releases huge energy, which affects the stability and results in the decomposition of the confined cg-N. Under ambient conditions, the confined N2is stabilized in the liquid phase. In the N2@BNNTs sample with lower nitrogen content, the confined N2is transformed into new polymeric nitrogen structure, which possesses N=N double bonds with different bond lengths close to the those in the
2024, 73(8): 086103.
doi:10.7498/aps.73.20240003
Abstract:
The risk of titanium fire increases significantly with the development of future aero-engine, however, the burning mechanisms of titanium alloys remain uncertain. Therefore, the ignition behavior and mechanism of near α high-temperature titanium alloy are studied in this work by an integrated experiment method, including laser-oxygen concentration ignition method, infrared temperature measurement and observation of molten metal by high-speed camera. Based on this, the ignition boundary curve is determined and the ignition temperature of the alloy is found to decrease from 1595 to 1527 ℃ with the laser power increasing from 200 to 325 W and oxygen concentration increasing from 21% to 60%. The ignition microstructure is characterized by FIB and TEM to study the evolution of reaction products. Pores are found to form beneath the TiO2surface layer, which can be attributed to the instablity of TiO. The failure mechanism of protective oxide layer is further analyzed according to the thermal stress caused oxide layer damage model. When the temperature approaches the ignition temperature, which is below the melting point, the high vapor pressure of TiO leads to the formation of porous defects beneath the TiO2surface, thus accelerating the fracture and failure of the TiO2layer under thermal stress. It is revealed that critical conditions of temperature and instantaneous temperature change rate are needed to realize ignition. Based on this, an ignition model is further constructed to discuss the relationship among ignition temperature, laser power and oxgyen concentration. According to the experimental data fitting, the reaction activation energy of TA19 alloy during the ignition stage is calculated to be about 280 kJ/mol, and the function for calculating ignition temperature is given as follows:
\begin{document}$ 1.2 \times {10^{10}}{{\mathrm{e}}^{\frac{{ - 280000}}{{R{T_{{\text{ig}}}}}}}}{c^{\frac{1}{2}}} + $\end{document}
\begin{document}$ 0.52{P_{\mathrm{L}}} - 315 = 0 $\end{document}
. This provides a theoretical reference for predicting the ignition temperatures of near α high temperature titanium alloy and other types of titanium alloys under complex airflow conditions in aircraft engines.
The risk of titanium fire increases significantly with the development of future aero-engine, however, the burning mechanisms of titanium alloys remain uncertain. Therefore, the ignition behavior and mechanism of near α high-temperature titanium alloy are studied in this work by an integrated experiment method, including laser-oxygen concentration ignition method, infrared temperature measurement and observation of molten metal by high-speed camera. Based on this, the ignition boundary curve is determined and the ignition temperature of the alloy is found to decrease from 1595 to 1527 ℃ with the laser power increasing from 200 to 325 W and oxygen concentration increasing from 21% to 60%. The ignition microstructure is characterized by FIB and TEM to study the evolution of reaction products. Pores are found to form beneath the TiO2surface layer, which can be attributed to the instablity of TiO. The failure mechanism of protective oxide layer is further analyzed according to the thermal stress caused oxide layer damage model. When the temperature approaches the ignition temperature, which is below the melting point, the high vapor pressure of TiO leads to the formation of porous defects beneath the TiO2surface, thus accelerating the fracture and failure of the TiO2layer under thermal stress. It is revealed that critical conditions of temperature and instantaneous temperature change rate are needed to realize ignition. Based on this, an ignition model is further constructed to discuss the relationship among ignition temperature, laser power and oxgyen concentration. According to the experimental data fitting, the reaction activation energy of TA19 alloy during the ignition stage is calculated to be about 280 kJ/mol, and the function for calculating ignition temperature is given as follows:
2024, 73(8): 086104.
doi:10.7498/aps.73.20231755
Abstract:
This research focuses on enhancing Co-based high-temperature alloys by usingγ'precipitate phases to address the structural metastability ofγ'-Co3(Al, W). By adding Ti and Ta, theγ'-Co3(V, Ti) andγ'-Co3(V, Ta) of Co-V alloys are stabilized, surpassing the performance of traditional Co-Al-W alloys. Utilizing a 2×2×2 supercell model and density functional theory (DFT), we investigate these alloys' phase stabilities and mechanical, thermodynamic, and electronic properties. Our findings show thatγ'-Co3(V, Ti) phase andγ'-Co3(V, Ta) phases are stable at 0 K, evidenced by negative formation enthalpies and stable phonon spectra. Mechanical analysis confirms their stabilities through elastic constants and detailed evaluations of properties such as bulk modulus, shear modulus, and Young’s modulus, revealing excellent resistance to deformation and ductility. The electronic structure analysis further distinguishesγ'-Co3(V, Ta) for superior electronic stability, which is attributed to its lower state density and deviation from “pseudogap” peaks. Thermodynamically, the quasi-harmonic Debye model highlights theγ'-Co3(V, Ti) phase’s temperature-sensitive thermal expansion coefficient, whileγ'-Co3(V, Ta) maintains higher stability at elevated temperatures. As temperature rises, both phases show decreased resistance to deformation, though they maintain comparable heat resistance due to low-temperature dependency. These results suggest that Co-V-Ti alloy and Co-V-Ta alloy can maintain theirγ'phase stability at higher temperatures, enhancing Co-based high-temperature alloys’ performances and phase stabilities. This progress is crucial for developing new Co-based superalloys, and is of great significance for their applications and performance optimization.
This research focuses on enhancing Co-based high-temperature alloys by usingγ'precipitate phases to address the structural metastability ofγ'-Co3(Al, W). By adding Ti and Ta, theγ'-Co3(V, Ti) andγ'-Co3(V, Ta) of Co-V alloys are stabilized, surpassing the performance of traditional Co-Al-W alloys. Utilizing a 2×2×2 supercell model and density functional theory (DFT), we investigate these alloys' phase stabilities and mechanical, thermodynamic, and electronic properties. Our findings show thatγ'-Co3(V, Ti) phase andγ'-Co3(V, Ta) phases are stable at 0 K, evidenced by negative formation enthalpies and stable phonon spectra. Mechanical analysis confirms their stabilities through elastic constants and detailed evaluations of properties such as bulk modulus, shear modulus, and Young’s modulus, revealing excellent resistance to deformation and ductility. The electronic structure analysis further distinguishesγ'-Co3(V, Ta) for superior electronic stability, which is attributed to its lower state density and deviation from “pseudogap” peaks. Thermodynamically, the quasi-harmonic Debye model highlights theγ'-Co3(V, Ti) phase’s temperature-sensitive thermal expansion coefficient, whileγ'-Co3(V, Ta) maintains higher stability at elevated temperatures. As temperature rises, both phases show decreased resistance to deformation, though they maintain comparable heat resistance due to low-temperature dependency. These results suggest that Co-V-Ti alloy and Co-V-Ta alloy can maintain theirγ'phase stability at higher temperatures, enhancing Co-based high-temperature alloys’ performances and phase stabilities. This progress is crucial for developing new Co-based superalloys, and is of great significance for their applications and performance optimization.
2024, 73(8): 086301.
doi:10.7498/aps.73.20240156
Abstract:
Ferroelectric materials are widely used in functional devices, however, it has been a long-standing issue to achieve convenient and accurate theoretical modeling of them. Herein, a noval approach to modeling ferroelectric materials is proposed by using graph convolutional neural networks (GCNs). In this approach, the potential energy surface of ferroelectric materials is described by GCNs, which then serves as a calculator to conduct large-scale molecular dynamics simulations. Given atomic positions, the well-trained GCN model can provide accurate predictions of the potential energy and atomic forces, with an accuracy reaching up to 1 meV per atom. The accuracy of GCNs is comparable to that ofab initocalculations, while the computing speed is faster than that ofab initocalculations by a few orders. Benefiting from the high accuracy and fast prediction of the GCN model, we further combine it with molecular dynamics simulations to investigate two representative ferroelectric materials—bulk GeTe and CsSnI3, and successfully produce their temperature-dependent structural phase transitions, which are in good agreement with the experimental observations. For GeTe, we observe an unusual negative thermal expansion around the region of its ferroelectric phase transition, which has been reported in previous experiments. For CsSnI3, we correctly obtain the octahedron tilting patterns associated with its phase transition sequence. These results demonstrate the accuracy and reliability of GCNs in the modeling of potential energy surfaces for ferroelectric materials, thus providing a universal approach for investigating them theoretically.
Ferroelectric materials are widely used in functional devices, however, it has been a long-standing issue to achieve convenient and accurate theoretical modeling of them. Herein, a noval approach to modeling ferroelectric materials is proposed by using graph convolutional neural networks (GCNs). In this approach, the potential energy surface of ferroelectric materials is described by GCNs, which then serves as a calculator to conduct large-scale molecular dynamics simulations. Given atomic positions, the well-trained GCN model can provide accurate predictions of the potential energy and atomic forces, with an accuracy reaching up to 1 meV per atom. The accuracy of GCNs is comparable to that ofab initocalculations, while the computing speed is faster than that ofab initocalculations by a few orders. Benefiting from the high accuracy and fast prediction of the GCN model, we further combine it with molecular dynamics simulations to investigate two representative ferroelectric materials—bulk GeTe and CsSnI3, and successfully produce their temperature-dependent structural phase transitions, which are in good agreement with the experimental observations. For GeTe, we observe an unusual negative thermal expansion around the region of its ferroelectric phase transition, which has been reported in previous experiments. For CsSnI3, we correctly obtain the octahedron tilting patterns associated with its phase transition sequence. These results demonstrate the accuracy and reliability of GCNs in the modeling of potential energy surfaces for ferroelectric materials, thus providing a universal approach for investigating them theoretically.
2024, 73(8): 086401.
doi:10.7498/aps.73.20232002
Abstract:
In this study, the thermophysical properties and rapid solidification mechanism of highly undercooled liquid Zr60Ni25Al15alloy are investigated through the electrostatic levitation technique. The maximum undercooling of this alloy reaches 316 K (0.25TL). Both density and surface tension display a linear relationship with temperature, while viscosity is related to temperature exponentially. When alloy undercooling is less than 259 K, two significant recalescence events are observed during solidification, corresponding to the formation of pseudobinary (Zr6Al2Ni + Zr5Ni4Al) eutectic and ternary (Zr6Al2Ni + Zr5Ni4Al + Zr2Ni) eutectic. The growth velocity of the binary eutectic phase gradually increases with further undercooling and reaches a maximum undercooling value of 259 K. In contrast, once undercooling exceeds 259 K, a single recalescence event occurs, leading to the independent nucleation of all three compound phases from alloy melt and the rapid growth of a ternary anomalous eutectic structure. Notably, the growth velocity of the ternary eutectic phase exhibits a gradual decline with further undercooling. This diminishing trend of the growth velocity suggests that further undercooling might entirely suppress crystal growth dynamically at a threshold of 385 K. With classical nucleation theory and the Kolmogorov-Johnson-Mehl-Avrami (KJMA) model, the onsets of crystallization for the three phases are calculated, thereby constructing a time–temperature-transformation (TTT) diagram. This diagram elucidates the competitive nucleation among the three phases in the undercooled melt. Both theoretical and experimental evidence reveal that Zr6Al2Ni phase is primarily nucleated at lower undercooling levels, whereas under higher cooling condition, it is possible for all three phases to nucleate simultaneously.
In this study, the thermophysical properties and rapid solidification mechanism of highly undercooled liquid Zr60Ni25Al15alloy are investigated through the electrostatic levitation technique. The maximum undercooling of this alloy reaches 316 K (0.25TL). Both density and surface tension display a linear relationship with temperature, while viscosity is related to temperature exponentially. When alloy undercooling is less than 259 K, two significant recalescence events are observed during solidification, corresponding to the formation of pseudobinary (Zr6Al2Ni + Zr5Ni4Al) eutectic and ternary (Zr6Al2Ni + Zr5Ni4Al + Zr2Ni) eutectic. The growth velocity of the binary eutectic phase gradually increases with further undercooling and reaches a maximum undercooling value of 259 K. In contrast, once undercooling exceeds 259 K, a single recalescence event occurs, leading to the independent nucleation of all three compound phases from alloy melt and the rapid growth of a ternary anomalous eutectic structure. Notably, the growth velocity of the ternary eutectic phase exhibits a gradual decline with further undercooling. This diminishing trend of the growth velocity suggests that further undercooling might entirely suppress crystal growth dynamically at a threshold of 385 K. With classical nucleation theory and the Kolmogorov-Johnson-Mehl-Avrami (KJMA) model, the onsets of crystallization for the three phases are calculated, thereby constructing a time–temperature-transformation (TTT) diagram. This diagram elucidates the competitive nucleation among the three phases in the undercooled melt. Both theoretical and experimental evidence reveal that Zr6Al2Ni phase is primarily nucleated at lower undercooling levels, whereas under higher cooling condition, it is possible for all three phases to nucleate simultaneously.
2024, 73(8): 086801.
doi:10.7498/aps.73.20231931
Abstract:
MoSi2N4is an emergent two-dimensional (2D) material, which has received much attention because of its excellent performance over semiconductors, including excellent environmental stability and high carrier mobility. However, the formation of intrinsic defects in semiconductors is often inevitable and can significantly affect device performance. By using density functional theory (DFT), we analyze the properties and effects of intrinsic point defects in MoSi2N4. We first confirm the consistency of our results with current experimental data. After that, the formation energy values of twelve native defects reveal that the antisite defect of molybdenum substituting for silicon (MoSi) defect dominates in all intrinsic defects. Under the constraint of overall charge neutrality, self-consistent Fermi level calculations reveal that MoSi2N4with only intrinsic defects exhibits intrinsic characteristics, highlighting its potential as a semiconductor device material. However, this intrinsic nature contradicts the p-type characteristics observed in two-dimensional MoSi2N4. In the subsequent defect concentrations, we find that both n-type and p-type behavior can be easily realized by doping appropriate impurities without being compensated by native defects. This suggests that the p-type characteristics of MoSi2N4during growth may result from p-type impurities introduced under non-equilibrium growth conditions or silicon vacancy defects. Our findings not only demonstrate the potential applications of MoSi2N4in semiconductor devices but also provide valuable guidance for future studying the defect mechanisms of this material.
MoSi2N4is an emergent two-dimensional (2D) material, which has received much attention because of its excellent performance over semiconductors, including excellent environmental stability and high carrier mobility. However, the formation of intrinsic defects in semiconductors is often inevitable and can significantly affect device performance. By using density functional theory (DFT), we analyze the properties and effects of intrinsic point defects in MoSi2N4. We first confirm the consistency of our results with current experimental data. After that, the formation energy values of twelve native defects reveal that the antisite defect of molybdenum substituting for silicon (MoSi) defect dominates in all intrinsic defects. Under the constraint of overall charge neutrality, self-consistent Fermi level calculations reveal that MoSi2N4with only intrinsic defects exhibits intrinsic characteristics, highlighting its potential as a semiconductor device material. However, this intrinsic nature contradicts the p-type characteristics observed in two-dimensional MoSi2N4. In the subsequent defect concentrations, we find that both n-type and p-type behavior can be easily realized by doping appropriate impurities without being compensated by native defects. This suggests that the p-type characteristics of MoSi2N4during growth may result from p-type impurities introduced under non-equilibrium growth conditions or silicon vacancy defects. Our findings not only demonstrate the potential applications of MoSi2N4in semiconductor devices but also provide valuable guidance for future studying the defect mechanisms of this material.
2024, 73(8): 087401.
doi:10.7498/aps.73.20240124
Abstract:
Rare-earth barium copper oxide (REBCO) as a representative of the second-generation high-temperature superconducting materials possesses superior physical advantages such as high critical magnetic field, elevated critical temperature, and superior current density, which has been applied to many domains. Although the introduction of non-superconducting nanoscale particle dopants, as a critical method, can enhance the magnetic flux pinning capability of REBCO strips, the effect of the doping on the performance change and microstructure evolution of the strips under irradiation is ignored. In this work, undoped and 3.5% BaHfO3(BHO) doped EuBa2Cu3O7–δstrips are investigated in the room-temperature irradiation experiments (1.4 MeV He+ions) with three distinct doses of 5×1014, 5×1015, and 5×1016ions/cm2, respectively. Electrical performance tests reveal that the undoped strips exhibit a slight increase inJcafter the low-dose irradiation. However, with dose increasing,Jcdecreases by over 60%. In contrast, doped strips experience a significantly smaller decline inJc, ranging only between 30% and 40% at high-dose irradiation. Raman spectroscopy and transmission electron microscopy characterizations confirm that the defects induced by He+ion irradiation lead to amorphization and structural disorder within the superconducting layers, which is the primary reason for the decline in the superconducting properties of the strips. The results show that the introduction of localized strain through BHO nanophase in the superconducting layer changes the migration and aggregation behavior of irradiation-induced defects, repairing the damaged superconductor structure. Furthermore, the field dependence and temperature dependence ofJcof doped strips are irradiation-resistant due to BHO nanocrystals as strong pinning centers. Additionally, unlike the superconducting properties of the REBCO strips that can be repaired through oxygen annealing after neutron or heavy ion irradiation, the electrical properties of the two types of strips irradiated with high doses of He+ions in this work are further deteriorated after being annealed. It is worth noting that compared with the undoped strip, the localized strain generated by BHO in the doped strip inhibits the size growth of helium defects in the three-dimensional direction at high temperatures, which changes the magnetic flux pinning characteristics and delays the disorder and amorphization of the superconducting layer structure caused by the severe growth of helium bubbles. This study provides a reference for the application of REBCO superconducting strips in the irradiation environment.
Rare-earth barium copper oxide (REBCO) as a representative of the second-generation high-temperature superconducting materials possesses superior physical advantages such as high critical magnetic field, elevated critical temperature, and superior current density, which has been applied to many domains. Although the introduction of non-superconducting nanoscale particle dopants, as a critical method, can enhance the magnetic flux pinning capability of REBCO strips, the effect of the doping on the performance change and microstructure evolution of the strips under irradiation is ignored. In this work, undoped and 3.5% BaHfO3(BHO) doped EuBa2Cu3O7–δstrips are investigated in the room-temperature irradiation experiments (1.4 MeV He+ions) with three distinct doses of 5×1014, 5×1015, and 5×1016ions/cm2, respectively. Electrical performance tests reveal that the undoped strips exhibit a slight increase inJcafter the low-dose irradiation. However, with dose increasing,Jcdecreases by over 60%. In contrast, doped strips experience a significantly smaller decline inJc, ranging only between 30% and 40% at high-dose irradiation. Raman spectroscopy and transmission electron microscopy characterizations confirm that the defects induced by He+ion irradiation lead to amorphization and structural disorder within the superconducting layers, which is the primary reason for the decline in the superconducting properties of the strips. The results show that the introduction of localized strain through BHO nanophase in the superconducting layer changes the migration and aggregation behavior of irradiation-induced defects, repairing the damaged superconductor structure. Furthermore, the field dependence and temperature dependence ofJcof doped strips are irradiation-resistant due to BHO nanocrystals as strong pinning centers. Additionally, unlike the superconducting properties of the REBCO strips that can be repaired through oxygen annealing after neutron or heavy ion irradiation, the electrical properties of the two types of strips irradiated with high doses of He+ions in this work are further deteriorated after being annealed. It is worth noting that compared with the undoped strip, the localized strain generated by BHO in the doped strip inhibits the size growth of helium defects in the three-dimensional direction at high temperatures, which changes the magnetic flux pinning characteristics and delays the disorder and amorphization of the superconducting layer structure caused by the severe growth of helium bubbles. This study provides a reference for the application of REBCO superconducting strips in the irradiation environment.
2024, 73(8): 087501.
doi:10.7498/aps.73.20231949
Abstract:
Magnetic semiconductors (MSs) that can manipulate both spin degree of freedom and charge degree of freedom have become an important research field in semiconductor spintronics. In recent years, a new series of bulk form MSs, which are iso-structure to the iron-based superconductors were reported. In these new materials, spins and carriers are separately introduced, and can be precisely manipulated. Li(Zn, Mn)As withTC~50 K is the first bulk MS with spins and charges separated. The Li(Zn, Mn)As has p-type carriers, which is in contradiction with the theoretical calculation results by Mašek et al., who claimed that doping extra Li will induce n-type carriers. So, it is necessary to study the formation reason of hole carriers in Li(Zn, Mn)As and their effect on ferromagnetic ordering. In this work, a series of Li1.05(Zn0.925–y, Mn0.075, Iny)As (y= 0, 0.05, 0.075, 0.1) new materials are successfully synthesized by introducing n-type carriers into the p-type bulk MS Li1.05(Zn0.925, Mn0.075)As through (Zn2+, In3+) substitution. Magnetization measurements reveal that all the samples still maintain a ferromagnetic transition signal similar to MS Li1.05(Zn0.925, Mn0.075)As, and the Curie temperatureTCis obviously suppressed with the increase of In-doping concentration. Clear hysteresis loops demonstrate the ferromagnetic ordering state. The resistivity increases gradually with the increase of In-doping concentration. Our results show that the (Zn2+, In3+) substitution successfully introduces n-type carriers into Li1.05(Zn0.925, Mn0.075)As, and the original p-type carriers in Li1.05(Zn0.925, Mn0.075)As, which are partial neutralized, resulting in the decrease of p-type carrier concentrations, which obviously suppresses the ferromagnetic ordering of Li(Zn, Mn)As. It reflects the important roles played by carriers in forming ferromagnetic ordering in MS materials. The fabrication of Li1.05(Zn0.925–y, Mn0.075, Iny)As material gives us a better understanding of the mechanism of ferromagnetic ordering in Li(Zn, Mn)As, and these results will be helpful in searching for more novel magnetic semiconductor materials.
Magnetic semiconductors (MSs) that can manipulate both spin degree of freedom and charge degree of freedom have become an important research field in semiconductor spintronics. In recent years, a new series of bulk form MSs, which are iso-structure to the iron-based superconductors were reported. In these new materials, spins and carriers are separately introduced, and can be precisely manipulated. Li(Zn, Mn)As withTC~50 K is the first bulk MS with spins and charges separated. The Li(Zn, Mn)As has p-type carriers, which is in contradiction with the theoretical calculation results by Mašek et al., who claimed that doping extra Li will induce n-type carriers. So, it is necessary to study the formation reason of hole carriers in Li(Zn, Mn)As and their effect on ferromagnetic ordering. In this work, a series of Li1.05(Zn0.925–y, Mn0.075, Iny)As (y= 0, 0.05, 0.075, 0.1) new materials are successfully synthesized by introducing n-type carriers into the p-type bulk MS Li1.05(Zn0.925, Mn0.075)As through (Zn2+, In3+) substitution. Magnetization measurements reveal that all the samples still maintain a ferromagnetic transition signal similar to MS Li1.05(Zn0.925, Mn0.075)As, and the Curie temperatureTCis obviously suppressed with the increase of In-doping concentration. Clear hysteresis loops demonstrate the ferromagnetic ordering state. The resistivity increases gradually with the increase of In-doping concentration. Our results show that the (Zn2+, In3+) substitution successfully introduces n-type carriers into Li1.05(Zn0.925, Mn0.075)As, and the original p-type carriers in Li1.05(Zn0.925, Mn0.075)As, which are partial neutralized, resulting in the decrease of p-type carrier concentrations, which obviously suppresses the ferromagnetic ordering of Li(Zn, Mn)As. It reflects the important roles played by carriers in forming ferromagnetic ordering in MS materials. The fabrication of Li1.05(Zn0.925–y, Mn0.075, Iny)As material gives us a better understanding of the mechanism of ferromagnetic ordering in Li(Zn, Mn)As, and these results will be helpful in searching for more novel magnetic semiconductor materials.
2024, 73(8): 088101.
doi:10.7498/aps.73.20240053
Abstract:
The conductivity of hydrogen-terminated diamond is a limiting factor in its application in field-effect transistor devices. The traditional preparation process hinders the improvement of the electrical properties of hydrogen-terminated diamond due to impurity elements in the diamond bulk and surface damage caused by processing near the diamond surface. To overcome this, researchers have explored the epitaxial growth of a high-purity and flat-surfaced diamond thin film on a diamond substrate. However, this approach still faces challenges in film characterization and achieving high surface smoothness. In this study, microwave plasma chemical vapor deposition technology is used to epitaxially grow a sub-micron thick diamond film on a nitrogen-doping chemical vapor deposition diamond substrate of 10 mm × 10 mm × 0.5 mm in size. The influence of methane concentration on the growth and conductivity of diamond film is investigated. The test results reveal that the growth thickness of the diamond film ranges from 230 to 810 nm, and the nitrogen concentration in the epitaxial layer is lower than 1×1016atom/cm3. Three growth modes are observed for the homoepitaxial growth of the diamond thin film under different methane concentrations. A methane concentration of 4% enables two-dimensional planar growth of diamond, resulting in a smooth and flat surface with a roughness of 0.225 nm (10 μm×10 μm). The formation of different surface morphologies is attributed to the growing process and etching process of diamond. Surface low-energy electron diffraction testing indicates that the surface of the diamond film undergoes a structural transition from oxygen terminal (1×1: O) to hydrogen terminal (2×1: H) when grown for a short period of time. X-ray photoelectron spectroscopy analysis reveals an extremely low ratio of oxygen element to nitrogen element, giving the grown diamond film P-type conductivity characteristics. The Hall test results demonstrate that the hydrogen-terminated diamond film grown with a methane concentration of 4% exhibits the highest conductivity, with a square resistance of 4981 Ω/square and a hole mobility of 207 cm2/(V·s). This enhanced conductivity can be attributed to the lower defect density observed under these specific conditions. The findings of this study effectively improve the electrical properties of hydrogen-terminated diamond, and contribute to the development and practical application of high-power diamond devices.
The conductivity of hydrogen-terminated diamond is a limiting factor in its application in field-effect transistor devices. The traditional preparation process hinders the improvement of the electrical properties of hydrogen-terminated diamond due to impurity elements in the diamond bulk and surface damage caused by processing near the diamond surface. To overcome this, researchers have explored the epitaxial growth of a high-purity and flat-surfaced diamond thin film on a diamond substrate. However, this approach still faces challenges in film characterization and achieving high surface smoothness. In this study, microwave plasma chemical vapor deposition technology is used to epitaxially grow a sub-micron thick diamond film on a nitrogen-doping chemical vapor deposition diamond substrate of 10 mm × 10 mm × 0.5 mm in size. The influence of methane concentration on the growth and conductivity of diamond film is investigated. The test results reveal that the growth thickness of the diamond film ranges from 230 to 810 nm, and the nitrogen concentration in the epitaxial layer is lower than 1×1016atom/cm3. Three growth modes are observed for the homoepitaxial growth of the diamond thin film under different methane concentrations. A methane concentration of 4% enables two-dimensional planar growth of diamond, resulting in a smooth and flat surface with a roughness of 0.225 nm (10 μm×10 μm). The formation of different surface morphologies is attributed to the growing process and etching process of diamond. Surface low-energy electron diffraction testing indicates that the surface of the diamond film undergoes a structural transition from oxygen terminal (1×1: O) to hydrogen terminal (2×1: H) when grown for a short period of time. X-ray photoelectron spectroscopy analysis reveals an extremely low ratio of oxygen element to nitrogen element, giving the grown diamond film P-type conductivity characteristics. The Hall test results demonstrate that the hydrogen-terminated diamond film grown with a methane concentration of 4% exhibits the highest conductivity, with a square resistance of 4981 Ω/square and a hole mobility of 207 cm2/(V·s). This enhanced conductivity can be attributed to the lower defect density observed under these specific conditions. The findings of this study effectively improve the electrical properties of hydrogen-terminated diamond, and contribute to the development and practical application of high-power diamond devices.
2024, 73(8): 088401.
doi:10.7498/aps.73.20232011
Abstract:
The superconducting rotor magnetic levitation device can be used to make an angular velocity sensor, and the high-speed rotating superconducting rotor is the basis for achieving high-precision measurement of the superconducting rotor magnetic levitation device. The heat loss and radial mass eccentricity of the superconducting rotor can cause thermal quenching and resonance in the driving process, which is unfavorable to the driving process of the superconducting rotor. Therefore, it is necessary to maintain a certain quantity of helium gas in the superconducting cavity in the driving process, to transfer the heat generated by the driving process and avoid its resonance. But helium gas also has a drag torque on the rotating superconducting rotor, affecting the driving process of the superconducting rotor. Based on this, the drag torque of the helium on the rotating superconducting rotor is studied. Firstly, the Van der Waals equation is introduced to analyze the properties of low-temperature helium, and a method of studying the drag effect of low-temperature helium on the rotating superconducting rotor is proposed based on Reynolds law and Stoke’s first problem. Then, an experiment on superconducting rotor speed attenuation is conducted to verify the proposed analysis method. Based on the finite element method, the driving electromagnetic structure and driving torque of the superconducting rotor are analyzed. Finally, the influence of helium on the driving process of the superconducting rotor is investigated, including critical driving speed, acceleration time of the superconducting rotor, and frictional heat of the helium on the superconducting rotor. The research results further enrich the study of the drag torque of low-temperature gases on rotating superconductors, providing a reference for further optimizing the driving process of superconducting rotors.
The superconducting rotor magnetic levitation device can be used to make an angular velocity sensor, and the high-speed rotating superconducting rotor is the basis for achieving high-precision measurement of the superconducting rotor magnetic levitation device. The heat loss and radial mass eccentricity of the superconducting rotor can cause thermal quenching and resonance in the driving process, which is unfavorable to the driving process of the superconducting rotor. Therefore, it is necessary to maintain a certain quantity of helium gas in the superconducting cavity in the driving process, to transfer the heat generated by the driving process and avoid its resonance. But helium gas also has a drag torque on the rotating superconducting rotor, affecting the driving process of the superconducting rotor. Based on this, the drag torque of the helium on the rotating superconducting rotor is studied. Firstly, the Van der Waals equation is introduced to analyze the properties of low-temperature helium, and a method of studying the drag effect of low-temperature helium on the rotating superconducting rotor is proposed based on Reynolds law and Stoke’s first problem. Then, an experiment on superconducting rotor speed attenuation is conducted to verify the proposed analysis method. Based on the finite element method, the driving electromagnetic structure and driving torque of the superconducting rotor are analyzed. Finally, the influence of helium on the driving process of the superconducting rotor is investigated, including critical driving speed, acceleration time of the superconducting rotor, and frictional heat of the helium on the superconducting rotor. The research results further enrich the study of the drag torque of low-temperature gases on rotating superconductors, providing a reference for further optimizing the driving process of superconducting rotors.
2024, 73(8): 088501.
doi:10.7498/aps.73.20231561
Abstract:
Na2KSb photocathodes have many applications in vacuum optoelectronic devices, such as photomultiplier tubes, image intensifiers, and streak image tubes for high-speed detection and imaging in extremely weak light environments, due to their advantages of high temperature resistance, small dark current, low vacuum requirement, low fabrication cost and high fabrication flexibility. In addition, this type of photocathode has important application prospect in high brightness accelerator photoinjectors. To guide the fabrication of high-sensitivity Na2KSb photocathodes, Na2KSb surfaces with different surface orientations and atom terminations are investigated by the first-principles calculation method based on the density functional theory to obtain the most stable and most favorable surface for electron emission. From the perspectives of surface energy, adsorption energy, and work function before and after Cs adsorption, it is revealed that the Na2KSb (111) K surface exhibits superior surface stability and electron emission capability. Furthermore, the electronic structure and optical properties of Cs adsorption and Cs/O co-adsorption on the Na2KSb (111) K surface under different Cs coverages are analyzed, and the mechanism of Cs/O deposition on Na2KSb surface is studied. The adsorption energy of Cs in the Cs/O adsorption model is much larger than that in the single Cs adsorption model, indicating that the adsorption of O atoms on the Na2KSb surface can make the adsorption of Cs atoms on the surface stronger, and thus increasing the adhesion of Cs atoms on the surface. After adsorption of Cs on the Na2KSb (111)K surface, the surface work function only decreases by 0.02 eV, while the maximum work function decrease for the Cs/O adsorbed surface is 0.16 eV, with the Cs coverage of 2/4 ML and the O coverage of 1/4 ML. The adsorption of Cs/O atoms on the surface facilitates the charge transfer above the surface and results in charge accumulation, which can form the effective surface dipole moment. The magnitude of the surface dipole moment is directly related to the change of work function. Furthermore, through the analysis of the electronic band structure and density of states, it is found that the adsorbed Cs atoms have additional contribution to the band structure near the conduction band minimum. After the introduction of O atoms, the valence band moves up, also the bottom of the conduction band and the top of the valence band become flat. The Cs/O deposition is beneficial to increasing the absorption of near-infrared light on the Na2KSb surface, but it will reduce the absorption of ultraviolet light and visible light, and the refractive index will also decrease. This work has a certain reference significance for understanding the optimal emission surface of Na2KSb photocathode and the mechanism of surface Cs/O deposition.
Na2KSb photocathodes have many applications in vacuum optoelectronic devices, such as photomultiplier tubes, image intensifiers, and streak image tubes for high-speed detection and imaging in extremely weak light environments, due to their advantages of high temperature resistance, small dark current, low vacuum requirement, low fabrication cost and high fabrication flexibility. In addition, this type of photocathode has important application prospect in high brightness accelerator photoinjectors. To guide the fabrication of high-sensitivity Na2KSb photocathodes, Na2KSb surfaces with different surface orientations and atom terminations are investigated by the first-principles calculation method based on the density functional theory to obtain the most stable and most favorable surface for electron emission. From the perspectives of surface energy, adsorption energy, and work function before and after Cs adsorption, it is revealed that the Na2KSb (111) K surface exhibits superior surface stability and electron emission capability. Furthermore, the electronic structure and optical properties of Cs adsorption and Cs/O co-adsorption on the Na2KSb (111) K surface under different Cs coverages are analyzed, and the mechanism of Cs/O deposition on Na2KSb surface is studied. The adsorption energy of Cs in the Cs/O adsorption model is much larger than that in the single Cs adsorption model, indicating that the adsorption of O atoms on the Na2KSb surface can make the adsorption of Cs atoms on the surface stronger, and thus increasing the adhesion of Cs atoms on the surface. After adsorption of Cs on the Na2KSb (111)K surface, the surface work function only decreases by 0.02 eV, while the maximum work function decrease for the Cs/O adsorbed surface is 0.16 eV, with the Cs coverage of 2/4 ML and the O coverage of 1/4 ML. The adsorption of Cs/O atoms on the surface facilitates the charge transfer above the surface and results in charge accumulation, which can form the effective surface dipole moment. The magnitude of the surface dipole moment is directly related to the change of work function. Furthermore, through the analysis of the electronic band structure and density of states, it is found that the adsorbed Cs atoms have additional contribution to the band structure near the conduction band minimum. After the introduction of O atoms, the valence band moves up, also the bottom of the conduction band and the top of the valence band become flat. The Cs/O deposition is beneficial to increasing the absorption of near-infrared light on the Na2KSb surface, but it will reduce the absorption of ultraviolet light and visible light, and the refractive index will also decrease. This work has a certain reference significance for understanding the optimal emission surface of Na2KSb photocathode and the mechanism of surface Cs/O deposition.
2024, 73(8): 088502.
doi:10.7498/aps.73.20231999
Abstract:
The azobenzene molecular junction has aroused much interest of scientists due to its switching property arising from its photoinduced isomerism. Owing to the existence of the cis and trans isomers, the electronic transport properties of the azobenzene molecules are promised to show significant differences. The experimental investigations indicate that the cis azobenzene molecule commonly shows high conductance, while the trans azobenzene molecule shows low conductance. However, the computations give the opposite results. To reveal this significant difference, the effects of electrode mechanical modulation on the geometries and electronic transports of the azobenzene molecules are studied. The effects of the electrode geometries on the electronic transports of the azobenzene molecular junctions are also investigated. The electrode compressing process and the electrode stretching process of the azobenzene molecular junctions are simulated based on the first principles calculations. The electronic transport properties are further calculated by using non-equilibrium Green’s function (NEGF) method. The numerical results show that the structures of the cis and trans azobenzenes with sulfur anchors are stable in the stretching process and compressing process of electrode. For the cis azobenzene molecular junction, the cis geometry remains unchanged until the electrode distance is stretched to about 0.1 nm longer than the stable electrode distance of the trans azobenzene molecular junction. Though the trans azobenzene molecule is bent when squeezed by the electrodes, the C—N—N—C dihedral still maintains its trans structure even when the electrode distance is compressed to about 0.2 nm shorter than the stable electrode distance of the cis azobenzene molecular junctions. It is intriguing that the conductance values of cis and trans azobenzene molecular junctions vary inversely with the electrode distance. The conductance value of the cis azobenzene molecular junction increases with the elongating of the electrode distance, while the conductance value of the trans azobenzene molecular junction increases with the compression of the electrode. The conductance is very sensitive to the electrode distance for both the cis azobenzene molecular junction and the trans azobenzene molecular junctions, which can change more than 10 times with the change of the electrode distance. In the lower bias regime, the conductance of the trans azobenzene is higher than that of the cis one if the two electrodes are planar. However, when the molecule is sandwiched between two pyramid-shaped electrodes, the condutance of the cis azobenzene is higher. Thus, the higher conductance of cis azobenzene may be caused either by the pyramid-shaped electrodes or by the large electrode distance.
The azobenzene molecular junction has aroused much interest of scientists due to its switching property arising from its photoinduced isomerism. Owing to the existence of the cis and trans isomers, the electronic transport properties of the azobenzene molecules are promised to show significant differences. The experimental investigations indicate that the cis azobenzene molecule commonly shows high conductance, while the trans azobenzene molecule shows low conductance. However, the computations give the opposite results. To reveal this significant difference, the effects of electrode mechanical modulation on the geometries and electronic transports of the azobenzene molecules are studied. The effects of the electrode geometries on the electronic transports of the azobenzene molecular junctions are also investigated. The electrode compressing process and the electrode stretching process of the azobenzene molecular junctions are simulated based on the first principles calculations. The electronic transport properties are further calculated by using non-equilibrium Green’s function (NEGF) method. The numerical results show that the structures of the cis and trans azobenzenes with sulfur anchors are stable in the stretching process and compressing process of electrode. For the cis azobenzene molecular junction, the cis geometry remains unchanged until the electrode distance is stretched to about 0.1 nm longer than the stable electrode distance of the trans azobenzene molecular junction. Though the trans azobenzene molecule is bent when squeezed by the electrodes, the C—N—N—C dihedral still maintains its trans structure even when the electrode distance is compressed to about 0.2 nm shorter than the stable electrode distance of the cis azobenzene molecular junctions. It is intriguing that the conductance values of cis and trans azobenzene molecular junctions vary inversely with the electrode distance. The conductance value of the cis azobenzene molecular junction increases with the elongating of the electrode distance, while the conductance value of the trans azobenzene molecular junction increases with the compression of the electrode. The conductance is very sensitive to the electrode distance for both the cis azobenzene molecular junction and the trans azobenzene molecular junctions, which can change more than 10 times with the change of the electrode distance. In the lower bias regime, the conductance of the trans azobenzene is higher than that of the cis one if the two electrodes are planar. However, when the molecule is sandwiched between two pyramid-shaped electrodes, the condutance of the cis azobenzene is higher. Thus, the higher conductance of cis azobenzene may be caused either by the pyramid-shaped electrodes or by the large electrode distance.
2024, 73(8): 088901.
doi:10.7498/aps.73.20231749
Abstract:
In a magnetic confinement fusion device, the plasma undergoing nuclear fusion reaction must be maintained in a high-temperature and high-density confinement state for a long enough time to release high energy, while the heat loads on the divertor target plates need to be reduced to avoid damage to wall at the same time. The latter is one of the key challenges of ITER and commercial fusion reactors in future. Divertor detachment provides an effective solution to reduce the heat load on the target plate of tokamak. However, this may result in the change of plasma states at the boundary, thus affecting the plasma confinement. In this paper, edge plasma poloidal rotation and turbulence momentum transport are studied experimentally during the divertor detachment in the L-mode discharge of HL-2A tokamak. The detachment is achieved by injecting a mixture of gas (60% nitrogen+40% deuterium) into the divertor. The gas mixture is injected by pulsed injection, with pulse length being in a range of 5–20 ms. During the divertor detached phase, both the ion saturation current density and the heat flux to the outer target plate decrease considerably. The enhanced radiation is also observed in the divertor andX-point region. It is found that in the process of attachment-to-pre-detachement, the
\begin{document}$ \boldsymbol{E}\times \boldsymbol{B} $\end{document}
poloidal flow velocity in the near scrape-off layer (SOL) changes from ion magnetic drift direction to electron magnetic drift direction. The turbulent driving force of poloidal flow, which is characterized by the negative radial gradient of momentum transfer flux (Reynolds stress), shows the same trend. In the detached phase, both the
\begin{document}$ \boldsymbol{E}\times \boldsymbol{B} $\end{document}
flow and the Reynolds force become very small. Therefore, the dynamics of
\begin{document}$ \boldsymbol{E}\times \boldsymbol{B} $\end{document}
poloidal flow velocity in the SOL is consistent with the evolution of rotation driving effect induced by the turbulent momentum transport. Combined with the
\begin{document}$ \boldsymbol{E}\times \boldsymbol{B} $\end{document}
poloidal flow measured by the probe in the SOL and the beam emission spectrum inside the LCFS, the
\begin{document}$ \boldsymbol{E}\times \boldsymbol{B} $\end{document}
poloidal velocity shearing rate near the LCFS can be inferred. Compared with the attached state, when the divertor is detached, the edge poloidal flow shearing rate decreases significantly, leading to the obviously enhanced turbulence level. Under the influence of both enhanced turbulent transport and radiation, the global confinement degrades moderately. The energy confinement time decreases about 15% and the confinement factor
\begin{document}$ {H}_{89-P} $\end{document}
decreases about 10%. These results indicate that edge turbulent transport and plasma rotation dynamics play a role in the core-edge coupling process in which the divertor detachment affects the global confinement.
In a magnetic confinement fusion device, the plasma undergoing nuclear fusion reaction must be maintained in a high-temperature and high-density confinement state for a long enough time to release high energy, while the heat loads on the divertor target plates need to be reduced to avoid damage to wall at the same time. The latter is one of the key challenges of ITER and commercial fusion reactors in future. Divertor detachment provides an effective solution to reduce the heat load on the target plate of tokamak. However, this may result in the change of plasma states at the boundary, thus affecting the plasma confinement. In this paper, edge plasma poloidal rotation and turbulence momentum transport are studied experimentally during the divertor detachment in the L-mode discharge of HL-2A tokamak. The detachment is achieved by injecting a mixture of gas (60% nitrogen+40% deuterium) into the divertor. The gas mixture is injected by pulsed injection, with pulse length being in a range of 5–20 ms. During the divertor detached phase, both the ion saturation current density and the heat flux to the outer target plate decrease considerably. The enhanced radiation is also observed in the divertor andX-point region. It is found that in the process of attachment-to-pre-detachement, the
2024, 73(8): 088701.
doi:10.7498/aps.73.20240095
Abstract:
The mechanical behavior of cardiomyocytes plays an essential role in maintaining life and health. It is traditionally believed that both electrical signals and chemical signals modulate the cardiomyocytes behaviors. Recent discoveries have elucidated that the physical cues of microenvironment can regulate cell activities such as proliferation, spreading, migration, and differentiation. However, there is still limited research on regulating cardiomyocytes beating through mechanical force. Herein we prepare different polyacrylamide gels coated with different cell adhesion ligand proteins to simulate the physical microenvironment of cardiomyocytes. Then the mechanical loading forces are loaded by using a tungsten probe to stretch elastic hydrogels which can emulate the mechanical oscillations induced by the beating of adjacent cardiomyocytes. We investigate the responsive behavior of cardiomyocytes to external mechanical oscillations within various physical microenvironments. Firstly, we load 1 Hz mechanical oscillation on the matrix (E= 11 kPa) with different kinds and concentrations of ligands (0, 5, 20, 100 μg/mL) to stimulate cardiomyocytes and observe their mechanical response behavior. Our findings indicate that all kinds of ligands including Laminin, Fibronectin and Collagen I , can mediate the cardiomyocytes response to extrinsic mechanical oscillatory stimuli, which might be due to distinct mechanisms of mechanical force coupling (Fig. (b)). This suggests that mechanical force signals can regulate the beating of cardiomyocytes through matrix-ligand-cell signaling pathway, thereby inducing intercellular coupled oscillations for rhythmic control of cardiomyocytes. Cardiomyocytes cultured on the matrix coated with 20 μg/mL Laminin show the highest and most stable response fraction. We hypothesize that there exist dual force transduction pathways for Laminin binding to integrin and dystrophin glycoprotein complex (DGC) (Fig. (a)). We further analyze the cardiomyocytes behaviors under mechanical oscillation with different values of substrate stiffness (E= 1.8, 11, 27 kPa) and concentrations of Laminin (0, 5, 20, 100 μg/mL). We find that cardiomyocytes cultured on 1.8 kPa coated with 20 μg/mL Laminin show the highest response fraction (Fig. (c)). Our results demonstrate that the stiffness of substrate, the type and density of cell adhesion ligands, as well as the strength and rhythm of the mechanical signals can synergetically affect the cardiomyocytes responses to external mechanical stimulations, which provides the foundation for understanding the diseases such as cardiac arrhythmias and heart failure following myocardial infarction.
The mechanical behavior of cardiomyocytes plays an essential role in maintaining life and health. It is traditionally believed that both electrical signals and chemical signals modulate the cardiomyocytes behaviors. Recent discoveries have elucidated that the physical cues of microenvironment can regulate cell activities such as proliferation, spreading, migration, and differentiation. However, there is still limited research on regulating cardiomyocytes beating through mechanical force. Herein we prepare different polyacrylamide gels coated with different cell adhesion ligand proteins to simulate the physical microenvironment of cardiomyocytes. Then the mechanical loading forces are loaded by using a tungsten probe to stretch elastic hydrogels which can emulate the mechanical oscillations induced by the beating of adjacent cardiomyocytes. We investigate the responsive behavior of cardiomyocytes to external mechanical oscillations within various physical microenvironments. Firstly, we load 1 Hz mechanical oscillation on the matrix (E= 11 kPa) with different kinds and concentrations of ligands (0, 5, 20, 100 μg/mL) to stimulate cardiomyocytes and observe their mechanical response behavior. Our findings indicate that all kinds of ligands including Laminin, Fibronectin and Collagen I , can mediate the cardiomyocytes response to extrinsic mechanical oscillatory stimuli, which might be due to distinct mechanisms of mechanical force coupling (Fig. (b)). This suggests that mechanical force signals can regulate the beating of cardiomyocytes through matrix-ligand-cell signaling pathway, thereby inducing intercellular coupled oscillations for rhythmic control of cardiomyocytes. Cardiomyocytes cultured on the matrix coated with 20 μg/mL Laminin show the highest and most stable response fraction. We hypothesize that there exist dual force transduction pathways for Laminin binding to integrin and dystrophin glycoprotein complex (DGC) (Fig. (a)). We further analyze the cardiomyocytes behaviors under mechanical oscillation with different values of substrate stiffness (E= 1.8, 11, 27 kPa) and concentrations of Laminin (0, 5, 20, 100 μg/mL). We find that cardiomyocytes cultured on 1.8 kPa coated with 20 μg/mL Laminin show the highest response fraction (Fig. (c)). Our results demonstrate that the stiffness of substrate, the type and density of cell adhesion ligands, as well as the strength and rhythm of the mechanical signals can synergetically affect the cardiomyocytes responses to external mechanical stimulations, which provides the foundation for understanding the diseases such as cardiac arrhythmias and heart failure following myocardial infarction.












