2024 Vol. 73, No. 9
column
- INVITED REVIEW
- GENERAL
- NUCLEAR PHYSICS
- ATOMIC AND MOLECULAR PHYSICS
- ELECTROMAGNETISM, OPTICS, ACOUSTICS, HEAT TRANSFER, CLASSICAL MECHANICS, AND FLUID DYNAMICS
- COVER ARTICLE
- PHYSICS OF GASES, PLASMAS, AND ELECTRIC DISCHARGES
- CONDENSED MATTER: STRUCTURAL, MECHANICAL, AND THERMAL PROPERTIES
- CONDENSED MATTER: ELECTRONIC STRUCTURE, ELECTRICAL, MAGNETIC, AND OPTICAL PROPERTIES
- INTERDISCIPLINARY PHYSICS AND RELATED AREAS OF SCIENCE AND TECHNOLOGY
Display Method:
2024, 73(9): 095201.
doi:10.7498/aps.73.20231598
Abstract:
Semiconductor chips are the cornerstone of the information age, which play a vital role in the rapid development of emerging technologies such as big data, machine learning, and artificial intelligence. Driven by the growing demand for computing power, the chip manufacturing industry has been committed to pursuing higher level of integration and smaller device volumes. As a critical step in the chip manufacturing processes, the etching process therefore faces great challenges. Dry etching (or plasma etching) process based on the low-temperature plasma science and technology is the preferred solution for etching the high-precision circuit pattern. In the low-temperature plasma, electrons obtain energy from the external electromagnetic field and transfer the energy to other particles through collision process. After a series of complex physical and chemical reactions, a large number of active particles such as electrons, ions, atoms and molecules in excited states, and radicals are finally generated, providing the material conditions for etching the substrate. Dry etching chamber is a nonlinear system with multiple space-time dimensions, multiple reaction levels and high complexity. Facing such a complex system, only by fully understanding the basic physical and chemical reaction of the etching process can we optimize the process parameters and improve the etching conditions, so as to achieve precision machining of the semiconductor and meet the growing demand of the chip industry for etching rate and yield. In the early days, the process conditions of dry etching were determined through the trial-and-error method, which is characterized by high cost and low yield. However, with the help of plasma simulation, nowadays people have been able to narrow the scope of experiment to a large extent, and find out efficiently the optimal process conditions in a large number of parameters. In this review, we first introduce the basic theory of the mostly used models for plasma simulation including kinetic, fluid dynamic, hybrid and global models, in which the electron collision cross sections are the key input parameters. Since the formation of the low-temperature plasma is driven by the electron-heavy particle collision processes, and the active species for plasma etching are generated in the reactions induced by electron impact, the accuracy and completeness of the cross-section data greatly affect the reliability of the simulation results. Then, the theoretical and experimental methods of obtaining the cross-section data of etching gases are summarized. Finally, the research status of the electron collision cross sections of etching atoms and molecules is summarized, and the future research prospect is discussed.
Semiconductor chips are the cornerstone of the information age, which play a vital role in the rapid development of emerging technologies such as big data, machine learning, and artificial intelligence. Driven by the growing demand for computing power, the chip manufacturing industry has been committed to pursuing higher level of integration and smaller device volumes. As a critical step in the chip manufacturing processes, the etching process therefore faces great challenges. Dry etching (or plasma etching) process based on the low-temperature plasma science and technology is the preferred solution for etching the high-precision circuit pattern. In the low-temperature plasma, electrons obtain energy from the external electromagnetic field and transfer the energy to other particles through collision process. After a series of complex physical and chemical reactions, a large number of active particles such as electrons, ions, atoms and molecules in excited states, and radicals are finally generated, providing the material conditions for etching the substrate. Dry etching chamber is a nonlinear system with multiple space-time dimensions, multiple reaction levels and high complexity. Facing such a complex system, only by fully understanding the basic physical and chemical reaction of the etching process can we optimize the process parameters and improve the etching conditions, so as to achieve precision machining of the semiconductor and meet the growing demand of the chip industry for etching rate and yield. In the early days, the process conditions of dry etching were determined through the trial-and-error method, which is characterized by high cost and low yield. However, with the help of plasma simulation, nowadays people have been able to narrow the scope of experiment to a large extent, and find out efficiently the optimal process conditions in a large number of parameters. In this review, we first introduce the basic theory of the mostly used models for plasma simulation including kinetic, fluid dynamic, hybrid and global models, in which the electron collision cross sections are the key input parameters. Since the formation of the low-temperature plasma is driven by the electron-heavy particle collision processes, and the active species for plasma etching are generated in the reactions induced by electron impact, the accuracy and completeness of the cross-section data greatly affect the reliability of the simulation results. Then, the theoretical and experimental methods of obtaining the cross-section data of etching gases are summarized. Finally, the research status of the electron collision cross sections of etching atoms and molecules is summarized, and the future research prospect is discussed.
2024, 73(9): 090201.
doi:10.7498/aps.73.20232026
Abstract:
How surface wettability affects boiling heat transfer of thin liquid film on a nanoscale remains a challenging research topic. In this work, the effects of wettability on the nanoscale boiling heat transfer for a thin liquid film on hydrophilic surface and hydrophobic surface are investigated by molecular dynamics simulation. Results demonstrate that the hydrophilic surface has better heat transfer performance than the hydrophobic surface. It has a shorter boiling onset time, higher temperature, heat flux, interfacial thermal conductance, and weakened interfacial thermal resistance. The hydrophilic surface throughout has higher critical heat flux than the hydrophobic surface in both macro-system and nanoscale system. Besides, a two-dimensional surface potential energy is proposed to reveal the mechanism of wettability affecting the boiling heat transfer. The absolute value of potential energy in one regular unit of hydrophilicity (–0.34 eV) is much higher than that of hydrophobicity (–0.09 eV). That is the crucial reason why the heat transfer enhancement via improving surface wettability should be primarily the powerful surface potential energy. In addition, the interaction energy is calculated to further address the nucleation mechanism and heat transfer performance for liquid film on different wettability surfaces. The interaction energy values are ordered asIphi(1.57 eV/nm2) >Iwater(0.48 eV/nm2) >Ipho(0.26 eV/nm2), indicating that the better heat transfer performance of hydrophilic surface is because of the large interaction energy at the solid/liquid interface. Besides, the bubble nucleation on a hydrophilic surface needs absorbing more energy and occurs inside the thin liquid film, while it needs absorbing less energy and triggering off at the solid/liquid interface with hydrophobicity. Those uncover the principal mechanisms of how wettability influences the bubble nucleation and boiling heat transfer performance on a nanoscale.
How surface wettability affects boiling heat transfer of thin liquid film on a nanoscale remains a challenging research topic. In this work, the effects of wettability on the nanoscale boiling heat transfer for a thin liquid film on hydrophilic surface and hydrophobic surface are investigated by molecular dynamics simulation. Results demonstrate that the hydrophilic surface has better heat transfer performance than the hydrophobic surface. It has a shorter boiling onset time, higher temperature, heat flux, interfacial thermal conductance, and weakened interfacial thermal resistance. The hydrophilic surface throughout has higher critical heat flux than the hydrophobic surface in both macro-system and nanoscale system. Besides, a two-dimensional surface potential energy is proposed to reveal the mechanism of wettability affecting the boiling heat transfer. The absolute value of potential energy in one regular unit of hydrophilicity (–0.34 eV) is much higher than that of hydrophobicity (–0.09 eV). That is the crucial reason why the heat transfer enhancement via improving surface wettability should be primarily the powerful surface potential energy. In addition, the interaction energy is calculated to further address the nucleation mechanism and heat transfer performance for liquid film on different wettability surfaces. The interaction energy values are ordered asIphi(1.57 eV/nm2) >Iwater(0.48 eV/nm2) >Ipho(0.26 eV/nm2), indicating that the better heat transfer performance of hydrophilic surface is because of the large interaction energy at the solid/liquid interface. Besides, the bubble nucleation on a hydrophilic surface needs absorbing more energy and occurs inside the thin liquid film, while it needs absorbing less energy and triggering off at the solid/liquid interface with hydrophobicity. Those uncover the principal mechanisms of how wettability influences the bubble nucleation and boiling heat transfer performance on a nanoscale.
2024, 73(9): 090601.
doi:10.7498/aps.73.20240138
Abstract:
The low-temporal coherence light (LTCL) has received extensive attention in the research of inertial confinement fusion due to its physical properties of instantaneous broadband. Recent reports demonstrated that the LTCL has significant suppression effects on laser plasma instability. However, the temporal spike structures of the LTCL will not only induce the amplification of the self-focusing effect, but also make its small-scale self-focusing characteristics and corresponding damage mechanism more complicated. Exploring the self-focusing characteristics of the LTCL will provide an important information for improving the output power of the LTCL. In this work, we design a more accurate test method for comparing the nonlinear self-focusing effects of different lasers, and compare the self-focusing effect of LTCL with single longitudinal mode (SLM) pulse. In the experiments, fused silica is tightly focused by a short focal length lens to avoid damaging the input surface. A spatially resolved test method is designed to measure the nonlinearI×Lvalue (whereIis the incident intensity,Lis the distance from the head of filamentation damage to the input surface), which is accumulated from the input surface to the head of filamentation damage. The results show that the nonlinearI×Lvalue obtained by the spatially resolved method is lower than by the traditional test method, since the energy loss caused by incident surface damage and backward stimulated Brillouin scattering (SBS) has been resolved. Furthermore, the nonlinearI×Lvalues of the SLM pulse and the LTCL are also compared by the traditional test method and spatially resolved method. The test results show that due to the temporal spike structure, the LTCL has a lower nonlinearI×Lvalue than the SLM pulse. The SBS effect and the different damage characteristics of the input surface are also analyzed. This study provides a more accurate test method for better analyzing the self-focusing effect of LTCL and laser pulses with different characteristics, and hence presenting a reference for designing high-power devices of low-temporal coherence light.
The low-temporal coherence light (LTCL) has received extensive attention in the research of inertial confinement fusion due to its physical properties of instantaneous broadband. Recent reports demonstrated that the LTCL has significant suppression effects on laser plasma instability. However, the temporal spike structures of the LTCL will not only induce the amplification of the self-focusing effect, but also make its small-scale self-focusing characteristics and corresponding damage mechanism more complicated. Exploring the self-focusing characteristics of the LTCL will provide an important information for improving the output power of the LTCL. In this work, we design a more accurate test method for comparing the nonlinear self-focusing effects of different lasers, and compare the self-focusing effect of LTCL with single longitudinal mode (SLM) pulse. In the experiments, fused silica is tightly focused by a short focal length lens to avoid damaging the input surface. A spatially resolved test method is designed to measure the nonlinearI×Lvalue (whereIis the incident intensity,Lis the distance from the head of filamentation damage to the input surface), which is accumulated from the input surface to the head of filamentation damage. The results show that the nonlinearI×Lvalue obtained by the spatially resolved method is lower than by the traditional test method, since the energy loss caused by incident surface damage and backward stimulated Brillouin scattering (SBS) has been resolved. Furthermore, the nonlinearI×Lvalues of the SLM pulse and the LTCL are also compared by the traditional test method and spatially resolved method. The test results show that due to the temporal spike structure, the LTCL has a lower nonlinearI×Lvalue than the SLM pulse. The SBS effect and the different damage characteristics of the input surface are also analyzed. This study provides a more accurate test method for better analyzing the self-focusing effect of LTCL and laser pulses with different characteristics, and hence presenting a reference for designing high-power devices of low-temporal coherence light.
2024, 73(9): 092501.
doi:10.7498/aps.73.20240088
Abstract:
China Spallation Neutron Source (CSNS) I project passed the national acceptance in 2018, and current beam power has reached 140 kW. In order to further improve the output neutron strength of the target station moderator, a 500 kW power upgrade plan has been proposed for CSNS II. The target station is an important part of the spallation neutron source. In the target station, a large number of neutrons are produced by the spallation reaction between high energy protons and the target, these neutrons are moderated by the moderator and become neutrons for neutron scattering experiments. During operation, the target and other key components such as the target container, the moderator reflector container, and the proton beam window are irradiated by high-flux and high-energy particles for a long time, which will result in serious radiation damage. It is important to assess the accumulated radiation damage during operation to determine the service life of each component. At present, the physical quantities used to evaluate the radiation damage degree of materials include displacement per atom (DPA), H and He production. In this work, the displacement damage cross sections of protons and neutrons and the H, He production cross sections for W, SS316 and Al-6061 materials are obtained by using PHITS. The effects of the Norgett-Robinson-Torrens (NRT) model and athermal recombination corrected (ARC) model on the calculation of displacement damage are analyzed. The results show that the cross section calculated based on ARC model is lower than that based on NRT model, because the NRT model does not take into account the resetting of the atoms before reaching thermodynamic equilibrium. On this basis, DPA, H and He production of the key components of the target station operating for 5000 h at a power of 500 kW are calculated by combining the baseline model of the second phase target station of the spallation neutron source in China. The results show that the yields of NRT-dpa, ARC-dpa, H and He produced by irradiation are 8.01 dpa/y (in this paper, 1 y = 2500 MW·h), 2.39 dpa/y, 5110 appm/y and 884 appm/y, respectively. The radiation damage values of the target vessel are 5.34 dpa/y, 1.92 dpa/y, 2180 appm/y and 334 appm/y, respectively. The radiation damage values of the moderators and reflectors are 3.78 dpa/y, 1.77 dpa/y, 124 appm/y, and 36.7 appm/y. The radiation damage values of the proton beam window are 0.35 dpa/y, 0.19 dpa/y, 962 appm/y, and 216 appm/y. Subsequently, the life of each component is estimated by analyzing the radiation damage. These results are very important for analyzing the radiation damage of these parts, and constructing reasonable maintenance programs.
China Spallation Neutron Source (CSNS) I project passed the national acceptance in 2018, and current beam power has reached 140 kW. In order to further improve the output neutron strength of the target station moderator, a 500 kW power upgrade plan has been proposed for CSNS II. The target station is an important part of the spallation neutron source. In the target station, a large number of neutrons are produced by the spallation reaction between high energy protons and the target, these neutrons are moderated by the moderator and become neutrons for neutron scattering experiments. During operation, the target and other key components such as the target container, the moderator reflector container, and the proton beam window are irradiated by high-flux and high-energy particles for a long time, which will result in serious radiation damage. It is important to assess the accumulated radiation damage during operation to determine the service life of each component. At present, the physical quantities used to evaluate the radiation damage degree of materials include displacement per atom (DPA), H and He production. In this work, the displacement damage cross sections of protons and neutrons and the H, He production cross sections for W, SS316 and Al-6061 materials are obtained by using PHITS. The effects of the Norgett-Robinson-Torrens (NRT) model and athermal recombination corrected (ARC) model on the calculation of displacement damage are analyzed. The results show that the cross section calculated based on ARC model is lower than that based on NRT model, because the NRT model does not take into account the resetting of the atoms before reaching thermodynamic equilibrium. On this basis, DPA, H and He production of the key components of the target station operating for 5000 h at a power of 500 kW are calculated by combining the baseline model of the second phase target station of the spallation neutron source in China. The results show that the yields of NRT-dpa, ARC-dpa, H and He produced by irradiation are 8.01 dpa/y (in this paper, 1 y = 2500 MW·h), 2.39 dpa/y, 5110 appm/y and 884 appm/y, respectively. The radiation damage values of the target vessel are 5.34 dpa/y, 1.92 dpa/y, 2180 appm/y and 334 appm/y, respectively. The radiation damage values of the moderators and reflectors are 3.78 dpa/y, 1.77 dpa/y, 124 appm/y, and 36.7 appm/y. The radiation damage values of the proton beam window are 0.35 dpa/y, 0.19 dpa/y, 962 appm/y, and 216 appm/y. Subsequently, the life of each component is estimated by analyzing the radiation damage. These results are very important for analyzing the radiation damage of these parts, and constructing reasonable maintenance programs.
2024, 73(9): 093101.
doi:10.7498/aps.73.20240028
Abstract:
The parity violation effects via the
\begin{document}$ {\mathrm{5d6s\; {^3D_1} \to 6s^2 \; {^1S_0}}} $\end{document}
transition have been extensively investigated in ytterbium atoms. However, the M1 transition between the excitation state
\begin{document}$ {\mathrm{5d6s\; {^3D_1}}} $\end{document}
and the ground state
\begin{document}$ {\mathrm{6s^2 \; {^1S_0}}} $\end{document}
, as well as the hyperfine-induced E2 transition, significantly affects the detection of parity violation signal. Therefore, it is imperative to obtain the accurate transition probabilities for the M1 and hyperfine-induced E2 transitions between the excitation state
\begin{document}${\mathrm{ 5d6s\; {^3D_1} }}$\end{document}
and the ground state
\begin{document}$ {\mathrm{6s^2\; {^1S_0}}} $\end{document}
. In this work, we use the multi-configuration Dirac-Hartree-Fock theory to precisely calculate the transition probabilities for the
\begin{document}${\mathrm{ 5d6s \; {^3D_1} \to 6s^2 \; {^1S_0} }}$\end{document}
M1 and hyperfine-induced
\begin{document}${\mathrm{ 5d6s \; ^3D_{1,3} \to 6s^2 \; {^1S_0} }}$\end{document}
E2 transitions. We extensively analyze the influences of electronic correlation effects on the transition probabilities according to our calculations. Furthermore, we analyze the influences of different perturbing states and various hyperfine interactions on the transition probabilities. The calculated hyperfine constants of the e
\begin{document}$ {\mathrm{^3D_{1,2,3}}} $\end{document}
and
\begin{document}${\mathrm{ ^1D_2}} $\end{document}
states accord well with experimental measurements, validating the rationality of our computational model. By combining experimentally measured hyperfine constants with the theoretically derived electric field gradient of the extra nuclear electrons at the nucleus, we reevaluate the nuclear quadrupole moment of the
\begin{document}$ ^{173} $\end{document}
Yb nucleus as
\begin{document}$ Q = 2. 89(5) \;\rm {b} $\end{document}
, showing that our result is in excellent agreement with the presently recommended value.
The parity violation effects via the
2024, 73(9): 093102.
doi:10.7498/aps.73.20240027
Abstract:
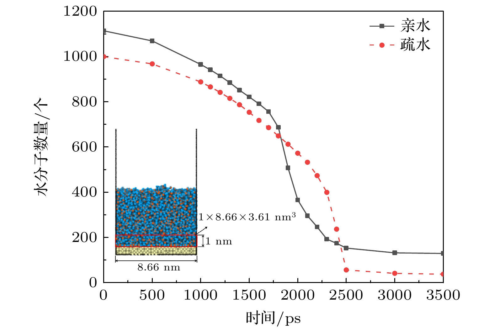
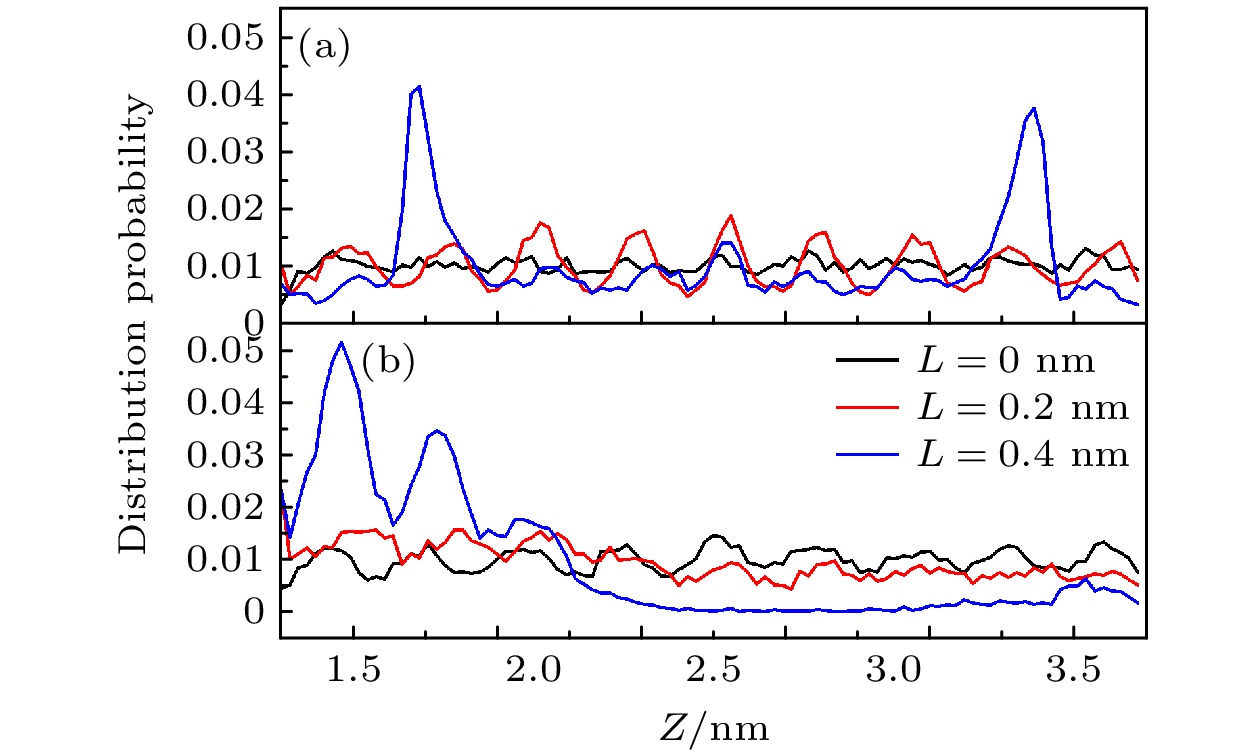
The orientation of water molecules within nanochannels is pivotal in influencing water transport, particularly under the influence of electric fields. This study delves into the effects of electric field direction on water transport through disjoint nanochannels, a structure which is of emerging significance. Molecular dynamics simulations are conducted to study the properties of water in complete nanochannel and disjoint nanochannels with gap sizes of 0.2 nm and 0.4 nm, respectively, such as occupancy, transport, water bridge formation, and dipole orientation, by systematically varying the electric field direction from 0 to 180 degrees. The simulation results disclose that the electric field direction has little influence on water flow through complete nanochannels. However, as the size of the nanogap expands, the declining trend of water transfer rate through disjoint nanochannels becomes more distinctive when the electric field direction is shifted from 0 to 90 degrees under an electric field with a strength of 1 V/nm. Notably, results also reveal distinct behaviors at 90 degrees under an electric field with a strength of 1 V/nm, where the stable water chains, unstable water bridges, and no water bridges are observed in complete nanochannels, disjoint nanochannels with 0.2 nm gap, and 0.4 nm gap, respectively. Moreover, simulations indicate that increasing the electric field strength in a polarization direction perpendicular to the tube axis facilitates water bridge breakdown in disjoint nanochannels. This research sheds light on the intricate interplay between electric field direction and water transport dynamics in disjoint nanochannels, presenting valuable insights into various applications.
The orientation of water molecules within nanochannels is pivotal in influencing water transport, particularly under the influence of electric fields. This study delves into the effects of electric field direction on water transport through disjoint nanochannels, a structure which is of emerging significance. Molecular dynamics simulations are conducted to study the properties of water in complete nanochannel and disjoint nanochannels with gap sizes of 0.2 nm and 0.4 nm, respectively, such as occupancy, transport, water bridge formation, and dipole orientation, by systematically varying the electric field direction from 0 to 180 degrees. The simulation results disclose that the electric field direction has little influence on water flow through complete nanochannels. However, as the size of the nanogap expands, the declining trend of water transfer rate through disjoint nanochannels becomes more distinctive when the electric field direction is shifted from 0 to 90 degrees under an electric field with a strength of 1 V/nm. Notably, results also reveal distinct behaviors at 90 degrees under an electric field with a strength of 1 V/nm, where the stable water chains, unstable water bridges, and no water bridges are observed in complete nanochannels, disjoint nanochannels with 0.2 nm gap, and 0.4 nm gap, respectively. Moreover, simulations indicate that increasing the electric field strength in a polarization direction perpendicular to the tube axis facilitates water bridge breakdown in disjoint nanochannels. This research sheds light on the intricate interplay between electric field direction and water transport dynamics in disjoint nanochannels, presenting valuable insights into various applications.
2024, 73(9): 093201.
doi:10.7498/aps.73.20231583
Abstract:
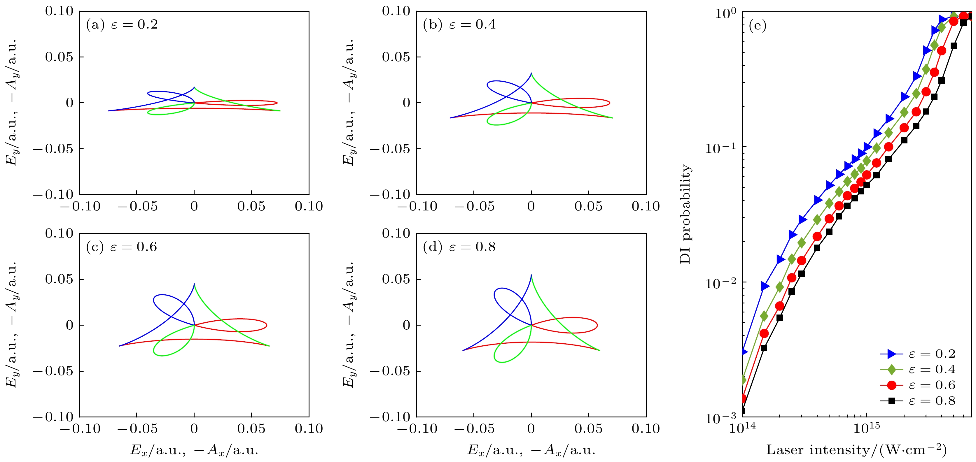
Electron correlation behaviors and recollision dynamics in nonsequential double ionization (NSDI) of Ar atoms in counter-rotating two-color elliptically polarized (TCEP) laser fields are investigated by using the classical ensemble model. The combined electric field in counter-rotating TCEP laser pulses traces out a trefoil pattern, i.e. the waveform in a period shows three leaves in different directions, and each leaf is called a lobe. Unlike counter-rotating two-color circularly polarized laser field, the combined electric field has no spatial symmetry. The amplitudes of the three field lobes and the angles between them are different. Thus, the returning electron mainly returns to the parent ion from one direction, and the electron momentum distributions show strong asymmetry. Numerical results show that the NSDI yield gradually decreases as the ellipticity increases, and the correlated behavior of the correlated electron momentum along the long axis of the laser polarization plane gradually evolves from correlation behavior mainly located in the first quadrant and the third quadrant to anti-correlation behavior mainly located in the second quadrant and fourth quadrant. In order to further understand the correlation behaviors of electron pairs, different characteristic times in the NSDI processes are discussed, respectively. It is found that single ionization events and recollision events gradually decrease, but single ionization time and recollision time change slightly. This may be the main reason for the decrease in NSDI yield. And as the ellipticity increases, the traveling time and the recollision energy gradually decrease, while the delay time increases. Therefore, we can conclude that ellipticity may be responsible for the NSDI process. In addition, further analysis finds that the shape of the trajectory becomes more and more triangular as the ellipticity increases due to the counter-rotating TCEP laser fields of the specific dynamical symmetries of the total net electric field. And it is found that whether it is a “short trajectory” or a “long trajectory”, more populations move to the second quadrant and the fourth quadrant as the ellipticity increases. The results show that increasing the ellipticity will gradually change the two electrons from emitting in the same direction to emitting in the opposite direction. This well demonstrates that both ellipticity and travelling time are responsible for the formation of the electron momentum distribution at the recollision time, meaning that both of them affect the emitted directions of both electrons.
Electron correlation behaviors and recollision dynamics in nonsequential double ionization (NSDI) of Ar atoms in counter-rotating two-color elliptically polarized (TCEP) laser fields are investigated by using the classical ensemble model. The combined electric field in counter-rotating TCEP laser pulses traces out a trefoil pattern, i.e. the waveform in a period shows three leaves in different directions, and each leaf is called a lobe. Unlike counter-rotating two-color circularly polarized laser field, the combined electric field has no spatial symmetry. The amplitudes of the three field lobes and the angles between them are different. Thus, the returning electron mainly returns to the parent ion from one direction, and the electron momentum distributions show strong asymmetry. Numerical results show that the NSDI yield gradually decreases as the ellipticity increases, and the correlated behavior of the correlated electron momentum along the long axis of the laser polarization plane gradually evolves from correlation behavior mainly located in the first quadrant and the third quadrant to anti-correlation behavior mainly located in the second quadrant and fourth quadrant. In order to further understand the correlation behaviors of electron pairs, different characteristic times in the NSDI processes are discussed, respectively. It is found that single ionization events and recollision events gradually decrease, but single ionization time and recollision time change slightly. This may be the main reason for the decrease in NSDI yield. And as the ellipticity increases, the traveling time and the recollision energy gradually decrease, while the delay time increases. Therefore, we can conclude that ellipticity may be responsible for the NSDI process. In addition, further analysis finds that the shape of the trajectory becomes more and more triangular as the ellipticity increases due to the counter-rotating TCEP laser fields of the specific dynamical symmetries of the total net electric field. And it is found that whether it is a “short trajectory” or a “long trajectory”, more populations move to the second quadrant and the fourth quadrant as the ellipticity increases. The results show that increasing the ellipticity will gradually change the two electrons from emitting in the same direction to emitting in the opposite direction. This well demonstrates that both ellipticity and travelling time are responsible for the formation of the electron momentum distribution at the recollision time, meaning that both of them affect the emitted directions of both electrons.
2024, 73(9): 093202.
doi:10.7498/aps.73.20240162
Abstract:
Rydberg atoms hold special attraction in electric applications due to their large transition electric dipole moments and huge polarization, which leads to a strong response of atom to electric fields. In radio-frequency (RF) fields, the Rydberg levels are AC Stark shift and splitting, which can realize the study of high-sensitivity electric field sensor of Rydberg atoms. In this work, we use the simpler Shirley’s time-independent Floquet Hamiltonian model to calculate the AC Stark energy spectrum of Cs Rydberg atoms. This model can reduce the basic Hamiltonian into such a Hamiltonian that includes only those Rydberg states that have direct dipole-allowed transitions with the target state, thereby significantly improving the speed of computation. The accuracy of the calculation is proved by fitting with the calculated frequency shift of DC Stark energy levels in the weak fields, and the polarizability of 60D5/2and 70D5/2Rydberg atomic states are obtained by fitting with the measured ion spectra of DC Stark Cs ultra-cold Rydberg atoms in magneto-optical trap. In addition, we calculate the AC Stark shift of Cs Rydberg atom
\begin{document}$ \left| {60{{\text{D}}_{5/2}},{m_j} = 1/2} \right\rangle $\end{document}
state in electric fields with different frequencies withε= 100 mV/m. Rydberg atoms provide a structured spectrum of sensitivity to electric fields due to strong resonant interaction and off-resonant interaction with many dipole-allowed transitions to nearby Rydberg states. This kind of the frequency response structure is of significance to a broadband sensor. And we calculate the sensitivity and the scaling of the signal-to-noise ratio (SNR),β, varying with detuning from the
\begin{document}$ \left| {60{{\text{D}}_{5/2}}} \right\rangle \to \left| {61{{\text{P}}_{3/2}}} \right\rangle $\end{document}
transition. The value ofβallows one to use the result for any Rydberg state sensor to determine the SNR for anyΕin a 1 s measurement. Therefrom, Rydberg sensor can preferentially detect many RF frequencies spreading across its carrier spectral range without modification while effectively rejecting large portions where the atom response is significantly weaker, and the signal depends primarily on the detuning of the RF field to the nearest resonance which does not convey the RF frequency directly.
Rydberg atoms hold special attraction in electric applications due to their large transition electric dipole moments and huge polarization, which leads to a strong response of atom to electric fields. In radio-frequency (RF) fields, the Rydberg levels are AC Stark shift and splitting, which can realize the study of high-sensitivity electric field sensor of Rydberg atoms. In this work, we use the simpler Shirley’s time-independent Floquet Hamiltonian model to calculate the AC Stark energy spectrum of Cs Rydberg atoms. This model can reduce the basic Hamiltonian into such a Hamiltonian that includes only those Rydberg states that have direct dipole-allowed transitions with the target state, thereby significantly improving the speed of computation. The accuracy of the calculation is proved by fitting with the calculated frequency shift of DC Stark energy levels in the weak fields, and the polarizability of 60D5/2and 70D5/2Rydberg atomic states are obtained by fitting with the measured ion spectra of DC Stark Cs ultra-cold Rydberg atoms in magneto-optical trap. In addition, we calculate the AC Stark shift of Cs Rydberg atom
2024, 73(9): 094101.
doi:10.7498/aps.73.20231921
Abstract:
In this study, a T-shaped, four-period resonant slow-wave structure is optimally designed, and its high-frequency performance is comprehensively analyzed in theory. By using the image theory, the T-shaped waveguide unit is transformed into an equivalent ridge waveguide configuration. The high-frequency characteristics of the equivalent ridge waveguide, such as resonant frequency and structure of the T-shaped waveguide are analyzed by using equivalent circuit theory. The analysis has confirmed that in the ridge waveguide, starting from the second-highest order mode, the frequency points of the even-order modes are very consistent with those of the T-shaped waveguide; however, the odd-order modes have no such corresponding mode in the T-shaped waveguide, for they do not fulfill the electric boundary conditions required by the image method. On this basis, a T-shaped four-period resonant slow-wave structure is constructed, and its dispersion characteristics are analyzed to determine the resonant modes and frequencies, as well as the range of mode synchronization voltages. Simulations are subsequently performed to validate the effectiveness of the relativistic extended interaction radiation source, which includes the novel T-shaped periodic resonant slow-wave structure. Advanced three-dimensional particle simulations, in conjunction with optimization techniques show that a high-power microwave output at a frequency of 9.8 GHz, is achieved, which can delivers an average power of 71.4 MW. This output is attained under the conditions of a 448 kV beam voltage, 400 A beam current, and a 0.4 T uniform axial magnetic field, with an electron efficiency reaching 39.8%. This structure, characterized by the T-shaped waveguide, is demonstrated to be capable of producing high-efficiency, high-power microwaves with fewer periods, presenting a compact and efficient solution for generating high-power microwaves in advanced scientific applications.
In this study, a T-shaped, four-period resonant slow-wave structure is optimally designed, and its high-frequency performance is comprehensively analyzed in theory. By using the image theory, the T-shaped waveguide unit is transformed into an equivalent ridge waveguide configuration. The high-frequency characteristics of the equivalent ridge waveguide, such as resonant frequency and structure of the T-shaped waveguide are analyzed by using equivalent circuit theory. The analysis has confirmed that in the ridge waveguide, starting from the second-highest order mode, the frequency points of the even-order modes are very consistent with those of the T-shaped waveguide; however, the odd-order modes have no such corresponding mode in the T-shaped waveguide, for they do not fulfill the electric boundary conditions required by the image method. On this basis, a T-shaped four-period resonant slow-wave structure is constructed, and its dispersion characteristics are analyzed to determine the resonant modes and frequencies, as well as the range of mode synchronization voltages. Simulations are subsequently performed to validate the effectiveness of the relativistic extended interaction radiation source, which includes the novel T-shaped periodic resonant slow-wave structure. Advanced three-dimensional particle simulations, in conjunction with optimization techniques show that a high-power microwave output at a frequency of 9.8 GHz, is achieved, which can delivers an average power of 71.4 MW. This output is attained under the conditions of a 448 kV beam voltage, 400 A beam current, and a 0.4 T uniform axial magnetic field, with an electron efficiency reaching 39.8%. This structure, characterized by the T-shaped waveguide, is demonstrated to be capable of producing high-efficiency, high-power microwaves with fewer periods, presenting a compact and efficient solution for generating high-power microwaves in advanced scientific applications.
2024, 73(9): 094203.
doi:10.7498/aps.73.20231993
Abstract:
This paper proposes an underwater signal processing method based on the combination of variational mode decomposition (VMD) and independent component analysis (ICA). In this method, the VMD is used to decompose a set of echo signals into groups of eigenmodal signals arranged according to the order of their frequencies. These modal signals are then used as an observation matrix for ICA to ensure the integrity of the separated target echo signals. In this method, the correlation between the decomposed modal signals and the original signal is used to select the signals which are used as input matrix rows for ICA. The signal-to-clutter ratio is used to determine the number of decomposed layers. The ICA is used to separate the scattering and target echoes, so as to recover the weak target echoes in the strongly scattered water and greatly improve the ranging accuracy. A 532 nm intensity-modulated continuous wave (CW) laser is used in the underwater ranging experiments. The attenuation coefficient of the water is changed by adding Mg(OH)2, ranging experiments are carried out at different attenuation lengths. The experimental results show that the signal processing method can be used to successfully measure the target within 9 AL (attenuation length) when the laser output power is 2.3 W, and the ranging accuracy is improved from 16 cm to less than 5 cm by using the algorithm. The proposed method can be applied to underwater lidar application in turbid water and long distance ranging underwater where the scattering dominates the echoes.
This paper proposes an underwater signal processing method based on the combination of variational mode decomposition (VMD) and independent component analysis (ICA). In this method, the VMD is used to decompose a set of echo signals into groups of eigenmodal signals arranged according to the order of their frequencies. These modal signals are then used as an observation matrix for ICA to ensure the integrity of the separated target echo signals. In this method, the correlation between the decomposed modal signals and the original signal is used to select the signals which are used as input matrix rows for ICA. The signal-to-clutter ratio is used to determine the number of decomposed layers. The ICA is used to separate the scattering and target echoes, so as to recover the weak target echoes in the strongly scattered water and greatly improve the ranging accuracy. A 532 nm intensity-modulated continuous wave (CW) laser is used in the underwater ranging experiments. The attenuation coefficient of the water is changed by adding Mg(OH)2, ranging experiments are carried out at different attenuation lengths. The experimental results show that the signal processing method can be used to successfully measure the target within 9 AL (attenuation length) when the laser output power is 2.3 W, and the ranging accuracy is improved from 16 cm to less than 5 cm by using the algorithm. The proposed method can be applied to underwater lidar application in turbid water and long distance ranging underwater where the scattering dominates the echoes.
2024, 73(9): 094204.
doi:10.7498/aps.73.20240106
Abstract:
The iodine frequency stabilized 532 nm Nd:YAG laser plays an important role in realizing the reproduction unit of length “meter (m)”, absolute gravity measurement, gravitational waves detection, precision spectroscopy, distance metrology, etc. Absolute frequency measurement and calibration of the laser are of great significance for evaluating the performance of laser. The previous method of extending the erbium-doped fiber optical frequency comb (Er-FOFC) to the wavelength of 532 nm was to first amplify the seed light, then realize frequency-doubled with a periodic polarization lithium niobate crystal, and finally couple it into a photonic crystal fiber to expand the spectrum to the 532 nm band. With such a technique, the a signal-to-noise ratio (SNR) of the beat signal between the iodine-stabilized 532 nm Nd:YAG laser and the Er-FOFC was approximately 30 dB. Moreover, the SNR of the beat signal was unstable, resulting in the errors in frequency measurement with a counter. This is not conducive to the long-term frequency measurement of the iodine-stabilized 532 nm Nd:YAG laser. Therefore, a method that can obtain both high SNR and long-term stable beat signals is required. In this paper, an Er-FOFC is developed. The spectral enhancement of its broadening at 1 μm is carried out, and then expanded to the wavelength at 532 nm by using a frequency-doubling crystal. The output power of the Er-FOFC is 20 mW, which is first amplified to 370 mW by an Er-fiber amplifier and then compressed to a pulse width of 45.7 fs. Subsequently, the spectrum is extended to cover the wavelength at 1 μm with a highly nonlinear fiber, resulting in an output power of 180 mW. The broadened spectrum at 1 μm is amplified to 601 mW by a Yb-fiber amplifier, and the compressed power increases to 420 mW. Using an MgO:PPLN crystal, the compressed laser is frequency-doubled to produce a 532 nm laser output with 155 mW power and a doubling efficiency of 36%. Utilizing this system, the absolute frequency measurements are conducted on the fundamental frequency light at 1064 nm and the doubled frequency light at 532 nm from the iodine-stabilized 532 nm Nd:YAG laser, yielding a beat signal with an SNR of greater than 40 dB. This SNR represents a 13 dB improvement compared with the result obtained when an amplified seed light is frequency-doubled by using PPLN and then coupled into a PCF for direct spectral broadening to cover the 532 nm band. Over several days of continuous monitoring, there is no observed risk of SNR degradation. Moreover, subsequent frequency measurements are carried out continuously for over several hours, with the results maintaining consistency with recommended values.
The iodine frequency stabilized 532 nm Nd:YAG laser plays an important role in realizing the reproduction unit of length “meter (m)”, absolute gravity measurement, gravitational waves detection, precision spectroscopy, distance metrology, etc. Absolute frequency measurement and calibration of the laser are of great significance for evaluating the performance of laser. The previous method of extending the erbium-doped fiber optical frequency comb (Er-FOFC) to the wavelength of 532 nm was to first amplify the seed light, then realize frequency-doubled with a periodic polarization lithium niobate crystal, and finally couple it into a photonic crystal fiber to expand the spectrum to the 532 nm band. With such a technique, the a signal-to-noise ratio (SNR) of the beat signal between the iodine-stabilized 532 nm Nd:YAG laser and the Er-FOFC was approximately 30 dB. Moreover, the SNR of the beat signal was unstable, resulting in the errors in frequency measurement with a counter. This is not conducive to the long-term frequency measurement of the iodine-stabilized 532 nm Nd:YAG laser. Therefore, a method that can obtain both high SNR and long-term stable beat signals is required. In this paper, an Er-FOFC is developed. The spectral enhancement of its broadening at 1 μm is carried out, and then expanded to the wavelength at 532 nm by using a frequency-doubling crystal. The output power of the Er-FOFC is 20 mW, which is first amplified to 370 mW by an Er-fiber amplifier and then compressed to a pulse width of 45.7 fs. Subsequently, the spectrum is extended to cover the wavelength at 1 μm with a highly nonlinear fiber, resulting in an output power of 180 mW. The broadened spectrum at 1 μm is amplified to 601 mW by a Yb-fiber amplifier, and the compressed power increases to 420 mW. Using an MgO:PPLN crystal, the compressed laser is frequency-doubled to produce a 532 nm laser output with 155 mW power and a doubling efficiency of 36%. Utilizing this system, the absolute frequency measurements are conducted on the fundamental frequency light at 1064 nm and the doubled frequency light at 532 nm from the iodine-stabilized 532 nm Nd:YAG laser, yielding a beat signal with an SNR of greater than 40 dB. This SNR represents a 13 dB improvement compared with the result obtained when an amplified seed light is frequency-doubled by using PPLN and then coupled into a PCF for direct spectral broadening to cover the 532 nm band. Over several days of continuous monitoring, there is no observed risk of SNR degradation. Moreover, subsequent frequency measurements are carried out continuously for over several hours, with the results maintaining consistency with recommended values.
2024, 73(9): 094205.
doi:10.7498/aps.73.20232005
Abstract:
In this paper, the existence and transmission characteristics of gap vortex optical solitons in a honeycomb lattice are investigated based on the fractional nonlinear Schrödinger equation. Firstly, the band-gap structure of honeycomb lattice is obtained by the plane wave expansion method. Then the gap vortex soliton modes and their transmission properties in the fractional nonlinear Schrödinger equation with the honeycomb lattice potential are investigated by the modified squared-operator method, the split-step Fourier method and the Fourier collocation method, respectively. The results show that the transmission of gap vortex solitons is influenced by the
\begin{document}$ {\mathrm{L}}\acute{{\mathrm{e}}}{\mathrm{v}}{\mathrm{y}} $\end{document}
index and the propagation constant. The stable transmission region of gap vortex soliton can be obtained through power graphs. In the stable region, the gap vortex soliton can transmit stably without being disturbed. However, in the unstable region, the gap vortex soliton will gradually lose ring structure and evolves into a fundamental soliton with the transmission distance increasing. And the larger the
\begin{document}$ {\mathrm{L}}\acute{{\mathrm{e}}}{\mathrm{v}}{\mathrm{y}} $\end{document}
index, the longer the stable transmission distance and the lower the power of the bandgap vortex soliton. When multiple vortex solitons transmit in the lattice, the interaction between them is influenced by the lattice position and phase. Two vortex solitons that are in phase and located at adjacent lattices, are superimposed with sidelobe energy, while two vortex solitonsthat are out of phase are cancelled with sidelobe energy. These vortex solitons will gradually lose ring structure and evolve into dipole modes in the transmission process. And they are periodic rotation under the azimuth angle modulating. When two vortex solitons located at non-adjacent lattice, vortex solitons can maintain a ring-shaped structure due to the small influence of sidelobes. When three gap vortex solitons are located at non-adjacent lattices, the solitons can also maintain their ring-like structures. However, when there are more than three gap vortex solitons, the intensity distribution of vortex solitons are uneven due to the sidelobe energy superimposed. These vortex solitons will form dipole modes and rotate under the azimuthal angle modulating in the transmission process. These results can offer theoretical guidance for transmitting and controlling the gap vortex solitons in the lattice.
In this paper, the existence and transmission characteristics of gap vortex optical solitons in a honeycomb lattice are investigated based on the fractional nonlinear Schrödinger equation. Firstly, the band-gap structure of honeycomb lattice is obtained by the plane wave expansion method. Then the gap vortex soliton modes and their transmission properties in the fractional nonlinear Schrödinger equation with the honeycomb lattice potential are investigated by the modified squared-operator method, the split-step Fourier method and the Fourier collocation method, respectively. The results show that the transmission of gap vortex solitons is influenced by the
2024, 73(9): 094206.
doi:10.7498/aps.73.20231772
Abstract:
Optical phased array (OPA) technology, as a pivotal component of laser detection and ranging (LiDAR) systems, plays a crucial role in augmenting the application efficiency in fields such as autonomous driving, precision measurement, and remote sensing detection. With the escalating demands for high-resolution imaging, the array size of OPAs is continuously expanding, imposing higher requirements on the calibration precision and efficiency of the output beam. Existing calibration algorithms, such as the simultaneous perturbation stochastic gradient descent (SPGD) and the Gerchberg-Saxton (GS) algorithm, often face challenges of prolonging calibration times and insufficient precision when dealing with large-scale OPA systems.
In order to address this problem, our study introduces the Adam optimization algorithm, renowned for its adaptive learning rate feature, into the calibration process of OPA output beams. Through simulation modeling and experimental validation, this work comprehensively examines the differences in performance between the Adam algorithm and conventional SPGD and GS algorithms in beam calibration, especially under various OPA array configurations. For a 16×16 OPA array, the application of the Adam algorithm significantly enhances the peak side lobe ratio (PSLR) to over 15.98 dB, while notably reducing the number of iterations to less than 600, thereby shortening the calibration cycle and improving calibration precision effectively.
Furthermore, this work provides an in-depth analysis of parameter selection, convergence speed, and stability of the Adam algorithm in OPA calibration, offering detailed guidance for achieving more efficient and high-quality beam calibration. Through comparative analysis, this work not only demonstrates the substantial advantages of the Adam algorithm in enhancing OPA calibration efficiency, reducing calibration duration, and optimizing output beam quality but also emphasizes its critical role in advancing OPA technology.
The main contribution of this work lies in providing an innovative algorithmic approach for achieving efficient calibration of OPA output beams, which has important theoretical and practical significance for advancing the LiDAR technology, particularly in the field of high-precision beam control. Moreover, by applying optimized algorithms, this study not only improves the performance of OPA technology within existing domains but also paves new ways for its application in emerging fields such as optical communication, optical networking, and high-resolution imaging.
2024, 73(9): 094301.
doi:10.7498/aps.73.20231453
Abstract:
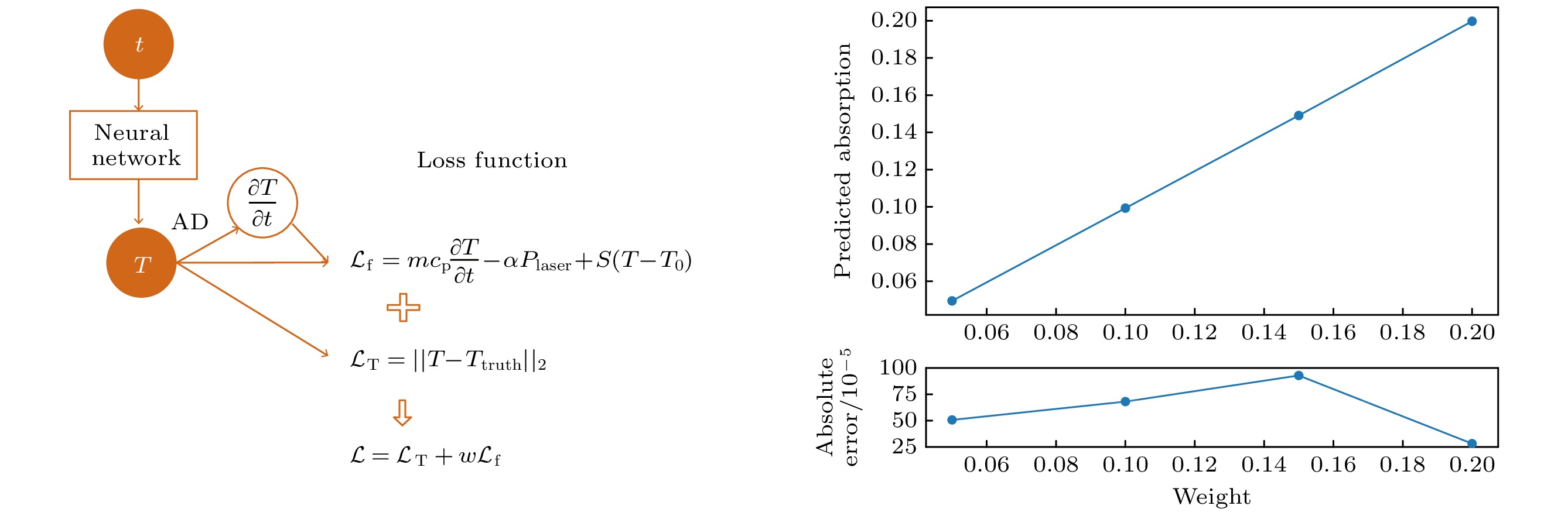
Characterizing the absorptivity of a rough metal surface is a difficult but important task. The uncertainty will be enlarged by using the indirect method, i.e. 1 – reflectance measurement. In contrast, the calorimetric method is of high fidelity. However, it is difficult to extract the absorptivity. The variation of temperature follows the heat conduction equation which is a differential equation. Therefore, a method based on physics-informed neural networks (PINNs) is proposed. In this method, the temperature rising curve is fitted to the differential equation by the neural network. The differential equation is incorporated into the network through the loss function. When the training is done, the absorptivity can be extracted. For demonstration, the numerical test and experimental test are performed. A set of temperature profiles with different absorptivity values is generated numerically. Then the absorptivity is extracted by PINN. The numerical results show that this method is able to determine the absorptivity and possesses the advantages of strong anti-interference capability and high accuracy. The maximum absolute error is 0.00092 in the range of 0.05 to 0.2. In the experiment, sand-blasted gold coated aluminum plates are used as the test objects, and they are heated by a continuous wave infrared laser. The temperature is measured by a K thermocouple. Then the absorptivity values of different samples are determined by the PINN, ranging from 2% to 10% because of the differences in roughness and electroplating process. The measurement repeatability is < 1%. The proposed method is very promising to become a powerful tool for measuring the absorptivity of rough metal surface.
Characterizing the absorptivity of a rough metal surface is a difficult but important task. The uncertainty will be enlarged by using the indirect method, i.e. 1 – reflectance measurement. In contrast, the calorimetric method is of high fidelity. However, it is difficult to extract the absorptivity. The variation of temperature follows the heat conduction equation which is a differential equation. Therefore, a method based on physics-informed neural networks (PINNs) is proposed. In this method, the temperature rising curve is fitted to the differential equation by the neural network. The differential equation is incorporated into the network through the loss function. When the training is done, the absorptivity can be extracted. For demonstration, the numerical test and experimental test are performed. A set of temperature profiles with different absorptivity values is generated numerically. Then the absorptivity is extracted by PINN. The numerical results show that this method is able to determine the absorptivity and possesses the advantages of strong anti-interference capability and high accuracy. The maximum absolute error is 0.00092 in the range of 0.05 to 0.2. In the experiment, sand-blasted gold coated aluminum plates are used as the test objects, and they are heated by a continuous wave infrared laser. The temperature is measured by a K thermocouple. Then the absorptivity values of different samples are determined by the PINN, ranging from 2% to 10% because of the differences in roughness and electroplating process. The measurement repeatability is < 1%. The proposed method is very promising to become a powerful tool for measuring the absorptivity of rough metal surface.
2024, 73(9): 094302.
doi:10.7498/aps.73.20231767
Abstract:
The polarization of the acoustic field in the ocean waveguide environment is a unique property that can be measured by using a particle velocity sensor in the water column. It can provide new ideas for locating and detecting the underwater target, so it is interesting to study the polarization. The polarization of a monochromatic signal has been described by the Stokes parameters, a set of four real-valued quantities in previous work. In this work, the Stokes parameters are extended to the broadband form, and the expression is simplified by using the nonstationary phase approximation, which reduces the complexity of the theoretical derivation and reveals the physical mechanism behind the significant variations in polarization with source depth and symmetrical depth. Theoretical analysis shows that the polarization characteristics in the ideal waveguide vary significantly in the sea surface, the sea bottom, the depth of the sound source and symmetrical depth. In this work the numerical simulation is used to verify the theoretical analysis and study the relationship between range and integral bandwidth when nonstationary phase approximation method is effective. The numerical results demonstrate that the simplified expression using the nonstationary phase approximation is effective and can better characterize the depth distribution characteristics of the polarization. Additionally, by normalizing the broadband Stokes parameters, the effect of range on the depth distribution characteristics of polarization can be removed. It means that the normalized broadband Stokes parameters are in theory free of the range and depend on the environment, the receiver depth and the source depth, which have the potential to be used for source depth estimation. Subsequently, focusing on normalized broadband Stokes parameters, we analyzes the effects of parameters such as source frequency, source depth, sound speed profile and water depth on the depth distribution characteristics of polarization. The analysis results show that environmental factors have great influence on the depth distribution characteristics of polarization. In the end, the validity of the nonstationary phase approximation and the range-independent property of the normalized broadband Stokes parameters are verified by the results of the RHUM-RUM experimental data processing. The findings provide a theoretical basis for passive target depth estimation based on polarization.
The polarization of the acoustic field in the ocean waveguide environment is a unique property that can be measured by using a particle velocity sensor in the water column. It can provide new ideas for locating and detecting the underwater target, so it is interesting to study the polarization. The polarization of a monochromatic signal has been described by the Stokes parameters, a set of four real-valued quantities in previous work. In this work, the Stokes parameters are extended to the broadband form, and the expression is simplified by using the nonstationary phase approximation, which reduces the complexity of the theoretical derivation and reveals the physical mechanism behind the significant variations in polarization with source depth and symmetrical depth. Theoretical analysis shows that the polarization characteristics in the ideal waveguide vary significantly in the sea surface, the sea bottom, the depth of the sound source and symmetrical depth. In this work the numerical simulation is used to verify the theoretical analysis and study the relationship between range and integral bandwidth when nonstationary phase approximation method is effective. The numerical results demonstrate that the simplified expression using the nonstationary phase approximation is effective and can better characterize the depth distribution characteristics of the polarization. Additionally, by normalizing the broadband Stokes parameters, the effect of range on the depth distribution characteristics of polarization can be removed. It means that the normalized broadband Stokes parameters are in theory free of the range and depend on the environment, the receiver depth and the source depth, which have the potential to be used for source depth estimation. Subsequently, focusing on normalized broadband Stokes parameters, we analyzes the effects of parameters such as source frequency, source depth, sound speed profile and water depth on the depth distribution characteristics of polarization. The analysis results show that environmental factors have great influence on the depth distribution characteristics of polarization. In the end, the validity of the nonstationary phase approximation and the range-independent property of the normalized broadband Stokes parameters are verified by the results of the RHUM-RUM experimental data processing. The findings provide a theoretical basis for passive target depth estimation based on polarization.
2024, 73(9): 094701.
doi:10.7498/aps.73.20240192
Abstract:
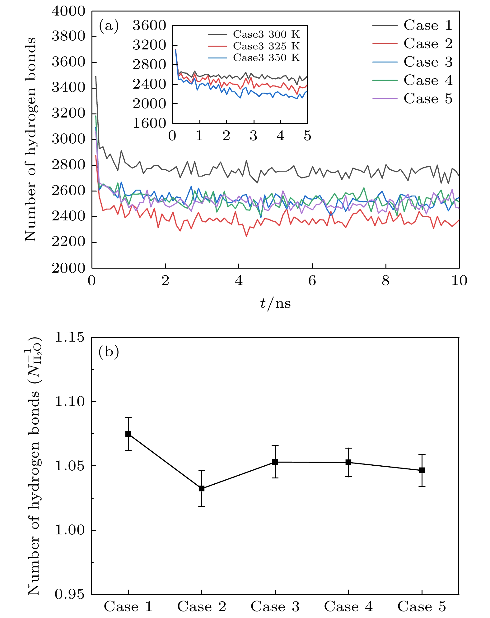
With the development of higher performance and miniaturization of electronic components, the flow heat transfer of working fluids in nanochannels has received more attention. To elucidate this phenomenon, molecular dynamics simulations are used to simulate the behaviors of fluids within nanochannels at temperatures of 300 K, 325 K, and 350 K. Water serves as a flow medium, with argon substituted for any non-condensable gases. In the flow process, argon atoms aggregate into clusters that are characterized by high potential energy. As the temperature rises, the concomitant increases in the fluid’s potential energy, which leads to the gradual diminution or complete dissipation of these clusters. A minor presence of gas atoms can facilitate fluid movement; however, an excess of argon promotes the formation of larger gaseous clusters in the central region of the channel, thereby impeding fluid flow. Concurrently, the application of heat to the fluid appreciably diminishes the coefficient of flow resistance. The temperature of the fluid in the near-wall region exceeds that of the central area. In the clusters, the atoms exhibit heightened activity, leading to an increase in the average molecular kinetic energy and a concomitant rise in temperature. The inherent hydrogen-bonding structure of water enhances heat transfer within the nanochannels. Argon atoms exert an influence on the number of hydrogen bonds, and rising temperatures disrupts the hydrogen-bond network established by water molecules, ultimately leading to a decrease of the Nusselt number. This investigation offers insights into the heat transfer dynamics of water molecular flow within microchannels under the perturbation of non-condensable gases, thereby furnishing theoretical guidance for enhancing heat transfer within electronic devices.
With the development of higher performance and miniaturization of electronic components, the flow heat transfer of working fluids in nanochannels has received more attention. To elucidate this phenomenon, molecular dynamics simulations are used to simulate the behaviors of fluids within nanochannels at temperatures of 300 K, 325 K, and 350 K. Water serves as a flow medium, with argon substituted for any non-condensable gases. In the flow process, argon atoms aggregate into clusters that are characterized by high potential energy. As the temperature rises, the concomitant increases in the fluid’s potential energy, which leads to the gradual diminution or complete dissipation of these clusters. A minor presence of gas atoms can facilitate fluid movement; however, an excess of argon promotes the formation of larger gaseous clusters in the central region of the channel, thereby impeding fluid flow. Concurrently, the application of heat to the fluid appreciably diminishes the coefficient of flow resistance. The temperature of the fluid in the near-wall region exceeds that of the central area. In the clusters, the atoms exhibit heightened activity, leading to an increase in the average molecular kinetic energy and a concomitant rise in temperature. The inherent hydrogen-bonding structure of water enhances heat transfer within the nanochannels. Argon atoms exert an influence on the number of hydrogen bonds, and rising temperatures disrupts the hydrogen-bond network established by water molecules, ultimately leading to a decrease of the Nusselt number. This investigation offers insights into the heat transfer dynamics of water molecular flow within microchannels under the perturbation of non-condensable gases, thereby furnishing theoretical guidance for enhancing heat transfer within electronic devices.
2024, 73(9): 094702.
doi:10.7498/aps.73.20240115
Abstract:
In the narrow orifice of a cone-shaped channel, blockage can occur for granular matter. However, water molecules can enter into and even permeate through carbon nanotubes of diameters down to 0.8 nm at ultrafast rates. Here we demonstrate by molecular dynamics simulations that clogging can also emerge unexpectedly in the water flowing through a nanoscale valve-less pump. The designed pump features two truncated carbon nanocones, with the narrowest region having a diameter of 1.2 nm (larger than that of (6, 6) carbon nanotube), linked to a fluid cavity volume, and is powered by the vibration of a graphene sheet. In the low frequency range, water molecules can be driven through the nanocones effectively by the vibration of the graphene sheet. The maximum flux reaches 83 ns–1, which is approximately 20 times the measured value of (3.9 ± 0.6) ns–1for aquaporin-1. However, at higher frequencies, water molecules suffer blockage at the narrow exits. Much unlike granular matter, high-frequency vibration cannot restore water flow. The key to this phenomenon is that in the narrow exits of two nanocones acting as diffuser/nozzle, the number density of water molecules rapidly increases with frequency increasing, the tight hydrogen-bonding network is formed, and the mean lifetime of hydrogen bonds increases dramatically under high-frequency vibrations. High frequency fluctuations in the middle chamber make H-bond network between water molecules in the narrow exits more stable. The probability density distribution of water exhibits a non-equilibrium transition from a disordered state to ordered state. This work reveals a new mechanism of water flowing/blocking in a nanoscale valve-less pump based on two asymmetrical nanocones, offers valuable insights into understanding nonequilibrium jamming transition in nanoscale fluid.
In the narrow orifice of a cone-shaped channel, blockage can occur for granular matter. However, water molecules can enter into and even permeate through carbon nanotubes of diameters down to 0.8 nm at ultrafast rates. Here we demonstrate by molecular dynamics simulations that clogging can also emerge unexpectedly in the water flowing through a nanoscale valve-less pump. The designed pump features two truncated carbon nanocones, with the narrowest region having a diameter of 1.2 nm (larger than that of (6, 6) carbon nanotube), linked to a fluid cavity volume, and is powered by the vibration of a graphene sheet. In the low frequency range, water molecules can be driven through the nanocones effectively by the vibration of the graphene sheet. The maximum flux reaches 83 ns–1, which is approximately 20 times the measured value of (3.9 ± 0.6) ns–1for aquaporin-1. However, at higher frequencies, water molecules suffer blockage at the narrow exits. Much unlike granular matter, high-frequency vibration cannot restore water flow. The key to this phenomenon is that in the narrow exits of two nanocones acting as diffuser/nozzle, the number density of water molecules rapidly increases with frequency increasing, the tight hydrogen-bonding network is formed, and the mean lifetime of hydrogen bonds increases dramatically under high-frequency vibrations. High frequency fluctuations in the middle chamber make H-bond network between water molecules in the narrow exits more stable. The probability density distribution of water exhibits a non-equilibrium transition from a disordered state to ordered state. This work reveals a new mechanism of water flowing/blocking in a nanoscale valve-less pump based on two asymmetrical nanocones, offers valuable insights into understanding nonequilibrium jamming transition in nanoscale fluid.
2024, 73(9): 094202.
doi:10.7498/aps.73.20231822
Abstract:
The degree of freedom of orbital angular momentum of light has been used as a new information carrier in optical holographic information processing technology. However, current research on orbital angular momentum holography mainly focuses on two-dimensional orbital angular momentum holography, where the reconstructed two-dimensional holographic image is located in a certain plane in three-dimensional space. How to further implement three-dimensional spatial orbital angular momentum holographic technology and use it to increase the information capacity of holographic communication is still a blank. Here, we implement three-dimensional spatial orbital angular momentum holographic technology based on the degrees of freedom of orbital angular momentum and the positional degrees of freedom of reconstructed two-dimensional images in three-dimensional space. In other words, in the three-dimensional spatial orbital angular momentum holography, the acquisition of the target object image requires not only the correct orbital angular momentum state used for decoding, but also the correct spatial position where the object’s image is detected. In addition, we further investigate the three-dimensional spatial orbit angular momentum holographic multiplexing technology and point out that this multiplexing technology can be used for information encryption. Compared with traditional two-dimensional orbital angular momentum holography, three-dimensional spatial orbital angular momentum holography uses an additional degree of freedom. Therefore, the encryption scheme based on three-dimensional spatial orbital angular momentum holographic technology can further improve the security level of information. Our simulation results and experimental results have verified the feasibility of three-dimensional spatial orbit angular momentum holographic technology and three-dimensional spatial orbit angular momentum holographic encryption technology.
The degree of freedom of orbital angular momentum of light has been used as a new information carrier in optical holographic information processing technology. However, current research on orbital angular momentum holography mainly focuses on two-dimensional orbital angular momentum holography, where the reconstructed two-dimensional holographic image is located in a certain plane in three-dimensional space. How to further implement three-dimensional spatial orbital angular momentum holographic technology and use it to increase the information capacity of holographic communication is still a blank. Here, we implement three-dimensional spatial orbital angular momentum holographic technology based on the degrees of freedom of orbital angular momentum and the positional degrees of freedom of reconstructed two-dimensional images in three-dimensional space. In other words, in the three-dimensional spatial orbital angular momentum holography, the acquisition of the target object image requires not only the correct orbital angular momentum state used for decoding, but also the correct spatial position where the object’s image is detected. In addition, we further investigate the three-dimensional spatial orbit angular momentum holographic multiplexing technology and point out that this multiplexing technology can be used for information encryption. Compared with traditional two-dimensional orbital angular momentum holography, three-dimensional spatial orbital angular momentum holography uses an additional degree of freedom. Therefore, the encryption scheme based on three-dimensional spatial orbital angular momentum holographic technology can further improve the security level of information. Our simulation results and experimental results have verified the feasibility of three-dimensional spatial orbit angular momentum holographic technology and three-dimensional spatial orbit angular momentum holographic encryption technology.
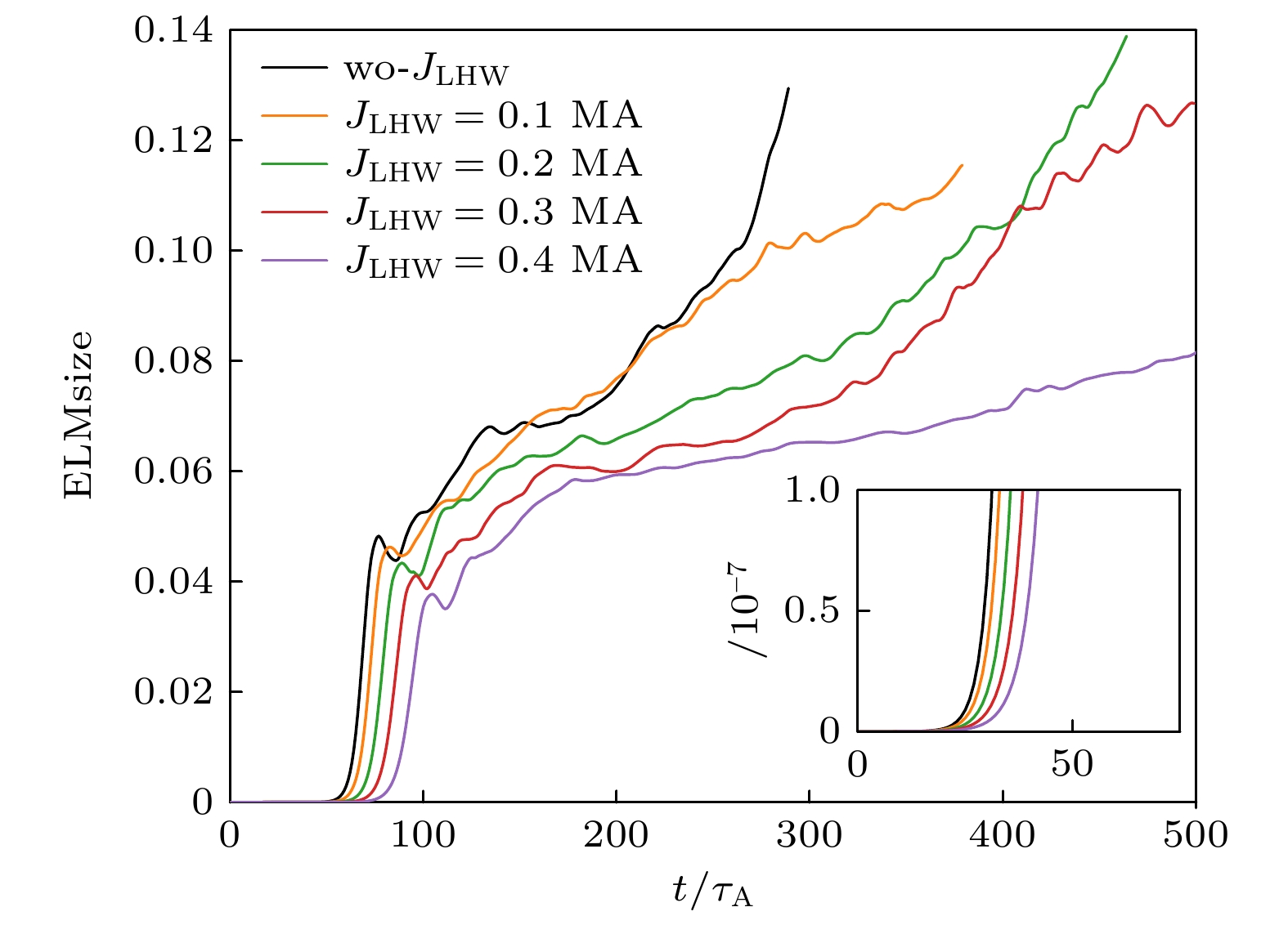
2024, 73(9): 095202.
doi:10.7498/aps.73.20231625
Abstract:
Based on the established two-dimensional asymmetric model of the interaction between a nanosecond pulse laser and metallic aluminum, the effect of beam shaping on the evaporation ablation dynamics during the ablation of metallic aluminum by a nanosecond pulse laser is simulated. The results show that plasma shielding, which has a significant influence on the ablation properties of the target, occurs mainly in the middle phase and late phase of the pulse. Among the three laser profiles, the Gaussian beam has the strongest shielding effect. As the diameter of the reshaped flat-top beam increases, the shielding effect gradually weakens. The two-dimensional spatial distribution of target temperature is relatively different between ablation by a Gaussian beam and that by a flat-top beam. For the Gaussian beam, the center of the target is first heated, and then the temperature spreads in radial direction and axial direction. For the flat-top beam, due to the uniform energy distribution, the target is heated within a certain radial range simultaneously. Beam shaping has a great influence on the evaporation ablation dynamics of the target. For the Gaussian beam, the center of the target is first ablated, followed by the radial ablation. For the flat-top beam, the evaporation time of the target surface is delayed due to the lower energy density after the beam has been shaped. In addition, the target evaporates simultaneously in a certain radial range due to the more uniform distribution of laser energy. For each of the three laser profiles, the evaporation morphology of the target resembles the intensity distribution of the laser beam. The crater produced by the Gaussian beam is deep in the center and shallow on both sides, while it becomes relatively flat by the flat-top beam.
Based on the established two-dimensional asymmetric model of the interaction between a nanosecond pulse laser and metallic aluminum, the effect of beam shaping on the evaporation ablation dynamics during the ablation of metallic aluminum by a nanosecond pulse laser is simulated. The results show that plasma shielding, which has a significant influence on the ablation properties of the target, occurs mainly in the middle phase and late phase of the pulse. Among the three laser profiles, the Gaussian beam has the strongest shielding effect. As the diameter of the reshaped flat-top beam increases, the shielding effect gradually weakens. The two-dimensional spatial distribution of target temperature is relatively different between ablation by a Gaussian beam and that by a flat-top beam. For the Gaussian beam, the center of the target is first heated, and then the temperature spreads in radial direction and axial direction. For the flat-top beam, due to the uniform energy distribution, the target is heated within a certain radial range simultaneously. Beam shaping has a great influence on the evaporation ablation dynamics of the target. For the Gaussian beam, the center of the target is first ablated, followed by the radial ablation. For the flat-top beam, the evaporation time of the target surface is delayed due to the lower energy density after the beam has been shaped. In addition, the target evaporates simultaneously in a certain radial range due to the more uniform distribution of laser energy. For each of the three laser profiles, the evaporation morphology of the target resembles the intensity distribution of the laser beam. The crater produced by the Gaussian beam is deep in the center and shallow on both sides, while it becomes relatively flat by the flat-top beam.
2024, 73(9): 095203.
doi:10.7498/aps.73.20240017
Abstract:
In magnetic field design principle of microwave discharge ion thruster, it is universally received that enlarging the magnetic mirror region can confine more electrons to acquire better energy utilization rate, while reducing the magnetic field diffusion region can prevent electrons from losing at wall to reduce the discharge loss. However, recently the integrated simulation proposes a hypothesis that electrons can also be heated in the magnetic field diffusion region when the Child-Langmuir sheath is considered as a constraint condition for electrons. Therefore, herein a magnetic field structure for the magnet array microwave discharge ion thruster is designed to verify the hypothesis, in which the magnetic field diffusion region is located near the screen grid. Then, an integrated simulation is conducted for studying the initial discharge and ion beam extraction stages of the thruster. The simulation results show that in the magnetic field diffusion region, the electron temperature is 4–8 eV when the grid system voltage is not applied, while the electron temperature is 4–12 eV when the the grid system voltage is applied. And the plasma density in the latter case has one order of magnitude higher than that in the former case. It means that electrons are obviously heated in the magnetic field diffusion region when they are confined among the Child-Langmuir sheath, the plasma sheath at antenna surface, and magnetic mirror. This electron heating mode produces more high-energy electrons outside the magnetic mirror region to generate plasma in front of the grid system, which can significantly increase the plasma density and ion beam current density. The result shows that under the conditions of 0.3 sccm (1 sccm = 1 mL/min) xenon gas flow, 1 W input microwave power, 300 V screen grid voltage and –50 V acceleration grid voltage, the ion beam current and its density are 0.47 mA and 0.60 mA/cm2for the magnet array microwave discharge ion thruster, while the ion beam current and its density are 1.2 mA and 0.38 mA/cm2for the 2-cm microwave discharge ion thruster. The ion beam current density increases by 57.9%. Through the integrated simulation, a new electron heating mode in the magnetic field diffusion region is proved theoretically, which provides a theoretical basis for the magnetic field structure optimization of microwave discharge ion thruster.
In magnetic field design principle of microwave discharge ion thruster, it is universally received that enlarging the magnetic mirror region can confine more electrons to acquire better energy utilization rate, while reducing the magnetic field diffusion region can prevent electrons from losing at wall to reduce the discharge loss. However, recently the integrated simulation proposes a hypothesis that electrons can also be heated in the magnetic field diffusion region when the Child-Langmuir sheath is considered as a constraint condition for electrons. Therefore, herein a magnetic field structure for the magnet array microwave discharge ion thruster is designed to verify the hypothesis, in which the magnetic field diffusion region is located near the screen grid. Then, an integrated simulation is conducted for studying the initial discharge and ion beam extraction stages of the thruster. The simulation results show that in the magnetic field diffusion region, the electron temperature is 4–8 eV when the grid system voltage is not applied, while the electron temperature is 4–12 eV when the the grid system voltage is applied. And the plasma density in the latter case has one order of magnitude higher than that in the former case. It means that electrons are obviously heated in the magnetic field diffusion region when they are confined among the Child-Langmuir sheath, the plasma sheath at antenna surface, and magnetic mirror. This electron heating mode produces more high-energy electrons outside the magnetic mirror region to generate plasma in front of the grid system, which can significantly increase the plasma density and ion beam current density. The result shows that under the conditions of 0.3 sccm (1 sccm = 1 mL/min) xenon gas flow, 1 W input microwave power, 300 V screen grid voltage and –50 V acceleration grid voltage, the ion beam current and its density are 0.47 mA and 0.60 mA/cm2for the magnet array microwave discharge ion thruster, while the ion beam current and its density are 1.2 mA and 0.38 mA/cm2for the 2-cm microwave discharge ion thruster. The ion beam current density increases by 57.9%. Through the integrated simulation, a new electron heating mode in the magnetic field diffusion region is proved theoretically, which provides a theoretical basis for the magnetic field structure optimization of microwave discharge ion thruster.
2024, 73(9): 095204.
doi:10.7498/aps.73.20240130
Abstract:
The high-confinement mode (H-mode) significantly enhances the energy and particle confinement in fusion plasma compared with the low-confinement mode (L-mode), and it is the basic operation scenario for ITER and CFETR. Edge localized mode (ELM) often appears in H-mode, helping to expel impurities to maintain a longer stable state. However, the particle burst and energy burst from ELM eruptions can severely damage the first wall of fusion device, so, it is necessary to control the ELM. Experiments on EAST tokamak and HL-2A tokamak have been conducted with ELM mitigation by lower hybrid wave (LHW), confirming the effect of LHW on ELMs, but the physical mechanism of ELM mitigation by LHW is still not fully understood. In this paper, the influences of LHW injection on the linear and nonlinear characteristics of peeling-ballooning mode (P-B mode) are investigated in the edge pedestal region of H-mode plasma in tokamak by using the BOUT++ code. The simulations take into consideration both the conventional main plasma current driven by LHW and the three-dimensional perturbed magnetic field generated by the scrape-off layer helical current filament (HCF) on the P-B mode. The linear results show that the core plasma current driven by LHW moves the linear toroidal mode spectrum towards higher mode numbers and lower growth rates by reducing the normalized pressure gradient and magnetic shear of the equilibrium. Nonlinear simulations indicate that due to the broadening of the linear mode spectrum, the core current driven by LHW can reduce the pedestal energy loss caused by ELM through globally suppressing different toroidal modes of the P-B mode, and the three-dimensional perturbed magnetic field generated by LHW-driven HCF can reduce the energy loss caused by ELMs through promoting the growth of modes other than the main mode and enhancing the coupling between different modes. It is found in the study that the P-B mode promoted by the three-dimensional perturbed magnetic field generated by HCF has a mode number threshold, and when the dominant mode of the P-B mode is far from the mode number threshold driven by the three-dimensional perturbed magnetic field, the energy loss due to ELMs is more significantly reduced. These results contribute to a more in-depth understanding of the physical mechanism in ELM control experiment by LHW.
The high-confinement mode (H-mode) significantly enhances the energy and particle confinement in fusion plasma compared with the low-confinement mode (L-mode), and it is the basic operation scenario for ITER and CFETR. Edge localized mode (ELM) often appears in H-mode, helping to expel impurities to maintain a longer stable state. However, the particle burst and energy burst from ELM eruptions can severely damage the first wall of fusion device, so, it is necessary to control the ELM. Experiments on EAST tokamak and HL-2A tokamak have been conducted with ELM mitigation by lower hybrid wave (LHW), confirming the effect of LHW on ELMs, but the physical mechanism of ELM mitigation by LHW is still not fully understood. In this paper, the influences of LHW injection on the linear and nonlinear characteristics of peeling-ballooning mode (P-B mode) are investigated in the edge pedestal region of H-mode plasma in tokamak by using the BOUT++ code. The simulations take into consideration both the conventional main plasma current driven by LHW and the three-dimensional perturbed magnetic field generated by the scrape-off layer helical current filament (HCF) on the P-B mode. The linear results show that the core plasma current driven by LHW moves the linear toroidal mode spectrum towards higher mode numbers and lower growth rates by reducing the normalized pressure gradient and magnetic shear of the equilibrium. Nonlinear simulations indicate that due to the broadening of the linear mode spectrum, the core current driven by LHW can reduce the pedestal energy loss caused by ELM through globally suppressing different toroidal modes of the P-B mode, and the three-dimensional perturbed magnetic field generated by LHW-driven HCF can reduce the energy loss caused by ELMs through promoting the growth of modes other than the main mode and enhancing the coupling between different modes. It is found in the study that the P-B mode promoted by the three-dimensional perturbed magnetic field generated by HCF has a mode number threshold, and when the dominant mode of the P-B mode is far from the mode number threshold driven by the three-dimensional perturbed magnetic field, the energy loss due to ELMs is more significantly reduced. These results contribute to a more in-depth understanding of the physical mechanism in ELM control experiment by LHW.
2024, 73(9): 096101.
doi:10.7498/aps.73.20231927
Abstract:
In a two-dimensional boron structure, the ordered high-concentration vacancy distribution can enhance structural stability and significantly modulates material properties. Based on recent experimental progress, herein we particularly focus on the two-dimensional boron structures with a striped distribution of hexagonal vacancies, in order to explore the formation of long-period boron structures.
Utilizing the structures of alloy generation and recognition (SAGAR) program developed by our group, we eliminate duplicate structures according to the structural symmetry to reduce computational cost. An effective model system is proposed to investigate the effect of vacancy distribution on the stability of the system, where the interactions between vacancies are utilized for estimating the total energy. By selecting structures with appropriate concentrations and combining first-principles calculations, the parameters in the model are fitted for different vacancy neighbor interactions, which can be further used to predict stable structures at various vacancy concentrations. The feasibility of model analysis is emphasized for structural screening, showing the good agreement between the parameterized model and the first-principles calculations.
Interestingly, under the same vacancy concentration, stable boron structures with different cell sizes exhibit distinct vacancy distributions, indicating a trend of long-period distribution for ground state structures. To address this phenomenon, when the stable candidate structures from the 1/6 series are dominant in number within the computable range and the changes in neighbor statistics can be clearly seen, we select the structures from this concentration series for detailed calculations.
The calculation results indicate that the convergence of the average energy is primarily influenced by the interaction between the fourth nearest neighbor and the sixth nearest neighbor. When considering only these two neighbors, the system energy changes with the increase of cell size as follows: the average energy of structures with a cell size being an even multiple of the minimum cell size keeps unchanged, while the average energy of structure with a cell size being an odd multiple of the minimum cell size gradually decreases, eventually converging to a stable value. When including the interactions between the ninth nearest neighbor and the tenth nearest neighbor, the average energy of structures with a cell size being an even times the minimum cell size also decreases gradually. The average energy decreases with oscillations, with the magnitude gradually diminishing and eventually stabilizing. This discovery reveals that the enhanced stability of long-period structures is attributed to the competitive interactions among different neighboring vacancies.
2024, 73(9): 096801.
doi:10.7498/aps.73.20240247
Abstract:
All-inorganic cesium lead halide perovskites have shown great potential applications in optoelectronic field due to their fascinating optical properties. Although perovskite materials have achieved great success in various fields, their inherent ionic properties and high dynamic surface properties have led to their poor stability, hindering their applications. The preparation of CsPbBr3-Cs4PbBr6nanocrystals has proven to be an effective strategy to enhance their photoluminescence properties and stability. Herein, we report an easy synthesis of CsPbBr3-Cs4PbBr6nanocrystals with a diphase structure at room temperature by using Cs-OA, Pb-OA and TOABr as precursors in toluene. It is found that the phase transformation and the relative composition between CsPbBr3and Cs4PbBr6are dependent on the concentration of TOABr and the ratio of Cs/Pb. Thein-situPL experiments reveal that the formation of ~12 nm CsPbBr3nanocubes experiences the fast nucleation, the focusing growth of size-distribution in early growth stage and Ostwald ripening growth in the later stage at a TOABr concentration of 0.16 mmol. With the increase of concentration of TOABr or molar ratio of Cs/Pb > 1 (Cs/Pb < 1), [PbBr4]2–complex and [PbBr3]–complex can coexist and compete with each other in toluene, and the CsPbBr3nucleations dominate in the early stage, then CsPbBr3-Cs4PbBr6nanocomposites are gradually formed on CsPbBr3nucleations as photoluminescence centers due to the continuous generation of [PbBr4]2–complex between TOABr and Pb2+. The relative composition of Cs4PbBr6in CsPbBr3-Cs4PbBr6nanocomposites can be improved from 4% to 85% with the concentration of TOABr increasing or Cs/Pb < 1. The optimized CsPbBr3-Cs4PbBr6composite nanocrystals possess high PLQY and stability. Our work provides an understanding of the mechanism of phase transformation in cesium lead halide perovskite materials.
All-inorganic cesium lead halide perovskites have shown great potential applications in optoelectronic field due to their fascinating optical properties. Although perovskite materials have achieved great success in various fields, their inherent ionic properties and high dynamic surface properties have led to their poor stability, hindering their applications. The preparation of CsPbBr3-Cs4PbBr6nanocrystals has proven to be an effective strategy to enhance their photoluminescence properties and stability. Herein, we report an easy synthesis of CsPbBr3-Cs4PbBr6nanocrystals with a diphase structure at room temperature by using Cs-OA, Pb-OA and TOABr as precursors in toluene. It is found that the phase transformation and the relative composition between CsPbBr3and Cs4PbBr6are dependent on the concentration of TOABr and the ratio of Cs/Pb. Thein-situPL experiments reveal that the formation of ~12 nm CsPbBr3nanocubes experiences the fast nucleation, the focusing growth of size-distribution in early growth stage and Ostwald ripening growth in the later stage at a TOABr concentration of 0.16 mmol. With the increase of concentration of TOABr or molar ratio of Cs/Pb > 1 (Cs/Pb < 1), [PbBr4]2–complex and [PbBr3]–complex can coexist and compete with each other in toluene, and the CsPbBr3nucleations dominate in the early stage, then CsPbBr3-Cs4PbBr6nanocomposites are gradually formed on CsPbBr3nucleations as photoluminescence centers due to the continuous generation of [PbBr4]2–complex between TOABr and Pb2+. The relative composition of Cs4PbBr6in CsPbBr3-Cs4PbBr6nanocomposites can be improved from 4% to 85% with the concentration of TOABr increasing or Cs/Pb < 1. The optimized CsPbBr3-Cs4PbBr6composite nanocrystals possess high PLQY and stability. Our work provides an understanding of the mechanism of phase transformation in cesium lead halide perovskite materials.
2024, 73(9): 096802.
doi:10.7498/aps.73.20240082
Abstract:
Indium oxide (In2O3) thin films and thin-film transistors (TFTs) based on the solution process are prepared by pulsed UV-assisted thermal annealing at a low temperature (200 ℃) for 5 min. The effects of pulsed UV-assisted thermal annealing on the surface morphology, chemical structure, and electrical properties of the In2O3thin films are investigated, and they are compared with those of conventional thermal annealing (300 ℃, 30 min). The experimental results show that the pulsed UV-assisted thermal annealing method can improve the quality of In2O3thin film and the performance of TFT in a short period. The results of atomic force microscopy and field emission scanning electron microscopy show that the surface of the In2O3film is denser and flatter than that of the conventional thermally annealed film, and X-ray photoelectron spectroscopy tests show that the pulsed UV-assisted thermal annealing process generates oxygen vacancies, which increases the carrier concentration and improves the electrical conductivity of the In2O3film. In addition, the effect of pulsed UV-assisted thermal annealing on the electrical characteristics of In2O3TFTs is investigated in a comparative way. The results show that the electrical characteristics of the device are significantly improved: the subthreshold swing decreases to 0.12 mV/dec, the threshold voltage is 7.4 V, the current switching ratio is as high as 1.29×107, and the field effect mobility is enhanced to 1.27 cm2·V–1·s–1. Therefore, pulsed UV-assisted thermal annealing is a simple and fast annealing method, which can rapidly improve the performances of In2O3thin film and TFTs, even under low-temperature conditions.
Indium oxide (In2O3) thin films and thin-film transistors (TFTs) based on the solution process are prepared by pulsed UV-assisted thermal annealing at a low temperature (200 ℃) for 5 min. The effects of pulsed UV-assisted thermal annealing on the surface morphology, chemical structure, and electrical properties of the In2O3thin films are investigated, and they are compared with those of conventional thermal annealing (300 ℃, 30 min). The experimental results show that the pulsed UV-assisted thermal annealing method can improve the quality of In2O3thin film and the performance of TFT in a short period. The results of atomic force microscopy and field emission scanning electron microscopy show that the surface of the In2O3film is denser and flatter than that of the conventional thermally annealed film, and X-ray photoelectron spectroscopy tests show that the pulsed UV-assisted thermal annealing process generates oxygen vacancies, which increases the carrier concentration and improves the electrical conductivity of the In2O3film. In addition, the effect of pulsed UV-assisted thermal annealing on the electrical characteristics of In2O3TFTs is investigated in a comparative way. The results show that the electrical characteristics of the device are significantly improved: the subthreshold swing decreases to 0.12 mV/dec, the threshold voltage is 7.4 V, the current switching ratio is as high as 1.29×107, and the field effect mobility is enhanced to 1.27 cm2·V–1·s–1. Therefore, pulsed UV-assisted thermal annealing is a simple and fast annealing method, which can rapidly improve the performances of In2O3thin film and TFTs, even under low-temperature conditions.
2024, 73(9): 097101.
doi:10.7498/aps.73.20240098
Abstract:
Bi2Te3-based compounds are thermoelectric materials with the best performance near room temperature. The existence of a large number of complex defects makes defect engineering a core stratagem for adjusting and improving the thermoelectric performance. Therefore, understanding and effectively controlling the existence form and concentration of defects is crucial for achieving high-thermoelectric performance in Bi2Te3-based alloy. Herein, a series of Cl doped n-type quaternary Bi2–xSbxTe3–ySeycompounds is synthesized by the zone-melting method. The correlation between defect evolution process and thermoelectric performance is systematically investigated by first-principles calculation and experiments. Alloying Sb on Bi site and Se on Te site induce charged structural defects, leading to a significant change in the carrier concentration. For Bi2–xSbxTe2.994Cl0.006compounds, alloying Sb on Bi site reduces the formation energy of the
\begin{document}${\mathrm{S}}{{\text{b}}_{{\mathrm{Te}}}}_{_2}$\end{document}
antisite defect, which generates the antisite defect
\begin{document}${\mathrm{S}}{{\text{b}}_{{\mathrm{Te}}}}_{_2}$\end{document}
and accompanied with the increase of the minority carrier concentration from 2.09×1016to 3.99×1017cm–3. The increase of the minority carrier severely deteriorates the electrical transport properties. In contrast, alloying Se in the Bi1.8Sb0.2Te2.994–ySeyCl0.006compound significantly lowers the formation energy of the complex defect
\begin{document}${\mathrm{S}}{{\mathrm{e}}_{{\mathrm{Te}}}}$\end{document}
+
\begin{document}${\mathrm{S}}{{\mathrm{b}}_{{\mathrm{Bi}}}}$\end{document}
, which becomes more energetically favorable and suppresses the formation of the antisite defect
\begin{document}${\mathrm{S}}{{\text{b}}_{{\mathrm{Te}}}}_{_2}$\end{document}
. As a result, the concentration of minority carriers decreases to 1.46×1016cm–3. This eliminates the deterioration effect of the minority carrier on the electrical transport properties of the material and greatly improves the power factor. A maximum power factor of 4.49 mW/(m·K2) is achieved for Bi1.8Sb0.2Te2.944Se0.05Cl0.006compound at room temperature. By reducing thermal conductivity through intensifying the phonon scattering via alloying Sb and Se, the maximumZTvalue of 0.98 is attained for Bi1.8Sb0.2Te2.844Se0.15Cl0.006compound at room temperature. Our finding provides an important guidance for adjusting point defects, carrier concentrations, and thermoelectric performances in Bi2Te3-based compounds with complex compositions.
Bi2Te3-based compounds are thermoelectric materials with the best performance near room temperature. The existence of a large number of complex defects makes defect engineering a core stratagem for adjusting and improving the thermoelectric performance. Therefore, understanding and effectively controlling the existence form and concentration of defects is crucial for achieving high-thermoelectric performance in Bi2Te3-based alloy. Herein, a series of Cl doped n-type quaternary Bi2–xSbxTe3–ySeycompounds is synthesized by the zone-melting method. The correlation between defect evolution process and thermoelectric performance is systematically investigated by first-principles calculation and experiments. Alloying Sb on Bi site and Se on Te site induce charged structural defects, leading to a significant change in the carrier concentration. For Bi2–xSbxTe2.994Cl0.006compounds, alloying Sb on Bi site reduces the formation energy of the
2024, 73(9): 097102.
doi:10.7498/aps.73.20232040
Abstract:
In this work, we use the rapid solidification technique to prepare five kinds of metallic glasses with different Gd content, and investigate in depth the influences of Gd content on the amorphous formation capability, thermal stability, and magnetic properties of (Fe73B22Nb5)100–xGdx(x= 0, 0.5, 1.0, 1.5, 2.0) alloys. By comparing the microstructural morphology and solute distribution of oxidation products before adding Gd and those after adding Gd, the amorphous oxidation mechanism is analyzed systematically. With the addition of Gd, the atomic size difference of the alloys exceeds 13%, and the configuration entropy increases from 7.27 kJ/(mol·K) to 9.44 kJ/(mol·K). The glass-forming ability of the alloy is significantly improved. The increase of Gd content can increase the glass transition temperature of the alloy to 864 K, and the undercooled liquid region can reach 73 K, significantly enhancing the thermal stability of the metallic glasses. The Gd limits the local anisotropy of the alloy and reduces the density of quasi-dislocation dipole defects. This can effectively reduce the pinning sites that hinder the rotation of magnetic domain walls, thereby improving the soft magnetic property. By comparing with the metallic glasses without Gd, only 2% (atomic percentage) Gd can reduce the coercivity by 8%. Moreover, the Gd makes the metallic glasses more sensitive to temperature variation in the oxidation process, and the temperature of the maximum oxidation rate is reduced by 15 K. However, their antioxidant performance does not deteriorate. The Gd atoms are influenced by binding energy and migrate to the surface, forming Gd-rich oxides. They fill surface defects and occupy a large part of the top space, leading to the structure becoming more compact near the surface. This structure reduces the channels for oxygen atoms to diffuse through the microstructure interface, which helps to improve antioxidant capability. This work provides a new approach for designing high performance Fe-based metallic glasses.
In this work, we use the rapid solidification technique to prepare five kinds of metallic glasses with different Gd content, and investigate in depth the influences of Gd content on the amorphous formation capability, thermal stability, and magnetic properties of (Fe73B22Nb5)100–xGdx(x= 0, 0.5, 1.0, 1.5, 2.0) alloys. By comparing the microstructural morphology and solute distribution of oxidation products before adding Gd and those after adding Gd, the amorphous oxidation mechanism is analyzed systematically. With the addition of Gd, the atomic size difference of the alloys exceeds 13%, and the configuration entropy increases from 7.27 kJ/(mol·K) to 9.44 kJ/(mol·K). The glass-forming ability of the alloy is significantly improved. The increase of Gd content can increase the glass transition temperature of the alloy to 864 K, and the undercooled liquid region can reach 73 K, significantly enhancing the thermal stability of the metallic glasses. The Gd limits the local anisotropy of the alloy and reduces the density of quasi-dislocation dipole defects. This can effectively reduce the pinning sites that hinder the rotation of magnetic domain walls, thereby improving the soft magnetic property. By comparing with the metallic glasses without Gd, only 2% (atomic percentage) Gd can reduce the coercivity by 8%. Moreover, the Gd makes the metallic glasses more sensitive to temperature variation in the oxidation process, and the temperature of the maximum oxidation rate is reduced by 15 K. However, their antioxidant performance does not deteriorate. The Gd atoms are influenced by binding energy and migrate to the surface, forming Gd-rich oxides. They fill surface defects and occupy a large part of the top space, leading to the structure becoming more compact near the surface. This structure reduces the channels for oxygen atoms to diffuse through the microstructure interface, which helps to improve antioxidant capability. This work provides a new approach for designing high performance Fe-based metallic glasses.
2024, 73(9): 097801.
doi:10.7498/aps.73.20240012
Abstract:
It is noteworthy that since 2010, the number of published and cited scientific papers on optical thermometry has increased exponentially. Optical thermometry technology is about to make a significant process in sensing, therapy, diagnosis, and imaging. The current research mainly focuses on optical thermometry that is developing towards high-sensitivity thermometry. In this work, a new thermometry strategy is proposed based on the different temperature-dependent behaviors between the host ions and the doped ions. Firstly, YVO4:xPr3+(x= 0%–1.5%) phosphors are successfully synthesized by the solid-state method. Then, the structure and luminescence properties of the samples are characterized by X-ray diffraction (XRD), scanning electron microscope (SEM) and fluorescence spectrophotometer. The XRD results show that Pr3+ions are successfully incorporated into the YVO4host, and the sample has a tetragonal phase crystal structure with space groupI41/amd. The SEM results show that the samples are rectangular-shaped micron particles with smooth surfaces, and the average grain size is about 2.1 μm. Under the excitation of 320 nm, the sample mainly exhibits broadband blue emission around 440 nm and red emission at 606 nm, which are attributed to the charge transfer transition of
\begin{document}${\text{VO}}_4^{3 - }$\end{document}
and the1D2→3H4transition of Pr3+, respectively. The relationship between the luminescence of the sample and the concentration of Pr3+is studied. It is found that the optimal doping concentration of Pr3+is 0.5%, and a higher doping concentration will cause concentration to be quenched. The reason for quenching concentration is the electric dipole-quadrupole interaction. The luminescence peak position of the temperature-dependent spectrum of YVO4:0.5%Pr3+is consistent with that at room temperature. As the temperature increases, the total luminescence intensity gradually decreases, which is caused by thermal quenching, and the mechanism of thermal quenching is analyzed. Since the temperature-dependent behaviors of luminescence of
\begin{document}${\text{VO}}_4^{3 - }$\end{document}
and Pr3+are significantly different from each other, a new fluorescence intensity ratio thermometry strategy is realized. Temperatures range is 303–353 K, and the maximum absolute sensitivity and relative sensitivity are 0.651 K–1and 3.112×10–2K–1at 353 K, respectively, much higher than the traditional thermally coupled level thermometry strategy. In addition, there is no obvious overlap between the emission peaks of
\begin{document}${\text{VO}}_4^{3 - }$\end{document}
and Pr3+, which provides a good discrimination capability for signal detection. The above results show that this work provides a promising path for designing self-reference optical thermometry materials with excellent temperature sensitivity and signal discrimination.
It is noteworthy that since 2010, the number of published and cited scientific papers on optical thermometry has increased exponentially. Optical thermometry technology is about to make a significant process in sensing, therapy, diagnosis, and imaging. The current research mainly focuses on optical thermometry that is developing towards high-sensitivity thermometry. In this work, a new thermometry strategy is proposed based on the different temperature-dependent behaviors between the host ions and the doped ions. Firstly, YVO4:xPr3+(x= 0%–1.5%) phosphors are successfully synthesized by the solid-state method. Then, the structure and luminescence properties of the samples are characterized by X-ray diffraction (XRD), scanning electron microscope (SEM) and fluorescence spectrophotometer. The XRD results show that Pr3+ions are successfully incorporated into the YVO4host, and the sample has a tetragonal phase crystal structure with space groupI41/amd. The SEM results show that the samples are rectangular-shaped micron particles with smooth surfaces, and the average grain size is about 2.1 μm. Under the excitation of 320 nm, the sample mainly exhibits broadband blue emission around 440 nm and red emission at 606 nm, which are attributed to the charge transfer transition of
2024, 73(9): 098201.
doi:10.7498/aps.73.20231832
Abstract:
In recent decades, significant progress has been made in the precise theoretical investigation of gas-phase chemical reactions. Presently, a major challenge in the field of quantum dynamics is to develop the precise methodologies for studying chemical reactions involving more than four atoms. As a typical multi-atomic reaction system, the F+CH4reaction and its isotopic substitution reactions have attracted widespread attention from both experimental and theoretical perspectives in recent years. Experimental studies on the reaction of F+CHD3have revealed that the stretching vibration excitation of the C—H bond inhibits the bond dissociation, favoring the formation of DF+CHD2product channels. In this study, we use a seven-dimensional quantum time-dependent wave packet method to investigate the dynamics of the F+CHD3reaction in both the reactant vibrational ground state and the first stretching excited state of the C—H bond. In this work, the reaction probabilities under different vibrational conditions are analyzed, showing that when the collision energy is below 0.06 eV, the reaction probability curves exhibit numerous fast-oscillating peaks, supporting the experimentally suggested phenomena of dynamic resonance. In a collision energy range from 0.06 eV to 0.3 eV, the reaction probability for the HF product channel in the vibrational excited state is lower than that in the ground state, which is consistent with experimental observation. Through the analysis of the time-independent wave functions of product channels under low-energy collision conditions, it is found that for reactions involving vibrational ground states, the HF products in the product asymptotic region and the reaction transition state region are in thev'= 2 excited state andv'= 3 excited state of stretching vibration, respectively, which are consistent with previous experimental observations and six-dimensional quantum wave packet simulations. For reactions involving the first excited state of C—H stretching vibration, the HF products in the product asymptotic region and the reaction transition state region are both in thev'= 3 excited state of stretching vibration, which are consistent with the results obtained based on energy analysis. Simulation results indicate that in the case of low-energy collisions, the time-independent wave function for the C—H stretching vibrational excited state tends to be closer to the D atom side in the transition state region. This phenomenon is attributed to the more significant energy advantage of the vibrational excited state potential energy surface in the large collision angle region, explaining the inhibitory effect of stretching vibration excitation on the HF product channel. This study offers important theoretical support for explaining experimental results and contributes to a more in-depth understanding of the influence of vibrational mode excitations on the dynamical processes in poly-atomic reactions.
In recent decades, significant progress has been made in the precise theoretical investigation of gas-phase chemical reactions. Presently, a major challenge in the field of quantum dynamics is to develop the precise methodologies for studying chemical reactions involving more than four atoms. As a typical multi-atomic reaction system, the F+CH4reaction and its isotopic substitution reactions have attracted widespread attention from both experimental and theoretical perspectives in recent years. Experimental studies on the reaction of F+CHD3have revealed that the stretching vibration excitation of the C—H bond inhibits the bond dissociation, favoring the formation of DF+CHD2product channels. In this study, we use a seven-dimensional quantum time-dependent wave packet method to investigate the dynamics of the F+CHD3reaction in both the reactant vibrational ground state and the first stretching excited state of the C—H bond. In this work, the reaction probabilities under different vibrational conditions are analyzed, showing that when the collision energy is below 0.06 eV, the reaction probability curves exhibit numerous fast-oscillating peaks, supporting the experimentally suggested phenomena of dynamic resonance. In a collision energy range from 0.06 eV to 0.3 eV, the reaction probability for the HF product channel in the vibrational excited state is lower than that in the ground state, which is consistent with experimental observation. Through the analysis of the time-independent wave functions of product channels under low-energy collision conditions, it is found that for reactions involving vibrational ground states, the HF products in the product asymptotic region and the reaction transition state region are in thev'= 2 excited state andv'= 3 excited state of stretching vibration, respectively, which are consistent with previous experimental observations and six-dimensional quantum wave packet simulations. For reactions involving the first excited state of C—H stretching vibration, the HF products in the product asymptotic region and the reaction transition state region are both in thev'= 3 excited state of stretching vibration, which are consistent with the results obtained based on energy analysis. Simulation results indicate that in the case of low-energy collisions, the time-independent wave function for the C—H stretching vibrational excited state tends to be closer to the D atom side in the transition state region. This phenomenon is attributed to the more significant energy advantage of the vibrational excited state potential energy surface in the large collision angle region, explaining the inhibitory effect of stretching vibration excitation on the HF product channel. This study offers important theoretical support for explaining experimental results and contributes to a more in-depth understanding of the influence of vibrational mode excitations on the dynamical processes in poly-atomic reactions.
2024, 73(9): 098501.
doi:10.7498/aps.73.20240186
Abstract:
The performance of gallium oxide (Ga2O3) thin film detector based on metal-semiconductor-metal (MSM) is highly dependent on the uniformity of the Ga2O3thin film, and the manufacturing process is quite sophisticated, which poses a challenge for the scale-up and mass production of thin film photodetectors. In this work, an MSM Ga2O3thin film solar-blind photodetector with five-finger interdigital electrodes is fabricated by physically depositing Ga2O3thin film on the surface of a mass-produced cantilevered thin film chip. Through the microelectromechanical system (MEMS) process, the cantilever electrode structure is prepared, which protects the internal circuit and the integrity of the thin film. The Ga2O3thin film treated by argon plasma at a low temperature is amorphous, but the photodetector still possesses considerable ultraviolet detection performance. At a bias voltage of 18 V, it approaches the detection performance of crystalline Ga2O3thin film, with a detectivity of 7.9×1010Jones, an external quantum efficiency of 1779%, rise time and decay time of 1.22 s and 0.24 s, respectively. Moreover, a system of arc detection is built in outdoor environments. Without any optical focusing system, this photodetector achieves sensitive detection of pulsed arc in an outdoor sunlight environments. For pulsed arcs with an output voltage of 100 kV, the photodetector is capable of sensitive detection at a distance of 25 cm. Besides, the maximum detection distance of 155 cm indicates that the photodetector will have a favorable potential application value in the field of solar-blind detection. This work develops a sensitive functional thin film deposition technology based on the cantilever electrode structure fabricated by the MEMS process, which avoids the influence of the large-area uniformity of the functional thin film on the etching circuit. It provides a new technical approach and process route for preparing MSM photodetectors.
The performance of gallium oxide (Ga2O3) thin film detector based on metal-semiconductor-metal (MSM) is highly dependent on the uniformity of the Ga2O3thin film, and the manufacturing process is quite sophisticated, which poses a challenge for the scale-up and mass production of thin film photodetectors. In this work, an MSM Ga2O3thin film solar-blind photodetector with five-finger interdigital electrodes is fabricated by physically depositing Ga2O3thin film on the surface of a mass-produced cantilevered thin film chip. Through the microelectromechanical system (MEMS) process, the cantilever electrode structure is prepared, which protects the internal circuit and the integrity of the thin film. The Ga2O3thin film treated by argon plasma at a low temperature is amorphous, but the photodetector still possesses considerable ultraviolet detection performance. At a bias voltage of 18 V, it approaches the detection performance of crystalline Ga2O3thin film, with a detectivity of 7.9×1010Jones, an external quantum efficiency of 1779%, rise time and decay time of 1.22 s and 0.24 s, respectively. Moreover, a system of arc detection is built in outdoor environments. Without any optical focusing system, this photodetector achieves sensitive detection of pulsed arc in an outdoor sunlight environments. For pulsed arcs with an output voltage of 100 kV, the photodetector is capable of sensitive detection at a distance of 25 cm. Besides, the maximum detection distance of 155 cm indicates that the photodetector will have a favorable potential application value in the field of solar-blind detection. This work develops a sensitive functional thin film deposition technology based on the cantilever electrode structure fabricated by the MEMS process, which avoids the influence of the large-area uniformity of the functional thin film on the etching circuit. It provides a new technical approach and process route for preparing MSM photodetectors.
2024, 73(9): 098701.
doi:10.7498/aps.73.20231904
Abstract:
A grating-coupled terahertz (THz) surface plasmon polariton (SPP) resonant biochemical sensing structure is designed with simulation, which can be easily prepared by etching a submillimeter grating on the surface of indium antimonide (InSb) substrate. The simulation results based on the phase matching equation show that when the TM-polarized broadband terahertz collimated beam is incident on the InSb grating at a 30° angle, the low-frequency SPP and high-frequency SPP with opposite propagation directions can be simultaneously excited by the –1st and +1st order diffraction beams of the grating, respectively. Since the low-frequency SPP is easy to accurately measure with a commercial THz time-domain spectroscopy devices, the dependence of the resonance characteristics and sensing characteristics of low-frequency SPP on the grating structure parameters is systematically simulated in this paper. The simulation results show that the refractive-index sensitivity of the InSb grating-coupled THz-SPP resonant sensor chip decreases with the increase of the grating period, and is 1.05 THz/RIU at a grating period of 120 μm and an incident angle of 30°. Under these conditions, the sensor chip cannot make a detectable response to the monolayer adsorption of biomolecules, because the evanescent field penetration depth of the low-frequency SPP is much greater than the biomolecular size, resulting in insufficient field-biomolecular interaction at the surface. In order to detect biomolecules, a sensitivity enhancement method based on porous thin films is proposed and analyzed with simulation. The porous films enable not only to enrich biomolecules, but also to extend the interaction between THz-SPP and biomolecules from the molecular size to the entire film thickness, thereby improving the sensitivity of the sensor to biomolecular adsorption. Taking tyrosine adsorption as an example, the simulation results show that when the InSb grating is covered with a porous polymethyl methacrylate (PMMA) film with a thickness of 120 μm and a porosity of 0.4, the sensor sensitivity to tyrosine adsorption is 0.39 THz/unit volume fraction.
A grating-coupled terahertz (THz) surface plasmon polariton (SPP) resonant biochemical sensing structure is designed with simulation, which can be easily prepared by etching a submillimeter grating on the surface of indium antimonide (InSb) substrate. The simulation results based on the phase matching equation show that when the TM-polarized broadband terahertz collimated beam is incident on the InSb grating at a 30° angle, the low-frequency SPP and high-frequency SPP with opposite propagation directions can be simultaneously excited by the –1st and +1st order diffraction beams of the grating, respectively. Since the low-frequency SPP is easy to accurately measure with a commercial THz time-domain spectroscopy devices, the dependence of the resonance characteristics and sensing characteristics of low-frequency SPP on the grating structure parameters is systematically simulated in this paper. The simulation results show that the refractive-index sensitivity of the InSb grating-coupled THz-SPP resonant sensor chip decreases with the increase of the grating period, and is 1.05 THz/RIU at a grating period of 120 μm and an incident angle of 30°. Under these conditions, the sensor chip cannot make a detectable response to the monolayer adsorption of biomolecules, because the evanescent field penetration depth of the low-frequency SPP is much greater than the biomolecular size, resulting in insufficient field-biomolecular interaction at the surface. In order to detect biomolecules, a sensitivity enhancement method based on porous thin films is proposed and analyzed with simulation. The porous films enable not only to enrich biomolecules, but also to extend the interaction between THz-SPP and biomolecules from the molecular size to the entire film thickness, thereby improving the sensitivity of the sensor to biomolecular adsorption. Taking tyrosine adsorption as an example, the simulation results show that when the InSb grating is covered with a porous polymethyl methacrylate (PMMA) film with a thickness of 120 μm and a porosity of 0.4, the sensor sensitivity to tyrosine adsorption is 0.39 THz/unit volume fraction.
2024, 73(9): 098702.
doi:10.7498/aps.73.20240216
Abstract:
Super-resolution structured illumination microscopy (SR-SIM) offers numerous advantages such as high temporal resolution, low photobleaching and phototoxicity, and no special requirements for fluorescent probes. It is particularly suitable for long-term SR imaging of living cells. By using two-dimensional lattice structured light serving as illumination, SR-SIM can achieve faster imaging speed and reduce phototoxicity, however, it is accompanied with system complexity increasing. To address this problem, in this work, we propose a fast SR lattice structured illumination microscopy imaging method based on a digital micromirror device (DMD), called DMD-Lattice-SIM. This method utilizes a DMD and synchronous time-sharing triggering with sCMOS to generate two-dimensional orthogonal lattice structured light. The proposed method only requires the collection of five phase-shifted raw images for SR image reconstruction, reducing the acquisition time by approximately 44.4% compared with the traditional SR-SIM method that requires nine phase-shifted raw images. In this work, we also introduce a rapid SR image reconstruction method called Lattice-JSFR-SIM, which combines the advantages of joint space and frequency reconstruction (JSFR)-SIM and Lattice-SIM. The raw images are pre-filtered in the frequency domain and then undergo SR reconstruction in the spatial domain. This approach reduces reconstruction time by approximately 55.6% compared with traditional frequency domain image reconstruction processing, within an imaging field of view of 512 pixels×512 pixels. The feasibility of the proposed method is demonstrated through experiments on cell microtubules and the observation of mitochondrial division and fusion in living cells. The findings presented in this paper hold great significance and application value for enabling real-time SR imaging of living cells.
Super-resolution structured illumination microscopy (SR-SIM) offers numerous advantages such as high temporal resolution, low photobleaching and phototoxicity, and no special requirements for fluorescent probes. It is particularly suitable for long-term SR imaging of living cells. By using two-dimensional lattice structured light serving as illumination, SR-SIM can achieve faster imaging speed and reduce phototoxicity, however, it is accompanied with system complexity increasing. To address this problem, in this work, we propose a fast SR lattice structured illumination microscopy imaging method based on a digital micromirror device (DMD), called DMD-Lattice-SIM. This method utilizes a DMD and synchronous time-sharing triggering with sCMOS to generate two-dimensional orthogonal lattice structured light. The proposed method only requires the collection of five phase-shifted raw images for SR image reconstruction, reducing the acquisition time by approximately 44.4% compared with the traditional SR-SIM method that requires nine phase-shifted raw images. In this work, we also introduce a rapid SR image reconstruction method called Lattice-JSFR-SIM, which combines the advantages of joint space and frequency reconstruction (JSFR)-SIM and Lattice-SIM. The raw images are pre-filtered in the frequency domain and then undergo SR reconstruction in the spatial domain. This approach reduces reconstruction time by approximately 55.6% compared with traditional frequency domain image reconstruction processing, within an imaging field of view of 512 pixels×512 pixels. The feasibility of the proposed method is demonstrated through experiments on cell microtubules and the observation of mitochondrial division and fusion in living cells. The findings presented in this paper hold great significance and application value for enabling real-time SR imaging of living cells.
2024, 73(9): 098801.
doi:10.7498/aps.73.20240249
Abstract:
Amorphous alloys are meta-stable materials with long-range disordered atomic structure, which have excellent catalytic degradation performance and are also susceptible to crystallization, but the mechanism of the effect of crystallization on their catalytic properties has not been clarified. Therefore, the effect of the annealing crystallization process on the microstructure of Fe-Si-B-Cu-Nb industrial amorphous ribbons and their catalytic degradation properties for acid orange 7 are investigated in this work. It is found that the catalytic degradation performance of the ribbons decreases dramatically after having been annealed at 460–580 ℃ , and its reaction rate constant is less than 0.01 min–1. The main reason is the formation ofα-Fe precipitation phase in the ribbons after having been annealed at high temperatures and the destruction of the substable amorphous structure. These reduce the rate of hydroxyl radical formation. In contrast, the catalytic degradation performance of the 650–700 ℃ annealed ribbons increases significantly, which increases to 3.77 times the degradation rate of the as-cast ribbons. The decolorization rate of acid orange 7 by the annealed ribbons reaches 99.22% within 15 min, which is 1.12 times that of the as-cast ribbons. The improvement of the catalytic degradation performance is attributed to the primary cell effect between the crystalline phase and the metal compounds and the substitution reaction between the Cu-enriched clusters and zero-valent iron. In this study, the influence mechanism of annealing crystallization on the performance of Fe-Si-B-Cu-Nb industrial amorphous ribbons for degrading azo dyes is revealed, which provides theoretical and experimental support for using aged iron-based amorphous ribbons to purify printing and dyeing waste-water and achieve “purification of waste-water by using alloy waste”.
Amorphous alloys are meta-stable materials with long-range disordered atomic structure, which have excellent catalytic degradation performance and are also susceptible to crystallization, but the mechanism of the effect of crystallization on their catalytic properties has not been clarified. Therefore, the effect of the annealing crystallization process on the microstructure of Fe-Si-B-Cu-Nb industrial amorphous ribbons and their catalytic degradation properties for acid orange 7 are investigated in this work. It is found that the catalytic degradation performance of the ribbons decreases dramatically after having been annealed at 460–580 ℃ , and its reaction rate constant is less than 0.01 min–1. The main reason is the formation ofα-Fe precipitation phase in the ribbons after having been annealed at high temperatures and the destruction of the substable amorphous structure. These reduce the rate of hydroxyl radical formation. In contrast, the catalytic degradation performance of the 650–700 ℃ annealed ribbons increases significantly, which increases to 3.77 times the degradation rate of the as-cast ribbons. The decolorization rate of acid orange 7 by the annealed ribbons reaches 99.22% within 15 min, which is 1.12 times that of the as-cast ribbons. The improvement of the catalytic degradation performance is attributed to the primary cell effect between the crystalline phase and the metal compounds and the substitution reaction between the Cu-enriched clusters and zero-valent iron. In this study, the influence mechanism of annealing crystallization on the performance of Fe-Si-B-Cu-Nb industrial amorphous ribbons for degrading azo dyes is revealed, which provides theoretical and experimental support for using aged iron-based amorphous ribbons to purify printing and dyeing waste-water and achieve “purification of waste-water by using alloy waste”.
2024, 73(9): 098802.
doi:10.7498/aps.73.20240218
Abstract:
Perovskite solar cells have been widely recognized as the most promising new-type photovoltaic device due to its power conversion efficiency rapidly increasing from 3.8% to over 26% in merely fifteen years. However, the high performances are achieved mainly on small area cells with an active area lower than 0.1 cm2. When enlarging the active area of perovskite solar cells, the efficiency falls dramatically. So, how to reduce the gap between performances of small area cells and large area cells gradually becomes a critical point in the path towards the commercialization of perovskite photovoltaic technology. Herein, a strategy of pre-growing thin layer of TiO2on a rough FTO substrate by atomic layer deposition method before spin-coating SnO2nanoparticles is proposed. Due to the inherent conformal film growth mode of atomic layer deposition, the FTO substrate can be completely covered by TiO2, thus preventing the direct contact between local protrusions of FTO and perovskite layer and impeding the current leakage phenomenon, which can be verified by the measurements from X-ray photoelectron spectroscopy, scanning electron microscopy, and atomic force microscopy, and further proved by the dark current measurement. By using this method, the repeatability and consistency of the small area cell fabrication technology on the same substrate are improved obviously. The improved electron transport process revealed by photoluminescence results and incident light management process revealed by external quantum efficiency results also brings about better solar cell performances. More importantly, highly efficient 0.5 cm2large area perovskite solar cells are fabricated through optimization of TiO2thickness. When growing 200 cycles TiO2(~9 nm in thickness) by using atomic layer deposition technology, the champion large area perovskite solar cell possesses a power conversion efficiency as high as 24.8% (certified 24.65%). The device performances also show excellent repeatability between different fabrication batches. The perovskite solar cell with TiO2buffer layer grown by the atomic layer deposition method can still retain over 95% of its initial efficiency after having been stored in a nitrogen atmosphere for 1500 h. The technique proposed in this paper can be helpful in manufacturing perovskite solar cell modules in the realistic photovoltaic market and can be extended to the large area fabrication of other perovskite optoelectronic devices such as light emitting diode, laser and detector.
Perovskite solar cells have been widely recognized as the most promising new-type photovoltaic device due to its power conversion efficiency rapidly increasing from 3.8% to over 26% in merely fifteen years. However, the high performances are achieved mainly on small area cells with an active area lower than 0.1 cm2. When enlarging the active area of perovskite solar cells, the efficiency falls dramatically. So, how to reduce the gap between performances of small area cells and large area cells gradually becomes a critical point in the path towards the commercialization of perovskite photovoltaic technology. Herein, a strategy of pre-growing thin layer of TiO2on a rough FTO substrate by atomic layer deposition method before spin-coating SnO2nanoparticles is proposed. Due to the inherent conformal film growth mode of atomic layer deposition, the FTO substrate can be completely covered by TiO2, thus preventing the direct contact between local protrusions of FTO and perovskite layer and impeding the current leakage phenomenon, which can be verified by the measurements from X-ray photoelectron spectroscopy, scanning electron microscopy, and atomic force microscopy, and further proved by the dark current measurement. By using this method, the repeatability and consistency of the small area cell fabrication technology on the same substrate are improved obviously. The improved electron transport process revealed by photoluminescence results and incident light management process revealed by external quantum efficiency results also brings about better solar cell performances. More importantly, highly efficient 0.5 cm2large area perovskite solar cells are fabricated through optimization of TiO2thickness. When growing 200 cycles TiO2(~9 nm in thickness) by using atomic layer deposition technology, the champion large area perovskite solar cell possesses a power conversion efficiency as high as 24.8% (certified 24.65%). The device performances also show excellent repeatability between different fabrication batches. The perovskite solar cell with TiO2buffer layer grown by the atomic layer deposition method can still retain over 95% of its initial efficiency after having been stored in a nitrogen atmosphere for 1500 h. The technique proposed in this paper can be helpful in manufacturing perovskite solar cell modules in the realistic photovoltaic market and can be extended to the large area fabrication of other perovskite optoelectronic devices such as light emitting diode, laser and detector.
2024, 73(9): 098803.
doi:10.7498/aps.73.20240153
Abstract:
CsPbI2Br thin films prepared in ambient air are susceptible to humidity, resulting in low coverage, poor crystallization quality, numerous pinholes, and easy transformation into non perovskite phases. To overcome the troubles of pervoksite fabrication in ambient air, a feasible way is to reduce the moisture around the films as much as possible according to dynamic hot-air assisted strategy. However, the hot air accelerates the evaporation rate of solvent, resulting in the decrease of grain size. In order to improve the crystal growth and long-term stability in dynamic hot-air assisted strategy, in this work, we present a dynamic hot-air assisted recrystallization (DHR) strategy to prepare high-quality CsPbI2Br thin films in ambient air (i.e. the CsPbI2Br thin films prepared via dynamic hot-air strategy are recrystallized by using a green solvent (methylamine acetate) with high viscosity coefficient). Under ambient air with high humidity (RH>60%), the CsPbI2Br thin film with high coverage, (100) preferred orientation, large average grain size, and stable structure is prepared via DHR strategy. The dynamic hot-air process can effectively reduce the moisture around the film and increase the nucleation sites in the precursor solution, thereby improving the coverage of the film. However, this process inevitably results in the significant decrease of grain size (Rave= 0.32 μm) (i.e. more grain boundaries), exacerbating non-radiative recombination of carriers associated with trap states at these boundaries. The high coverage increases the grain-to-grain contact area, facilitating complete recrystallization. Thus, the recrystallization process can significantly increase the grain size (Rave= 2.63 μm) and obtain a (100) preferred orientation (I(110)/I(200)= 0.006), resulting in high photoluminescence intensity and long fluorescence lifetime (118 ns). The unencapsulated CsPbI2Br perovskite solar cell (PSC) optimized via DHR strategy with low hysterescence factor (2.34%) and high repeatability exhibits a high power conversion efficiency (PCE = 17.55%), which is higher than those of most CsPbI2Br PSCs prepared in ambient air and gloveboxes previously reported. Moreover, the unencapsulated CsPbI2Br PSC possesses an excellent storage stability under ambient air with high humidity (RH > 60%), remaining 96% of the original PCE after aging 40 days. This provides a promising approach for achieving high-performance and long-term stable CsPbI2Br films under ambient air with high humidity, which is expected to promote the commercialization process of perovskite/silicon tandem cells and semi-transparent devices.
CsPbI2Br thin films prepared in ambient air are susceptible to humidity, resulting in low coverage, poor crystallization quality, numerous pinholes, and easy transformation into non perovskite phases. To overcome the troubles of pervoksite fabrication in ambient air, a feasible way is to reduce the moisture around the films as much as possible according to dynamic hot-air assisted strategy. However, the hot air accelerates the evaporation rate of solvent, resulting in the decrease of grain size. In order to improve the crystal growth and long-term stability in dynamic hot-air assisted strategy, in this work, we present a dynamic hot-air assisted recrystallization (DHR) strategy to prepare high-quality CsPbI2Br thin films in ambient air (i.e. the CsPbI2Br thin films prepared via dynamic hot-air strategy are recrystallized by using a green solvent (methylamine acetate) with high viscosity coefficient). Under ambient air with high humidity (RH>60%), the CsPbI2Br thin film with high coverage, (100) preferred orientation, large average grain size, and stable structure is prepared via DHR strategy. The dynamic hot-air process can effectively reduce the moisture around the film and increase the nucleation sites in the precursor solution, thereby improving the coverage of the film. However, this process inevitably results in the significant decrease of grain size (Rave= 0.32 μm) (i.e. more grain boundaries), exacerbating non-radiative recombination of carriers associated with trap states at these boundaries. The high coverage increases the grain-to-grain contact area, facilitating complete recrystallization. Thus, the recrystallization process can significantly increase the grain size (Rave= 2.63 μm) and obtain a (100) preferred orientation (I(110)/I(200)= 0.006), resulting in high photoluminescence intensity and long fluorescence lifetime (118 ns). The unencapsulated CsPbI2Br perovskite solar cell (PSC) optimized via DHR strategy with low hysterescence factor (2.34%) and high repeatability exhibits a high power conversion efficiency (PCE = 17.55%), which is higher than those of most CsPbI2Br PSCs prepared in ambient air and gloveboxes previously reported. Moreover, the unencapsulated CsPbI2Br PSC possesses an excellent storage stability under ambient air with high humidity (RH > 60%), remaining 96% of the original PCE after aging 40 days. This provides a promising approach for achieving high-performance and long-term stable CsPbI2Br films under ambient air with high humidity, which is expected to promote the commercialization process of perovskite/silicon tandem cells and semi-transparent devices.
2024, 73(9): 098804.
doi:10.7498/aps.73.20240197
Abstract:
Lithium-oxygen batteries stand out among post-lithium-ion batteries due to their theoretically high energy density, while the sluggish reaction kinetics of lithium peroxide reduces the rate performance of the batteries. Therefore, improving the reaction kinetics of the lithium peroxide and then lowering the charge overpotential are of great importance for realizing reversible lithium-oxygen batteries with high energy density. In this work, the catalytic mechanism of graphene oxide (GO) and boron-doped graphene oxide (BGO) on the oxygen evolution reaction of (Li2O2)2cluster is investigated by first-principles calculations. The results show that the charge transfer from (Li2O2)2cluster to GO and from (Li2O2)2cluster to BGO are 0.59 e and 0.96 e, respectively, suggests that B doping improves the charge transfer from the discharged product to the cathode material. The Gibbs free energy of the 4-electron decomposition process shows that the (Li2O2)2cluster favors the Li-O2-Li decomposition pathway, and the rate-determining step for the reaction on both GO and BGO is the third step, that is, the removal of the third lithium. At the equilibrium potential, the charge overpotential of GO and BGO are 0.76 V and 0.23 V, respectively, showing that B doping greatly reduces the charging overpotential of lithium-oxygen batteries. Moreover, mechanistic analysis shows that B doping enhances the electronic conductance of GO and forms an electron-deficient active center, which facilitates charge transport in cathode and charge transfer from lithium peroxide to cathode materials, thereby reducing the charging overpotential of the lithium-oxygen batteries and improving its cycling performance. The B and O play a synergistic role in catalyzing the oxygen evolution reaction of (Li2O2)2clusters.
Lithium-oxygen batteries stand out among post-lithium-ion batteries due to their theoretically high energy density, while the sluggish reaction kinetics of lithium peroxide reduces the rate performance of the batteries. Therefore, improving the reaction kinetics of the lithium peroxide and then lowering the charge overpotential are of great importance for realizing reversible lithium-oxygen batteries with high energy density. In this work, the catalytic mechanism of graphene oxide (GO) and boron-doped graphene oxide (BGO) on the oxygen evolution reaction of (Li2O2)2cluster is investigated by first-principles calculations. The results show that the charge transfer from (Li2O2)2cluster to GO and from (Li2O2)2cluster to BGO are 0.59 e and 0.96 e, respectively, suggests that B doping improves the charge transfer from the discharged product to the cathode material. The Gibbs free energy of the 4-electron decomposition process shows that the (Li2O2)2cluster favors the Li-O2-Li decomposition pathway, and the rate-determining step for the reaction on both GO and BGO is the third step, that is, the removal of the third lithium. At the equilibrium potential, the charge overpotential of GO and BGO are 0.76 V and 0.23 V, respectively, showing that B doping greatly reduces the charging overpotential of lithium-oxygen batteries. Moreover, mechanistic analysis shows that B doping enhances the electronic conductance of GO and forms an electron-deficient active center, which facilitates charge transport in cathode and charge transfer from lithium peroxide to cathode materials, thereby reducing the charging overpotential of the lithium-oxygen batteries and improving its cycling performance. The B and O play a synergistic role in catalyzing the oxygen evolution reaction of (Li2O2)2clusters.












