2024 Vol. 73, No. 10
column
- REVIEW
- GENERAL
- ATOMIC AND MOLECULAR PHYSICS
- ELECTROMAGNETISM, OPTICS, ACOUSTICS, HEAT TRANSFER, CLASSICAL MECHANICS, AND FLUID DYNAMICS
- COVER ARTICLE
- PHYSICS OF GASES, PLASMAS, AND ELECTRIC DISCHARGES
- CONDENSED MATTER: STRUCTURAL, MECHANICAL, AND THERMAL PROPERTIES
- CONDENSED MATTER: ELECTRONIC STRUCTURE, ELECTRICAL, MAGNETIC, AND OPTICAL PROPERTIES
- INTERDISCIPLINARY PHYSICS AND RELATED AREAS OF SCIENCE AND TECHNOLOGY
- GEOPHYSICS, ASTRONOMY, AND ASTROPHYSICS
- RETRACTION NOTICE
Display Method:
2024, 73(10): 108702.
doi:10.7498/aps.73.20240159
Abstract:
Nanopore sensors have become important tools for analyzing biomarkers, including but not limited to nucleic acids, proteins, and other biomolecules that play important roles in life. Though the nanopores themselves have no selectivity towards target molecules, higher sensitivity of nanopore sensing to the target biomarkers could be achieved with the help of the specificity enhancement technology. In this work, the basic principles of nanopore sensing are first introduced, then methods of modifying nanopore surface as well as the development and application of those selectivity enhancement technologies of nanopore sensing in recent years are reviewed. These enhancement technologies primarily fall into two categories: surface functionalization and molecular probes. Surface functionalization is further categorized based on the types of functional molecules used, while molecular probes are classified according to carrier forms. Finally, in this paper several challenges that nanopore sensing continues to encounter are discussed and some suggestions are made for its future development.
Nanopore sensors have become important tools for analyzing biomarkers, including but not limited to nucleic acids, proteins, and other biomolecules that play important roles in life. Though the nanopores themselves have no selectivity towards target molecules, higher sensitivity of nanopore sensing to the target biomarkers could be achieved with the help of the specificity enhancement technology. In this work, the basic principles of nanopore sensing are first introduced, then methods of modifying nanopore surface as well as the development and application of those selectivity enhancement technologies of nanopore sensing in recent years are reviewed. These enhancement technologies primarily fall into two categories: surface functionalization and molecular probes. Surface functionalization is further categorized based on the types of functional molecules used, while molecular probes are classified according to carrier forms. Finally, in this paper several challenges that nanopore sensing continues to encounter are discussed and some suggestions are made for its future development.
2024, 73(10): 100201.
doi:10.7498/aps.73.20240227
Abstract:
Double-porosity poroelastic model takes into account the effect of mesoscopic flow induced by rock heterogeneity on dispersion and attenuation of elastic waves, and has obtained good application results in the quantitative explanation of seismic data in heterogeneous reservoirs. Wavefield simulation based on double-porosity model not only helps visualize the propagation characteristics of the elastic waves but also lays the foundation for seismic imaging. In this work, we perform wavefield simulation and analysis based on the Santos-Rayleigh model which incorporates mesoscopic and global flow in a partially-saturated double-porosity medium. Specifically, the mesoscopic flow mechanism is represented with a Zener viscoelastic model. The comparison shows that the Zener model can accurately capture the propagation characteristics of fast P-wave, but fails to describe the attenuation characteristics of slow P3 wave in the low-frequency band. It implies that Zener viscoelastic model and slow wave modes follow different mechanisms. Then the staggered grid finite-difference method is used to simulate wave propagation in a double-porosity medium, and the stiff problem is solved with a time-splitting algorithm, which can significantly improve computational efficiency. Based on the above methods, the correctness of our algorithm is verified with derived analytical solution for a P-wave source in a uniform partially saturated poroelastic medium. Analytical and numerical solutions are in good agreement and mean error is 0.33%. We provide some examples of wavefield snapshots and seismograms in homogeneous and layered heterogeneous media at seismic and ultrasonic frequencies. The simulation results demonstrate the strong attenuation of fast P-wave and no change of S-wave in the seismic band due to mesoscopic flow mechanism, which is consistent with the theoretical prediction of double-porosity model. Moreover, the energy of fast P-wave is concentrated in solid phase while slow waves are stronger in fluid phase. This work contributes to the understanding of broadband elastic wave propagation in a heterogeneous partially saturated porous medium and can be applied to the reservoir imaging with broadband geophysical data.
Double-porosity poroelastic model takes into account the effect of mesoscopic flow induced by rock heterogeneity on dispersion and attenuation of elastic waves, and has obtained good application results in the quantitative explanation of seismic data in heterogeneous reservoirs. Wavefield simulation based on double-porosity model not only helps visualize the propagation characteristics of the elastic waves but also lays the foundation for seismic imaging. In this work, we perform wavefield simulation and analysis based on the Santos-Rayleigh model which incorporates mesoscopic and global flow in a partially-saturated double-porosity medium. Specifically, the mesoscopic flow mechanism is represented with a Zener viscoelastic model. The comparison shows that the Zener model can accurately capture the propagation characteristics of fast P-wave, but fails to describe the attenuation characteristics of slow P3 wave in the low-frequency band. It implies that Zener viscoelastic model and slow wave modes follow different mechanisms. Then the staggered grid finite-difference method is used to simulate wave propagation in a double-porosity medium, and the stiff problem is solved with a time-splitting algorithm, which can significantly improve computational efficiency. Based on the above methods, the correctness of our algorithm is verified with derived analytical solution for a P-wave source in a uniform partially saturated poroelastic medium. Analytical and numerical solutions are in good agreement and mean error is 0.33%. We provide some examples of wavefield snapshots and seismograms in homogeneous and layered heterogeneous media at seismic and ultrasonic frequencies. The simulation results demonstrate the strong attenuation of fast P-wave and no change of S-wave in the seismic band due to mesoscopic flow mechanism, which is consistent with the theoretical prediction of double-porosity model. Moreover, the energy of fast P-wave is concentrated in solid phase while slow waves are stronger in fluid phase. This work contributes to the understanding of broadband elastic wave propagation in a heterogeneous partially saturated porous medium and can be applied to the reservoir imaging with broadband geophysical data.
2024, 73(10): 100301.
doi:10.7498/aps.73.20240116
Abstract:
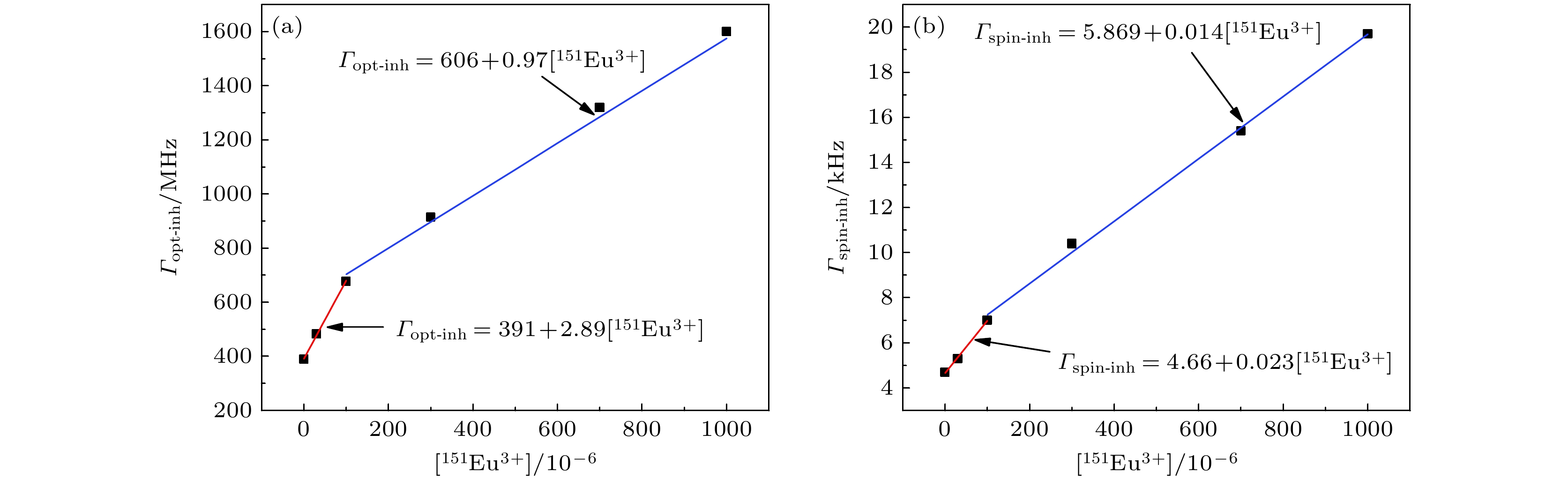
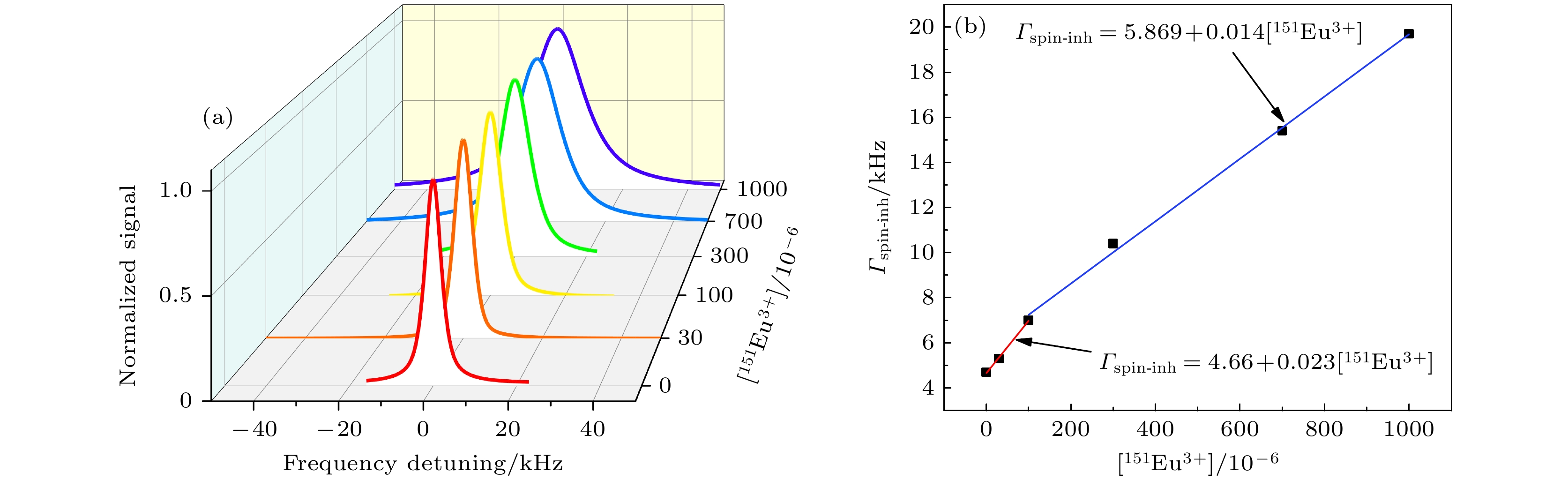
The transportable quantum memory is a feasible solution for realizing the long-distance quantum communication, which requires a storage lifetime of the order of hours. The isotope-enriched151Eu3+:Y2SiO5crystal is a promising candidate for this application. However, its optical storage efficiency and spin storage lifetime are limited by the wide inhomogeneous linewidth. In this work, we successfully grow isotope-enriched151Eu3+:Y2SiO5crystals with varying doping concentrations by utilizing the Czochralski method. The optical inhomogeneous broadening and spin inhomogeneous broadening are measured by the optical absorption spectroscopy and optically detected magnetic resonance tests, respectively. Notably, in the undoped samples, we identify a baseline level of inhomogeneous linewidths, happening at (390 ± 15) MHz for optical inhomogeneous broadening and (4.6 ± 0.2) kHz for spin inhomogeneous broadening. Our findings reveal that the point defects, induced by the doping ions, significantly contribute to the inhomogeneous broadening. For every increase of 10–6in doping concentration, the optical inhomogeneous broadening increases by 0.97 MHz, and the spin inhomogeneous broadening increases by 0.014 kHz. Furthermore, we discuss the influence of dislocations on inhomogeneous broadening and propose potential strategies to further mitigate these effects. These advancements are expected to promote the development of ultra-long-lifetime transportable quantum memory applications.
The transportable quantum memory is a feasible solution for realizing the long-distance quantum communication, which requires a storage lifetime of the order of hours. The isotope-enriched151Eu3+:Y2SiO5crystal is a promising candidate for this application. However, its optical storage efficiency and spin storage lifetime are limited by the wide inhomogeneous linewidth. In this work, we successfully grow isotope-enriched151Eu3+:Y2SiO5crystals with varying doping concentrations by utilizing the Czochralski method. The optical inhomogeneous broadening and spin inhomogeneous broadening are measured by the optical absorption spectroscopy and optically detected magnetic resonance tests, respectively. Notably, in the undoped samples, we identify a baseline level of inhomogeneous linewidths, happening at (390 ± 15) MHz for optical inhomogeneous broadening and (4.6 ± 0.2) kHz for spin inhomogeneous broadening. Our findings reveal that the point defects, induced by the doping ions, significantly contribute to the inhomogeneous broadening. For every increase of 10–6in doping concentration, the optical inhomogeneous broadening increases by 0.97 MHz, and the spin inhomogeneous broadening increases by 0.014 kHz. Furthermore, we discuss the influence of dislocations on inhomogeneous broadening and propose potential strategies to further mitigate these effects. These advancements are expected to promote the development of ultra-long-lifetime transportable quantum memory applications.
2024, 73(10): 100401.
doi:10.7498/aps.73.20240181
Abstract:
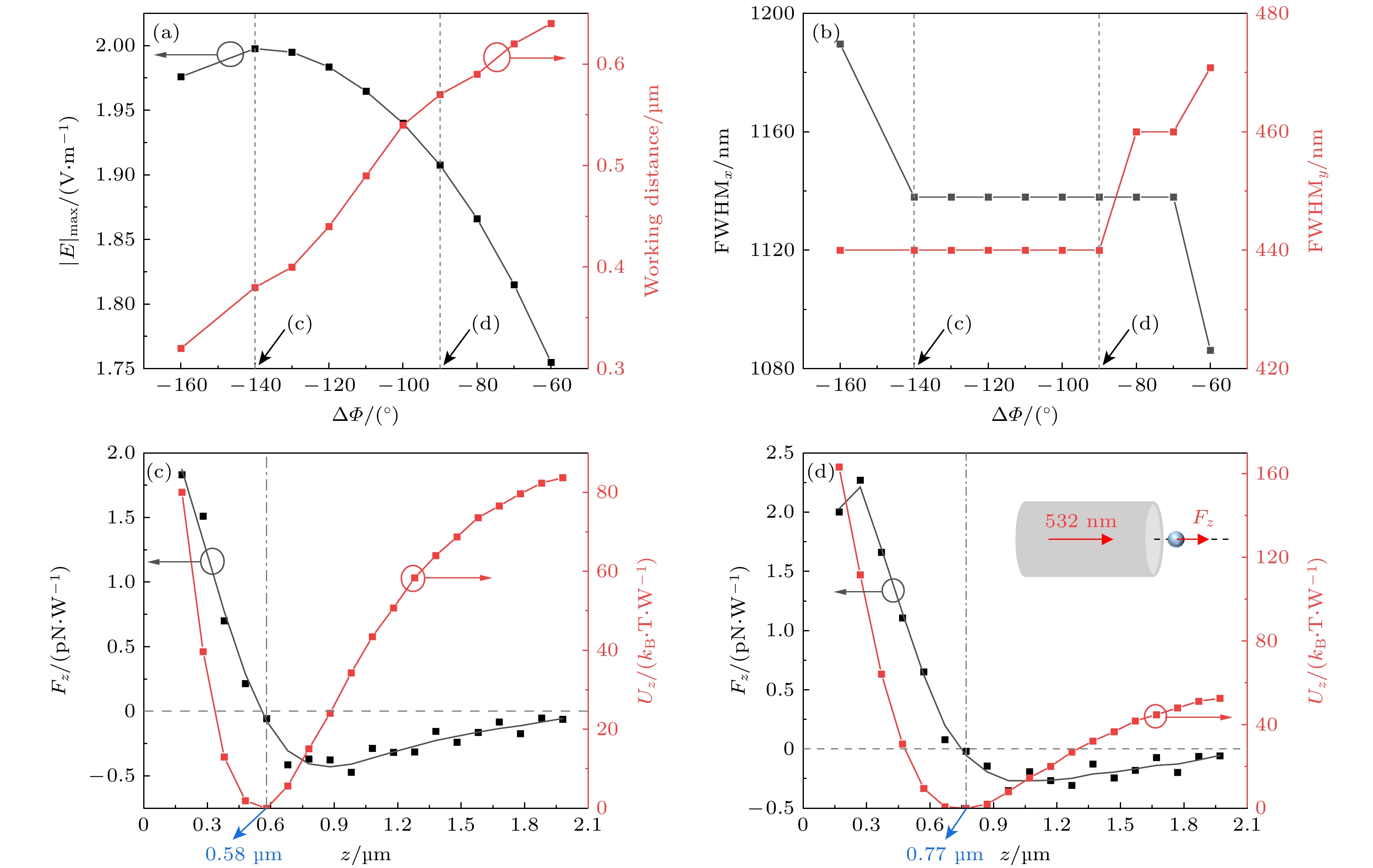
The ability to focus light on a subwavelength scale is essential in modern photonics. Optical microfiber-based sub-wavelength focusing will allow a miniaturized, flexible and versatile tool for many applications such as biomedical imaging and optomechanics. For a separate mode exited from an optical micro-/nanofiber endface, the photons will experience significant diffraction into the free space. This situation can be changed by incorporating two-mode interference along with the specific spatial distributions of bothE-field amplitude and phase. Herein we report a novel approach to realizing sub-wavelength focusing based on the two-mode interference exited from an optical microfiber endface. By utilizing specific distributions ofE-field amplitude and phase of two interacting optical modes, interference field patterns with a single focus (e.g., via a two-mode set of HE11and HE12) or multiple foci (e.g., via a two-mode set of HE11and HE31) can be obtained. Then, it is proved that the constructed foci will readily facilitate and selective trapping of nanoparticles. Circular polarization of optical mode is utilized in order to bring in angular symmetry of sub-wavelength focusing patterns compared with linear polarized optical modes. Our simulation results show that the smallest focal spot produced from the EH11and HE12mode interference has a full width at half-maximum (FWHM) of ~ 348 nm (i.e. 0.65λ). Such a subwavelength focusing field is applied to the optical trapping of an 85 nm-diameter polystyrene nanosphere. Further calculation reveals that the stable trapping can be fulfilled with axial and transverse trap stiffness of 11.48 pN/(μm·W) and 64.98 pN/(μm·W), as well as axial and transverse potential well of 101kBT/W and 641kBT/W via two-mode interference of HE11and HE12. These values demonstrate the great improvement over conventional tapered fibers. Further investigations show that different foci, via a two-mode set of HE11and HE31, exhibit unlike trap stiffness and potential wells, justifying the potential for nanoparticle size sorting. Based on the flexible all-fiber device, this subwavelength focusing strategy by two-mode interference may find promising applications in optical manipulation, superresolution optical imaging, data storage and nanolithography.
The ability to focus light on a subwavelength scale is essential in modern photonics. Optical microfiber-based sub-wavelength focusing will allow a miniaturized, flexible and versatile tool for many applications such as biomedical imaging and optomechanics. For a separate mode exited from an optical micro-/nanofiber endface, the photons will experience significant diffraction into the free space. This situation can be changed by incorporating two-mode interference along with the specific spatial distributions of bothE-field amplitude and phase. Herein we report a novel approach to realizing sub-wavelength focusing based on the two-mode interference exited from an optical microfiber endface. By utilizing specific distributions ofE-field amplitude and phase of two interacting optical modes, interference field patterns with a single focus (e.g., via a two-mode set of HE11and HE12) or multiple foci (e.g., via a two-mode set of HE11and HE31) can be obtained. Then, it is proved that the constructed foci will readily facilitate and selective trapping of nanoparticles. Circular polarization of optical mode is utilized in order to bring in angular symmetry of sub-wavelength focusing patterns compared with linear polarized optical modes. Our simulation results show that the smallest focal spot produced from the EH11and HE12mode interference has a full width at half-maximum (FWHM) of ~ 348 nm (i.e. 0.65λ). Such a subwavelength focusing field is applied to the optical trapping of an 85 nm-diameter polystyrene nanosphere. Further calculation reveals that the stable trapping can be fulfilled with axial and transverse trap stiffness of 11.48 pN/(μm·W) and 64.98 pN/(μm·W), as well as axial and transverse potential well of 101kBT/W and 641kBT/W via two-mode interference of HE11and HE12. These values demonstrate the great improvement over conventional tapered fibers. Further investigations show that different foci, via a two-mode set of HE11and HE31, exhibit unlike trap stiffness and potential wells, justifying the potential for nanoparticle size sorting. Based on the flexible all-fiber device, this subwavelength focusing strategy by two-mode interference may find promising applications in optical manipulation, superresolution optical imaging, data storage and nanolithography.
2024, 73(10): 100501.
doi:10.7498/aps.73.20240105
Abstract:
Composite films with ferroelectric nanowires serving as fillers, exhibit high adiabatic temperature change to meet the requirement for solid-state refrigeration, and their parallel-distributed filled nanowires are considered to be the key factor because their orientation is different from the orientation of the conventional perpendicularly distributed filled nanowires. However, the underlying mechanism of the electrocaloric effect of parallel-distributed nanowires has not been well understood. In this paper, a parallel-distributed PbTiO3nanowire model is established to investigate the effects of surface stress and solid solution modification on their electrocaloric effects through phase field simulations. The results show that an adiabatic temperature change of 5 K can be obtained near 200 ℃ with 1.5% compressive stress under an electric field of 260 kV/cm. In order to further reduce its operating temperature, the electrocaloric effects of PST nanowires with different Sr contents are calculated, and it is found that the lower the doping amount of Sr, the higher the phase transition temperature of PST nanowires is. When the doping amount of Sr is 0.45, the phase transition temperature of the nanowires can be reduced to near 100 ℃, and an adiabatic temperature change of more than 8 K can be obtained under an electric field of 600 kV/cm. Even in the low-temperature interval from 50 to 100 ℃ the nanowires exhibit an adiabatic temperature change close to 8 K. The nanowires are also characterized by an adiabatic temperature change in a low-temperature interval from 50 to 100 ℃. At the same time, by combining the evolution of the simulated three-dimensional domain structure, it is revealed that the underlying mechanism of the change of the electrocaloric effect under surface stress and solid solution modification is due to different types of domain transformations. Finally, the combinations of components and surface stresses corresponding to the maximum value of the electrocaloric effect at different operating temperatures are discussed and analyzed. The present study provides useful theoretical guidance for developing solid-state refrigeration based on parallel-distributed ferroelectric nanowires.
Composite films with ferroelectric nanowires serving as fillers, exhibit high adiabatic temperature change to meet the requirement for solid-state refrigeration, and their parallel-distributed filled nanowires are considered to be the key factor because their orientation is different from the orientation of the conventional perpendicularly distributed filled nanowires. However, the underlying mechanism of the electrocaloric effect of parallel-distributed nanowires has not been well understood. In this paper, a parallel-distributed PbTiO3nanowire model is established to investigate the effects of surface stress and solid solution modification on their electrocaloric effects through phase field simulations. The results show that an adiabatic temperature change of 5 K can be obtained near 200 ℃ with 1.5% compressive stress under an electric field of 260 kV/cm. In order to further reduce its operating temperature, the electrocaloric effects of PST nanowires with different Sr contents are calculated, and it is found that the lower the doping amount of Sr, the higher the phase transition temperature of PST nanowires is. When the doping amount of Sr is 0.45, the phase transition temperature of the nanowires can be reduced to near 100 ℃, and an adiabatic temperature change of more than 8 K can be obtained under an electric field of 600 kV/cm. Even in the low-temperature interval from 50 to 100 ℃ the nanowires exhibit an adiabatic temperature change close to 8 K. The nanowires are also characterized by an adiabatic temperature change in a low-temperature interval from 50 to 100 ℃. At the same time, by combining the evolution of the simulated three-dimensional domain structure, it is revealed that the underlying mechanism of the change of the electrocaloric effect under surface stress and solid solution modification is due to different types of domain transformations. Finally, the combinations of components and surface stresses corresponding to the maximum value of the electrocaloric effect at different operating temperatures are discussed and analyzed. The present study provides useful theoretical guidance for developing solid-state refrigeration based on parallel-distributed ferroelectric nanowires.
2024, 73(10): 100502.
doi:10.7498/aps.73.20231792
Abstract:
The dynamic behaviors of coupled neurons with different mathematical representations have received more and more attention in recent years. The coupling among heterogeneous neurons can show richer dynamic phenomena, which is of great significance in understanding the function of the human brain. In this paper, we present a fraction-order heterogeneous network with three neurons, which is built by coupling an FN neuron with two HR neurons. Complex electromagnetic surroundings have meaningful physical influence on the electrical activities of neurons. To imitate the effects of electromagnetic induction on the three-neuron heterogeneous network, we introduce a fraction-order locally active memristor in the neural network. The characteristics of this memristor are carefully analyzed by pinched hysteresis loops and its locally active characteristic is proved by the power-off plot and the DCv-iplot. Then, the parameter-dependent dynamic activities are investigated numerically by using several dynamical analysis methods, such as the phase diagrams, bifurcation diagrams, Lyapunov exponent spectra, and attraction basins. In addition, the network also reveals rich dynamic behaviors, including coexisting activities, anti-monotonicity phenomena, transient chaos and firing patterns, providing support for further investigating the firing patterns of the human brain. In particular, complex dynamics, including coexisting attractors, anti-monotonicity, and firing patterns, can be influenced by the order and strength of electrical synaptic coupling and electromagnetic induction. The control of the bistable state can be realized through the time feedback control method, so that the bistable state can be transformed into an ideal monostable state. The study of the fraction-order memristive neural network may expand the field of view for understanding the collective behaviors of neurons. Finally, based on the ARM platform, we give a digital implementation of the fraction-order memristive neural network, which can verify the consistency with the numerical simulation results. In the future, we will explore more interesting memristive neural networks and study different types of methods to control the firing behaviors of the networks.
The dynamic behaviors of coupled neurons with different mathematical representations have received more and more attention in recent years. The coupling among heterogeneous neurons can show richer dynamic phenomena, which is of great significance in understanding the function of the human brain. In this paper, we present a fraction-order heterogeneous network with three neurons, which is built by coupling an FN neuron with two HR neurons. Complex electromagnetic surroundings have meaningful physical influence on the electrical activities of neurons. To imitate the effects of electromagnetic induction on the three-neuron heterogeneous network, we introduce a fraction-order locally active memristor in the neural network. The characteristics of this memristor are carefully analyzed by pinched hysteresis loops and its locally active characteristic is proved by the power-off plot and the DCv-iplot. Then, the parameter-dependent dynamic activities are investigated numerically by using several dynamical analysis methods, such as the phase diagrams, bifurcation diagrams, Lyapunov exponent spectra, and attraction basins. In addition, the network also reveals rich dynamic behaviors, including coexisting activities, anti-monotonicity phenomena, transient chaos and firing patterns, providing support for further investigating the firing patterns of the human brain. In particular, complex dynamics, including coexisting attractors, anti-monotonicity, and firing patterns, can be influenced by the order and strength of electrical synaptic coupling and electromagnetic induction. The control of the bistable state can be realized through the time feedback control method, so that the bistable state can be transformed into an ideal monostable state. The study of the fraction-order memristive neural network may expand the field of view for understanding the collective behaviors of neurons. Finally, based on the ARM platform, we give a digital implementation of the fraction-order memristive neural network, which can verify the consistency with the numerical simulation results. In the future, we will explore more interesting memristive neural networks and study different types of methods to control the firing behaviors of the networks.
2024, 73(10): 103101.
doi:10.7498/aps.73.20240187
Abstract:
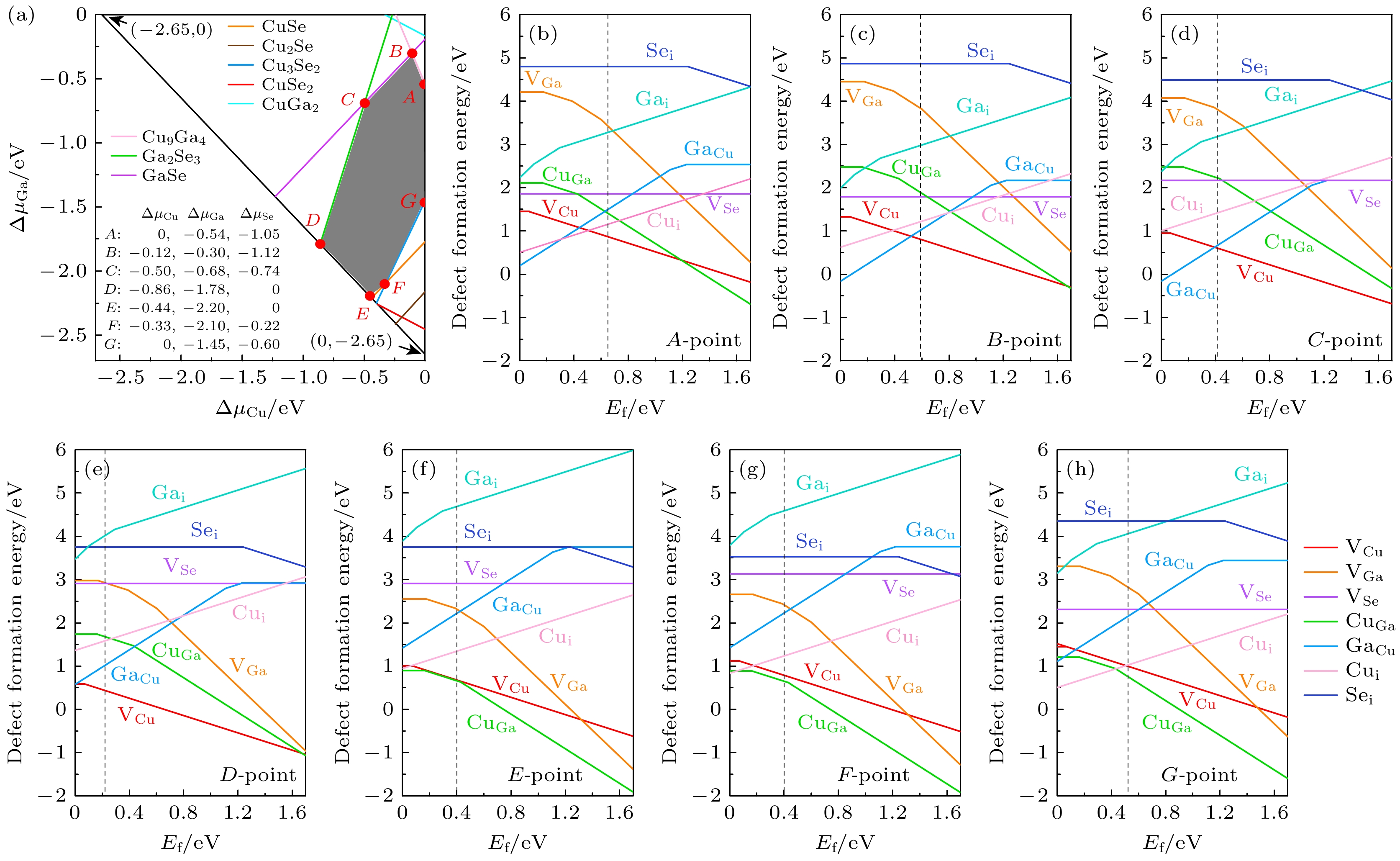
Solar cells have attracted much attention, for they can convert solar energy directly into electric energy, and have been widely utilized in manufacturing industry and people’s daily life. Although the power conversion efficiency (PCE) of single-junction solar cells has gradually improved in recent years, its maximum efficiency is still limited by the Shockley-Queisser (SQ) limit of single-junction solar cells. To exceed the SQ limit and further obtain high-efficiency solar cells, the concept of tandem solar cells has been proposed. In this work, the chalcopyrite CuGaSe2/CuInSe2tandem solar cells are studied systematically in theory by combining first-principle calculations and SCAPS-1D device simulations. Firstly, the electronic structure, defect properties and corresponding macroscopic performance parameters of CuGaSe2(CGS) are obtained by first-principles calculations, and are used as input parameters for subsequent device simulations of CGS solar cells. Then, the single-junction CGS and CuInSe2(CIS) solar cells are simulated by using SCAPS-1D software, respectively. The simulation results for the single junction CIS solar cells are in good agreement with the experimental values. For single-junction CGS cells, the device simulations reveal that the CGS single-junction solar cells have the highest short-circuit current (Jsc) and PCE under the Cu-rich, Ga-rich and Se-poor chemical growth condition. Further optimization in the growth environment with the highest short circuit current (Jsc) shows that the open-circuit voltage (Voc) and PCE of CGS solar cells can be improved by replacing the electron transport layer (ETL) with ZnSe. Finally, after the optimized CGS and CIS solar cells are connected in series with two-terminal (2T) monolithic tandem solar cell, the device simulation results show that under the growth temperature of 700 K and the growth environment of Cu-rich, Ga-rich, and Se-poor, with ZnSe serving as the ETL, the CGS thickness of 2000 nm and the CIS thickness of 1336 nm, the PCE of 2T monolithic CGS/CIS tandem solar cell can reach 28.91%, which is higher than the ever-recorded efficiency of the current single-junction solar cells, and shows that this solar cell has a good application prospect.
Solar cells have attracted much attention, for they can convert solar energy directly into electric energy, and have been widely utilized in manufacturing industry and people’s daily life. Although the power conversion efficiency (PCE) of single-junction solar cells has gradually improved in recent years, its maximum efficiency is still limited by the Shockley-Queisser (SQ) limit of single-junction solar cells. To exceed the SQ limit and further obtain high-efficiency solar cells, the concept of tandem solar cells has been proposed. In this work, the chalcopyrite CuGaSe2/CuInSe2tandem solar cells are studied systematically in theory by combining first-principle calculations and SCAPS-1D device simulations. Firstly, the electronic structure, defect properties and corresponding macroscopic performance parameters of CuGaSe2(CGS) are obtained by first-principles calculations, and are used as input parameters for subsequent device simulations of CGS solar cells. Then, the single-junction CGS and CuInSe2(CIS) solar cells are simulated by using SCAPS-1D software, respectively. The simulation results for the single junction CIS solar cells are in good agreement with the experimental values. For single-junction CGS cells, the device simulations reveal that the CGS single-junction solar cells have the highest short-circuit current (Jsc) and PCE under the Cu-rich, Ga-rich and Se-poor chemical growth condition. Further optimization in the growth environment with the highest short circuit current (Jsc) shows that the open-circuit voltage (Voc) and PCE of CGS solar cells can be improved by replacing the electron transport layer (ETL) with ZnSe. Finally, after the optimized CGS and CIS solar cells are connected in series with two-terminal (2T) monolithic tandem solar cell, the device simulation results show that under the growth temperature of 700 K and the growth environment of Cu-rich, Ga-rich, and Se-poor, with ZnSe serving as the ETL, the CGS thickness of 2000 nm and the CIS thickness of 1336 nm, the PCE of 2T monolithic CGS/CIS tandem solar cell can reach 28.91%, which is higher than the ever-recorded efficiency of the current single-junction solar cells, and shows that this solar cell has a good application prospect.
2024, 73(10): 103102.
doi:10.7498/aps.73.20231871
Abstract:
The accurate measurement and calculation of molecular electron affinity has been a hot topic. The existing theoretical study does not consider the effects of different basic sets, or various correlation effects or zero point energy correction. In addition, there are some deviations of calculation results from experimental measurements. Therefore, we conduct a high-levelab initiostudy on the electron affinities of CO2, OCS, CS2and their corresponding anions
\begin{document}$ {\text{CO}}_{2}^{{ - }} $\end{document}
, OCS–,
\begin{document}$ {\text{CS}}_{2}^{{ - }} $\end{document}
by adopting the coupled cluster with singles and doubles (triples) (CCSD(T)), spin-unrestricted open-shell coupled cluster with singles and doubles (triples) (UCCSD(T)), respectively. The equilibrium geometries of the ground states of these molecules are calculated under a series of extended correlation consistent basis sets aug-cc-pV (X+d)Z (X= T, Q, 5) and complete basis set extrapolation (CBS) limit. The effects of core-valence (CV) electron correlation and scalar relativistic (SR) on equilibrium geometry of the ground state are studied, and our results are compared with previous experimental observations and theoretical data. Our calculations are in good agreement with the previous results. It is found that the calculations of equilibrium geometries of these molecules tend to converge. It is noted that the scalar relativistic effect has little influence on the equilibrium structure of the neutral molecule, but it has more significant influence on the bond angle of
\begin{document}$ {\text{CS}}_{2}^{{ - }} $\end{document}
.With the increase of atomic number, the core-valence correlation effect exerts a more remarkable influence on the equilibrium structures of ground states of CS2and
\begin{document}$ {\text{CS}}_{2}^{{ - }} $\end{document}
molecules except forRC-Sof OCS–. Based on accurate structures, the adiabatic energy values of neutral molecules CO2, OCS, CS2by CCSD(T) method and those of
\begin{document}$ {\text{CO}}_{2}^{{ - }} $\end{document}
, OCS–,
\begin{document}$ {\text{CS}}_{2}^{{ - }} $\end{document}
by using UCCSD(T) and spin-restricted open-shell coupled cluster with singles and doubles (triples) (RCCSD(T)) are calculated, respectively. And finally, the adiabatic electron affinities (EAs) of the neutral molecules CO2, OCS, CS2are obtained. The effects of different basis sets, CBS, correlation effects and zero-point energy correction on the EA values of these molecules are investigated. It is found that both the scalar relativistic effect and the core-valence correlation effect affect the EAs of neutral molecules, and the core-valence correlation effect has a more significant effect on the EA value. The results show that the correlation effect has more significant influence on the adiabatic EA than the equilibrium structure of the ground state of neutral molecules. Based on the CBS+ΔCV+ΔDK+ΔZPE calculation, accurate EA information is acquired. Our results of EA values are within the experimental error. This work will enrich the information about spectral constants and electron affinities of carbon-containing triatomic molecules, and provide an important reference for experimental spectral analysis.
The accurate measurement and calculation of molecular electron affinity has been a hot topic. The existing theoretical study does not consider the effects of different basic sets, or various correlation effects or zero point energy correction. In addition, there are some deviations of calculation results from experimental measurements. Therefore, we conduct a high-levelab initiostudy on the electron affinities of CO2, OCS, CS2and their corresponding anions
2024, 73(10): 103103.
doi:10.7498/aps.73.20240177
Abstract:
In quantum optical experiments, the polarizabilities of atomic systems play a very important role, which can be used to describe the interactions of atomic systems with external electromagnetic fields. When subjected to a specific electric field such as a laser field with a particular frequency, the frequency-dependent electric-dipole (E1) dynamic polarizability of an atomic state can reach zero. The wavelength corresponding to such a frequency is referred to as the “turn-out” wavelength. In this work, the “turn-out” wavelengths for the 3s21S0and 3s3p3P0clock states of Al+are calculated by using the configuration interaction plus many-body perturbation theory (CI+MBPT) method. The values of energy and E1 reduced matrix elements of low-lying states of Al+are calculated. By combining these E1 reduced matrix elements with the experimental energy values, the E1 dynamic polarizabilities of the 3s21S0and 3s3p3P0clock states are determined in the angular frequency range of (0, 0.42 a.u.). The “turn-out” wavelengths are found at the zero-crossing points of the frequency-dependent dynamic polarizability curves for both the 3s21S0and 3s3p3P0states. For the ground state 3s21S0, a single “turn-out” wavelength at 266.994(1) nm is observed. On the other hand, the excited state 3s3p3P0exhibits four distinct “turn-out” wavelengths, namely 184.56(1) nm, 174.433(1) nm, 121.52(2) nm, and 119.71(2) nm. The contributions of individual resonant transitions to the dynamic polarizabilities at the “turn-out” wavelengths are examined. It is observed that the resonant lines situated near a certain “turn-out” wavelength can provide dominant contributions to the polarizability, while the remaining resonant lines generally contribute minimally. When analyzing these data, we recommend accurately measuring these “turn-out” wavelengths to accurately determine the oscillator strengths or reduced matrix elements of the relevant transitions. This is crucial for minimizing the uncertainty of the blackbody radiation (BBR) frequency shift in Al+optical clock and suppressing the systematic uncertainty. Meanwhile, precisely measuring these “turn-out” wavelengths is also helpful for further exploring the atomic structure of Al+.
In quantum optical experiments, the polarizabilities of atomic systems play a very important role, which can be used to describe the interactions of atomic systems with external electromagnetic fields. When subjected to a specific electric field such as a laser field with a particular frequency, the frequency-dependent electric-dipole (E1) dynamic polarizability of an atomic state can reach zero. The wavelength corresponding to such a frequency is referred to as the “turn-out” wavelength. In this work, the “turn-out” wavelengths for the 3s21S0and 3s3p3P0clock states of Al+are calculated by using the configuration interaction plus many-body perturbation theory (CI+MBPT) method. The values of energy and E1 reduced matrix elements of low-lying states of Al+are calculated. By combining these E1 reduced matrix elements with the experimental energy values, the E1 dynamic polarizabilities of the 3s21S0and 3s3p3P0clock states are determined in the angular frequency range of (0, 0.42 a.u.). The “turn-out” wavelengths are found at the zero-crossing points of the frequency-dependent dynamic polarizability curves for both the 3s21S0and 3s3p3P0states. For the ground state 3s21S0, a single “turn-out” wavelength at 266.994(1) nm is observed. On the other hand, the excited state 3s3p3P0exhibits four distinct “turn-out” wavelengths, namely 184.56(1) nm, 174.433(1) nm, 121.52(2) nm, and 119.71(2) nm. The contributions of individual resonant transitions to the dynamic polarizabilities at the “turn-out” wavelengths are examined. It is observed that the resonant lines situated near a certain “turn-out” wavelength can provide dominant contributions to the polarizability, while the remaining resonant lines generally contribute minimally. When analyzing these data, we recommend accurately measuring these “turn-out” wavelengths to accurately determine the oscillator strengths or reduced matrix elements of the relevant transitions. This is crucial for minimizing the uncertainty of the blackbody radiation (BBR) frequency shift in Al+optical clock and suppressing the systematic uncertainty. Meanwhile, precisely measuring these “turn-out” wavelengths is also helpful for further exploring the atomic structure of Al+.
2024, 73(10): 103104.
doi:10.7498/aps.73.20240213
Abstract:
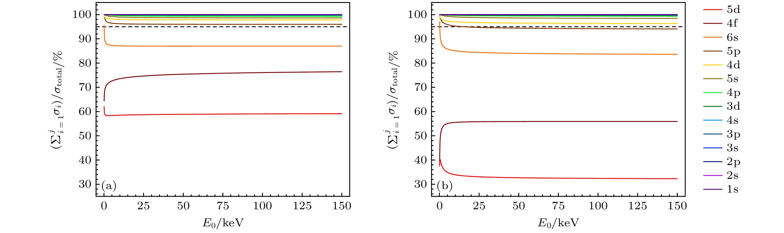
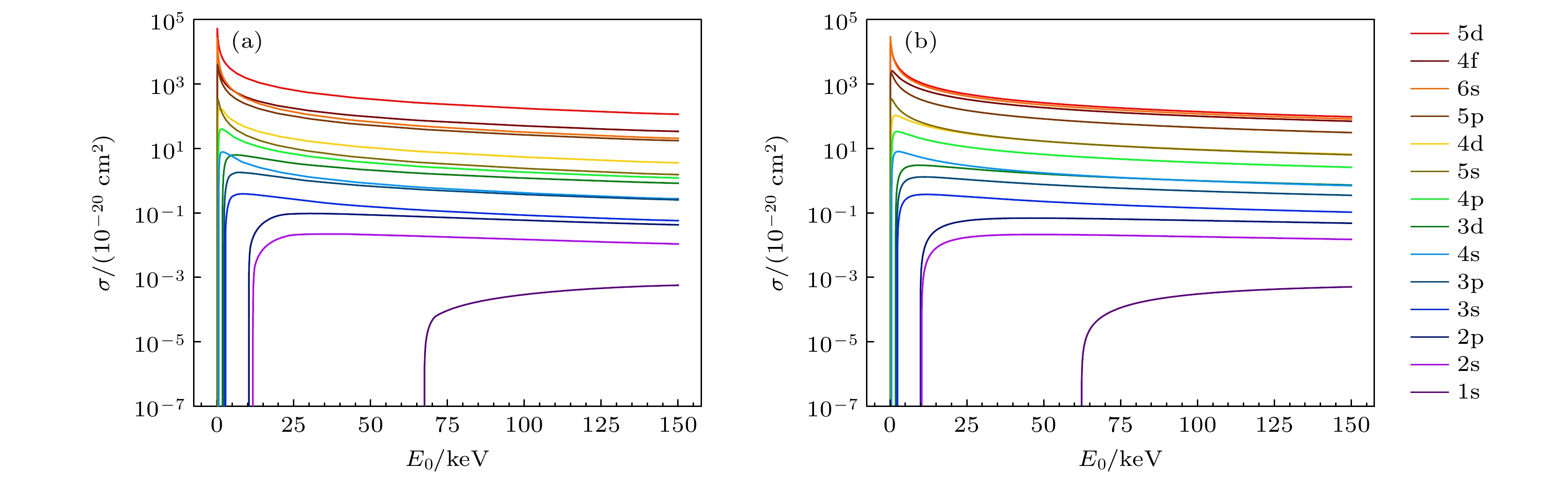
The atomic data of medium- and high-Zelements, such as electron-impact ionization and excitation cross-sections, possess extensive applications in fields such as fusion science and X-ray interactions with matter. There are atoms and ions in high energy density plasma, with different charge states and energy states ranging from ground states to highly excited states, and the cross-sections of each charge state and energy state need to be calculated. The bottlenecks limiting computational performance are the inevitable relativistic effects of medium- and high-Zelements and the extremely complex electronic configurations. Taking tantalum (Ta) for example, by using the relativistic Dirac-Fock theory and distorted wave model, we compute the electron-impact ionization and excitation cross-sections of Ta from the ground state atom up to Ta72+with the incident electron energy range of 1–150 keV. The detailed configuration accounting (DCA) reaction channel cross-sections are derived by summing and weighting the original detailed level accounting (DLA) cross-sections. After examining the data, two regularities are found. In terms of DLA, the pre-averaging DCA cross-sections have varying initial DLA energy levels but are typically close to each other. There is not a straightforward function that can explain the discrepancies between them. In terms of DCA, inner subshells typically contribute very little to the total cross-section as their ionization and excitation cross-sections are orders of magnitude smaller than those of outer subshells. We provide two techniques to reduce the computational costs based on the regularities. To minimize the total number of DLA reaction channels used in the computation, the initial DLA energy levels can be randomly sampled. Through a Monte Carlo numerical experiment, we determine the appropriate number of sampling points that can reduce the total number of DLA channels by an order of magnitude while maintaining a 5% error margin. In terms of impact ionization, since small cross-section DCA channels are insignificant, only a tiny portion of the DCA channels are required to preserve a 95% accuracy of the entire cross-section. It is possible to use the analytical Binary Encounter Bethe (BEB) formula to determine which DCA channels should be neglected before the computation to reduce computational costs. In terms of electron-impact excitation, just the cross-sections of the same excited subshells as the preserved ionized subshells, which are determined in the previous electron-impact ionization (EII) calculations, are needed. Finally, we compare our EII results with theoretical and experimental results. In the low incident electron energy range of below 2 keV, our results accord with the theoretical result of the 6s EII cross-section of the Ta atom and the experimental result of the total EII cross-section of the Ta1+ion. In the high energy range of below 150 keV, our results are also consistent with the theoretical result of the 1s EII cross-section of the Ta atom and the experimental result of the 1s EII cross-section of the Cu atom. Our results reasonably match the previous experimental and theoretical results in low-energy range and high-energy range, inner subshell and outer subshell, indicating the accuracy of our calculation. The proposed optimizing strategy can be applied to various medium- to high-Zelements and is compatible to most computation codes.
The atomic data of medium- and high-Zelements, such as electron-impact ionization and excitation cross-sections, possess extensive applications in fields such as fusion science and X-ray interactions with matter. There are atoms and ions in high energy density plasma, with different charge states and energy states ranging from ground states to highly excited states, and the cross-sections of each charge state and energy state need to be calculated. The bottlenecks limiting computational performance are the inevitable relativistic effects of medium- and high-Zelements and the extremely complex electronic configurations. Taking tantalum (Ta) for example, by using the relativistic Dirac-Fock theory and distorted wave model, we compute the electron-impact ionization and excitation cross-sections of Ta from the ground state atom up to Ta72+with the incident electron energy range of 1–150 keV. The detailed configuration accounting (DCA) reaction channel cross-sections are derived by summing and weighting the original detailed level accounting (DLA) cross-sections. After examining the data, two regularities are found. In terms of DLA, the pre-averaging DCA cross-sections have varying initial DLA energy levels but are typically close to each other. There is not a straightforward function that can explain the discrepancies between them. In terms of DCA, inner subshells typically contribute very little to the total cross-section as their ionization and excitation cross-sections are orders of magnitude smaller than those of outer subshells. We provide two techniques to reduce the computational costs based on the regularities. To minimize the total number of DLA reaction channels used in the computation, the initial DLA energy levels can be randomly sampled. Through a Monte Carlo numerical experiment, we determine the appropriate number of sampling points that can reduce the total number of DLA channels by an order of magnitude while maintaining a 5% error margin. In terms of impact ionization, since small cross-section DCA channels are insignificant, only a tiny portion of the DCA channels are required to preserve a 95% accuracy of the entire cross-section. It is possible to use the analytical Binary Encounter Bethe (BEB) formula to determine which DCA channels should be neglected before the computation to reduce computational costs. In terms of electron-impact excitation, just the cross-sections of the same excited subshells as the preserved ionized subshells, which are determined in the previous electron-impact ionization (EII) calculations, are needed. Finally, we compare our EII results with theoretical and experimental results. In the low incident electron energy range of below 2 keV, our results accord with the theoretical result of the 6s EII cross-section of the Ta atom and the experimental result of the total EII cross-section of the Ta1+ion. In the high energy range of below 150 keV, our results are also consistent with the theoretical result of the 1s EII cross-section of the Ta atom and the experimental result of the 1s EII cross-section of the Cu atom. Our results reasonably match the previous experimental and theoretical results in low-energy range and high-energy range, inner subshell and outer subshell, indicating the accuracy of our calculation. The proposed optimizing strategy can be applied to various medium- to high-Zelements and is compatible to most computation codes.
2024, 73(10): 103105.
doi:10.7498/aps.73.20240026
Abstract:
Thermoplasmonics originating from the relaxation process of plasmon resonances in nanostructures can be utilized as an efficient and highly localized heat source in solar-hydrogen conversion, but there have been few researches on the interfacial heat transport properties of photoelectrode with the thermoplasmonics effect in a photoelectrochemical water splitting system. In this work, the effects of temperature, interfacial coupling strength and the addition of graphene layers on the interfacial thermal conductance of Au-TiO2electrodes are investigated by the non-equilibrium molecular dynamics simulation, and the variation of interfacial thermal conductance is analyzed by the phonon density of states. The results show that the interfacial thermal conductivity is increased by 78.55% when the temperature increases from 300 to 800 K. This is related to the fact that more low-frequency phonons participate in the interface heat transport, allowing more heat to be transferred to TiO2to promote the interface reaction. As the coupling strength of the Au-TiO2interface increases, the interfacial thermal conductivity of the electrode increases and then tends to stabilize. The interfacial thermal conductivity can be optimized by increasing the degree of overlap of the phonon state densities of Au and TiO2. The addition of a single layer of graphene can increase the interfacial thermal conductivity to 98.072 MW⋅m–2⋅K–1, but the addition of 2 and 3 layers of graphene can hinder interfacial heat transfer in Au and TiO2due to the interaction between the layers of graphene. When adding graphene layer, medium-frequency phonons and high-frequency phonons are stimulated to participate in the interfacial heat transfer, but with the increase of the graphene layers, the number of low-frequency phonons in a range of 0—30 THz decreases, and these low-frequency phonons make the greatest contribution to the interfacial thermal conductivity. The obtained results are useful in regulating the thermal transport properties of the photoelectrode interface, which can provide new insights into and theoretical basis for the design and construction of composite photoelectrodes.
Thermoplasmonics originating from the relaxation process of plasmon resonances in nanostructures can be utilized as an efficient and highly localized heat source in solar-hydrogen conversion, but there have been few researches on the interfacial heat transport properties of photoelectrode with the thermoplasmonics effect in a photoelectrochemical water splitting system. In this work, the effects of temperature, interfacial coupling strength and the addition of graphene layers on the interfacial thermal conductance of Au-TiO2electrodes are investigated by the non-equilibrium molecular dynamics simulation, and the variation of interfacial thermal conductance is analyzed by the phonon density of states. The results show that the interfacial thermal conductivity is increased by 78.55% when the temperature increases from 300 to 800 K. This is related to the fact that more low-frequency phonons participate in the interface heat transport, allowing more heat to be transferred to TiO2to promote the interface reaction. As the coupling strength of the Au-TiO2interface increases, the interfacial thermal conductivity of the electrode increases and then tends to stabilize. The interfacial thermal conductivity can be optimized by increasing the degree of overlap of the phonon state densities of Au and TiO2. The addition of a single layer of graphene can increase the interfacial thermal conductivity to 98.072 MW⋅m–2⋅K–1, but the addition of 2 and 3 layers of graphene can hinder interfacial heat transfer in Au and TiO2due to the interaction between the layers of graphene. When adding graphene layer, medium-frequency phonons and high-frequency phonons are stimulated to participate in the interfacial heat transfer, but with the increase of the graphene layers, the number of low-frequency phonons in a range of 0—30 THz decreases, and these low-frequency phonons make the greatest contribution to the interfacial thermal conductivity. The obtained results are useful in regulating the thermal transport properties of the photoelectrode interface, which can provide new insights into and theoretical basis for the design and construction of composite photoelectrodes.
2024, 73(10): 103106.
doi:10.7498/aps.73.20240034
Abstract:
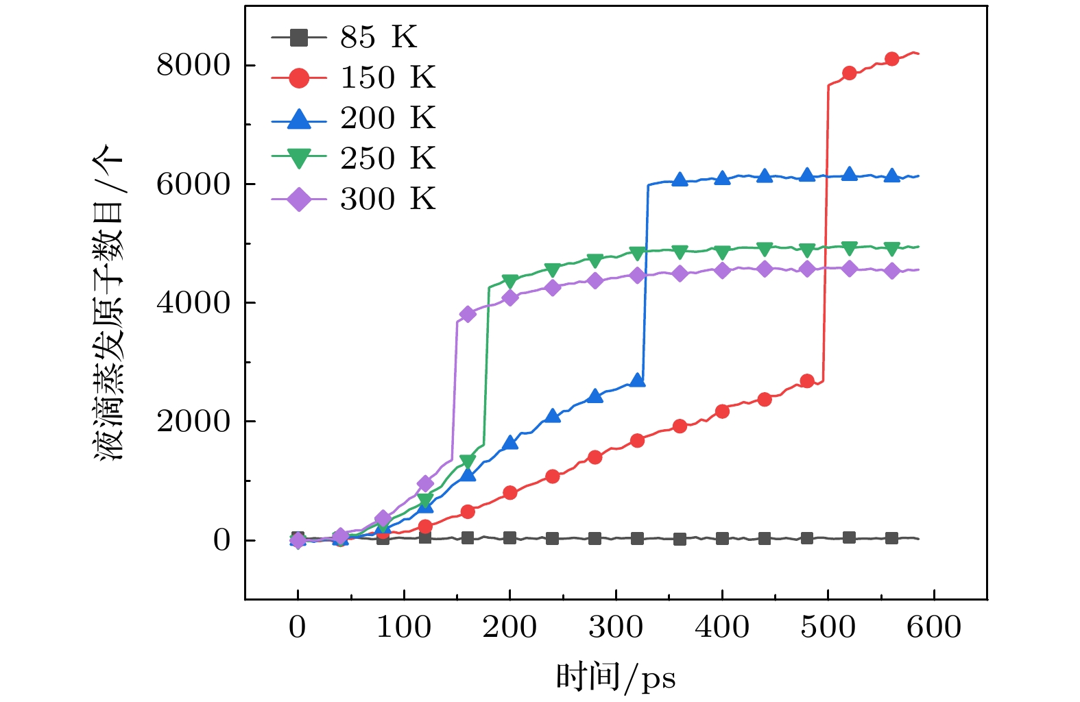
The process of droplet impacting on a high-temperature wall is widely existent in daily life and industrial applications. Most of scholars mainly have focused on experimental and macroscopic research on this phenomenon. In this work, molecular dynamics simulation is conducted to investigate the evolution of droplet and the influence of surface temperature on its evolution, in order to explore the heat transfer mechanism of nanodroplet impacting on high-temperature surface. Droplet containing 10741 argon atoms impacts on the copper plates at temperatures of 85, 150, 200, 250 and 300 K, respectively. The number of droplet evaporation atoms is statistically obtained, the droplet barycenter displacement is analyzed, and the density distribution and temperature distribution inside the droplet are acquired. It is shown that the droplet exhibits different characteristics on the wall at different temperatures. The droplet finally stabilizes on the wall at 85 K as shown in Fig. (a), but when the temperature of the wall rises to 150 K, the droplet evaporates slowly and finally completely as shown in Fig. (b), and for the wall temperatures 200, 250 and 300 K, the Leidenfrost phenomenon is found: the droplet is suspended above the wall as displayed in Figs. (c)–(e). Fig. (f) shows the number of evaporated atoms at different wall temperatures. It also can be seen that the Leidenfrost phenomenon occurs at wall temperatures 200, 250 and 300 K, because for the three conditions there are rise steps and then the numbers of evaporated atoms almost keep constant. For the temperature conditions under which the Leidenfrost phenomenon can occur, the higher the wall temperature, the faster the droplet evaporates, the earlier the detachment occurs from the wall, the greater the droplet detaching velocity, and the larger the final suspending droplet volume. The analyses of the density distribution and temperature distribution of the droplet at the moment when it detaches from the wall show that the evaporation process is faster and a thicker vapor layer is generated due to the higher heat flux of the high-temperature wall, which will hinder the heat exchange, so that the average temperature of the droplet is lower and the average density is smaller.
The process of droplet impacting on a high-temperature wall is widely existent in daily life and industrial applications. Most of scholars mainly have focused on experimental and macroscopic research on this phenomenon. In this work, molecular dynamics simulation is conducted to investigate the evolution of droplet and the influence of surface temperature on its evolution, in order to explore the heat transfer mechanism of nanodroplet impacting on high-temperature surface. Droplet containing 10741 argon atoms impacts on the copper plates at temperatures of 85, 150, 200, 250 and 300 K, respectively. The number of droplet evaporation atoms is statistically obtained, the droplet barycenter displacement is analyzed, and the density distribution and temperature distribution inside the droplet are acquired. It is shown that the droplet exhibits different characteristics on the wall at different temperatures. The droplet finally stabilizes on the wall at 85 K as shown in Fig. (a), but when the temperature of the wall rises to 150 K, the droplet evaporates slowly and finally completely as shown in Fig. (b), and for the wall temperatures 200, 250 and 300 K, the Leidenfrost phenomenon is found: the droplet is suspended above the wall as displayed in Figs. (c)–(e). Fig. (f) shows the number of evaporated atoms at different wall temperatures. It also can be seen that the Leidenfrost phenomenon occurs at wall temperatures 200, 250 and 300 K, because for the three conditions there are rise steps and then the numbers of evaporated atoms almost keep constant. For the temperature conditions under which the Leidenfrost phenomenon can occur, the higher the wall temperature, the faster the droplet evaporates, the earlier the detachment occurs from the wall, the greater the droplet detaching velocity, and the larger the final suspending droplet volume. The analyses of the density distribution and temperature distribution of the droplet at the moment when it detaches from the wall show that the evaporation process is faster and a thicker vapor layer is generated due to the higher heat flux of the high-temperature wall, which will hinder the heat exchange, so that the average temperature of the droplet is lower and the average density is smaller.
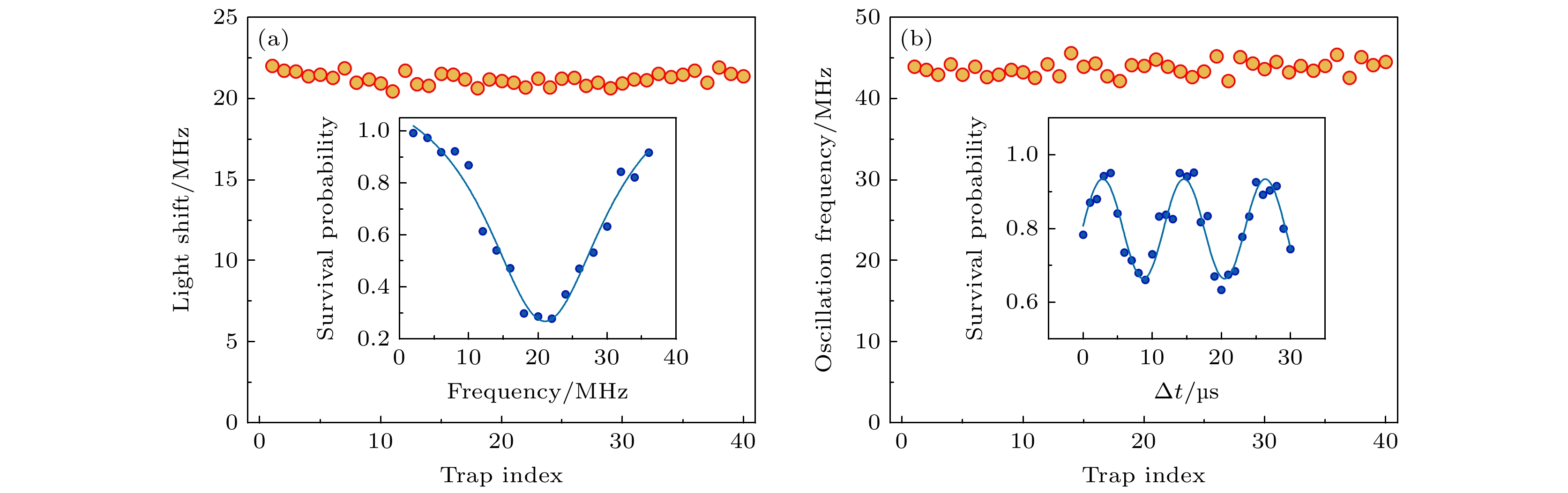
2024, 73(10): 103701.
doi:10.7498/aps.73.20240135
Abstract:
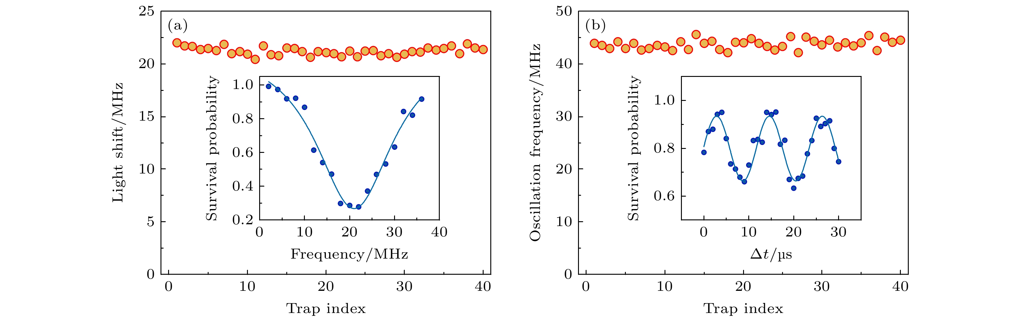
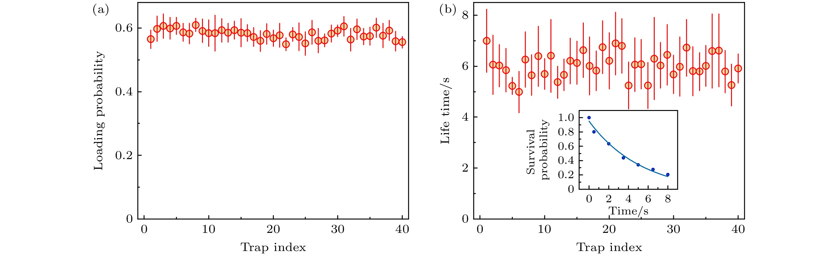
Neutral atom array serves as a crucial experimental platform for studying many-body physics, quantum computing, and quantum simulation. In this work, we describe in detail the experimental process of preparing a one-dimensional homogeneous single atom array containing 40 Cs atoms, including the dipole trap array generation device, atomic array fluorescence imaging, and the uniformity optimization of the dipole trap array. The beam waist of the dipole trap is about 1.8 μm, and the spatial resolution of the imaging system is higher than 1.55 μm. The non-uniformity of dipole trap array is mainly caused by the intermodulation effect of multi-tone signal during amplification. The uniformity of the dipole trap array is optimized to 2% (Fig. (a)) by measuring the fluctuations of the dipole trap intensity and the light shift of trapped atom, and providing feedback to adjust the phase and amplitude applied to the multi-tone RF signal on acousto-optic deflectors. Furthermore, the uniformity of oscillation frequency, loading rate, and lifetime for trapped atom in the dipole trap array are measured. These results show that oscillation frequency has a uniformity within 2% (Fig. (b)); mean loading rate is around 58% with a uniformity within 3%; and mean lifetime of single atom in dark trap is around 6(1) s with a uniformity within 8%.
Neutral atom array serves as a crucial experimental platform for studying many-body physics, quantum computing, and quantum simulation. In this work, we describe in detail the experimental process of preparing a one-dimensional homogeneous single atom array containing 40 Cs atoms, including the dipole trap array generation device, atomic array fluorescence imaging, and the uniformity optimization of the dipole trap array. The beam waist of the dipole trap is about 1.8 μm, and the spatial resolution of the imaging system is higher than 1.55 μm. The non-uniformity of dipole trap array is mainly caused by the intermodulation effect of multi-tone signal during amplification. The uniformity of the dipole trap array is optimized to 2% (Fig. (a)) by measuring the fluctuations of the dipole trap intensity and the light shift of trapped atom, and providing feedback to adjust the phase and amplitude applied to the multi-tone RF signal on acousto-optic deflectors. Furthermore, the uniformity of oscillation frequency, loading rate, and lifetime for trapped atom in the dipole trap array are measured. These results show that oscillation frequency has a uniformity within 2% (Fig. (b)); mean loading rate is around 58% with a uniformity within 3%; and mean lifetime of single atom in dark trap is around 6(1) s with a uniformity within 8%.
2024, 73(10): 104101.
doi:10.7498/aps.73.20240301
Abstract:
Traditionally, ion microbeam is produced by focusing or/and collimating to reduce the beam size to submicron level. The traditional setup for producing the microbeam consists of an expensive focusing and collimating system with a large space, based on electromagnetic fields. Meanwhile, the microbeam obtained through pure collimation of metal micro-tubes is limited by the fabrication processing, i.e. the size of beam spot is largely limited to a few microns and its manufacture is not as simple as that of a glass capillary. Inspired by early studies of the guiding effect, the use of inexpensive and easy-to-make glass capillaries as the tool for ion external microbeam production has become a new direction.
In this work, we use a glass capillary with an open outlet (108 μm in diameter), which serves as a vacuum differential and collimating component, to produce a 2.5 MeV-proton microbeam directly from the linear accelerator into the atmosphere for measurements. We measure the beam spot diameter and energy distribution of the microbeam as a function of the tilt angle of the capillary. We also conduct calculations and ion trajectory analysis on the scattering process of 2.5 MeV protons on the inner walls.
The measurement results show that when the tilt angle is around 0°, there are a direct transmission part that maintains the initial incident energy, and a scattering part with the energy loss in the microbeam. It is found that the proportion of directly transmitted protons and the beam spot size are highest near zero tilt angle. As the tilt angle increases, the beam spot diameter decreases; when the tilt angle is greater than the geometric angle, all the microbeams come from the scattering with the energy loss. The simulation combined with the ion trajectory analysis based on the scattering process can explain the experimental results. It is found that the large angle scattering determines the entire external microbeam spot, and the central region of the beam spot is composed of directly penetrating ions, whose size is determined by the geometric shape of the glass capillary, i.e. the outlet diameter and aspect ratio.
The natural advantage of producing external micobeames easily and inexpensively through glass capillaries is their relative safety and stable operation, and the last but not least point is to simply locate the microbeams on the sample without complex diagnostic tools. The microbeams are expected to be widely used in fields such as radiation biology, medicine, and materials.
2024, 73(10): 104201.
doi:10.7498/aps.73.20240176
Abstract:
The far-field super-resolution focusing devices possess characteristics such as super-resolution focusing, achromatic, small size and easy machining, which make them highly promising in optical imaging, optical microscopy and lithography. In this work, we propose a binary-amplitude modulation-based method for generating far-field super-resolution achromatic focusing. By using the principles of optical super-oscillation, combined with angular spectral diffraction theory and binary particle swarm optimization (BPSO), we optimize the binary amplitude-type far-field super-resolution focusing devices, which have an identical radius of 100λbut different focal lengths:λ1= 405 nm,λ2= 532 nm andλ3= 632.8 nm, respectively. Additionally, an achromatic metalens is integrated by using Boolean AND operation. To assess the feasibility of our proposed approach, numerical simulations are conducted via COMSOL Multiphysics employing FEM analysis. The simulation results demonstrate that the generated spots are located at 25.105λ, 25.106λ, and 25.105λ, respectively. The corresponding full width at half maximum (FWHM) values are 0.441λ1(0.179 μm), 0.469λ2(0.249 μm) and 0.427λ3(0.270 μm), which are smaller than the Abbe diffraction limit, and the far-field super-resolution achromatic focusing is realized. The sidelobe ratios are at low levels, i.e. 12.5%, 12.6%, and 14.2%. The binary amplitude-type far-field super-resolution achromatic devices have the advantages of easy machining, achromatism and super-resolution, and are suitable for miniaturization and integration of optical systems.
The far-field super-resolution focusing devices possess characteristics such as super-resolution focusing, achromatic, small size and easy machining, which make them highly promising in optical imaging, optical microscopy and lithography. In this work, we propose a binary-amplitude modulation-based method for generating far-field super-resolution achromatic focusing. By using the principles of optical super-oscillation, combined with angular spectral diffraction theory and binary particle swarm optimization (BPSO), we optimize the binary amplitude-type far-field super-resolution focusing devices, which have an identical radius of 100λbut different focal lengths:λ1= 405 nm,λ2= 532 nm andλ3= 632.8 nm, respectively. Additionally, an achromatic metalens is integrated by using Boolean AND operation. To assess the feasibility of our proposed approach, numerical simulations are conducted via COMSOL Multiphysics employing FEM analysis. The simulation results demonstrate that the generated spots are located at 25.105λ, 25.106λ, and 25.105λ, respectively. The corresponding full width at half maximum (FWHM) values are 0.441λ1(0.179 μm), 0.469λ2(0.249 μm) and 0.427λ3(0.270 μm), which are smaller than the Abbe diffraction limit, and the far-field super-resolution achromatic focusing is realized. The sidelobe ratios are at low levels, i.e. 12.5%, 12.6%, and 14.2%. The binary amplitude-type far-field super-resolution achromatic devices have the advantages of easy machining, achromatism and super-resolution, and are suitable for miniaturization and integration of optical systems.
2024, 73(10): 104202.
doi:10.7498/aps.73.20231902
Abstract:
The realization of fast and high-quality three-dimensional particle-field image characterization is always highly desired in the areas, such as experimental fluid mechanics and biomedicine, for the micro-particle distribution status in a flow-field can characterize the field properties well. In the particle-field image reconstruction and characterization, a wildly used approach at present is the computed tomography. The great advantage of the computed tomography for particle-field image reconstruction lies in the fact that the full particle spatial distribution can be obtained and presented due to multi-angle sampling.
Recently, with the development and application of deep learning technique in computed tomography, the image quality has been greatly improved by the powerful learning ability of a deep learning network. In addition, the deep learning application also makes it possible to speed up the computed tomographic imaging process from sparse-sampling due to the ability of the network to strongly extract image feature. However, sparse-sampling will lead to insufficient acquirement of the object information during sampling for the computed tomography. Therefore, a sort of artifact noise will emerge and be accompanied with the reconstructed images, and thus severely affecting the image quality. As there is no universal network approach that can be applied to all types of objects in the suppression of artifact noise, it is still a challenge in removing the sparse-sampling-induced artifact noise in the computed tomography now.
Therefore, we propose and develop a specific lightweight residual and enhanced convergence neural network (LREC-net) approach for suppressing the artifact noise in the particle-field computed tomography. In this method, the network input dataset is also optimized in signal-to-noise ratio (SNR) in order to reduce the input noise and ensure the effective particle image feature extraction of the network in the imaging process.
In the design of LREC-net architecture, a five-layer lightweight and dual-residual down-sampling is constructed on the basis of typical U-net and Resnet50, making the LREC-net more suitable for the particle-field image reconstruction. Moreover, a fast feature convergence module for rapid particle-field feature acquirement is added to up-sampling process of the network to further promote the network processing efficiency. Apart from the design of LREC-net network itself, the optimization of network input dataset in SNR of images is achieved by finding a fit image reconstruction algorithm that can produce higher-SNR particle images in the computed tomography. This achievement reduces the input noise as much as possible and ensures effective particle-field feature extraction by the network.
The simulation analysis and experimental test demonstrate the effectiveness of the proposed LREC-net method, which involves the evaluations of SNR changes of the input-output images through the network, the proportion of residual artifact noise as ghost-particles (GPP) in the reconstructed images, and the valid-particle loss proportion (PLP). In contrast to the performances of U-net and Resnet50 under the same imaging conditions, all the data in SNR, GPP and PLP show the great improvement of the image quality due to the application of LREC-net method. Meanwhile, the designed LREC-net method also enhances the network running efficiency to a large extent due to the remarkable reduction of training time. Therefore, this work provides a new and effective approach for developing sparse-sampling-based fast and high-quality particle-field computed tomography.
2024, 73(10): 104203.
doi:10.7498/aps.73.20240233
Abstract:
Open quantum system, coupled with an external bath is a key research field of quantum physics. Steady state is the state in which any initial state converges after a long time and is usually of the most interest. However, relatively speaking, the nonequilibrium dynamical processes of quantum many-body systems have been rarely studied. This is mainly due to the fact that quantum many-body systems generally have interactions, and the Hilbert space required for a complete description of their dynamical processes will grow exponentially with the number of particles increasing, and the computational difficulty will increase dramatically as well. Hence, it is a difficult problem to completely describe their dynamical processes completely. With the development of quantum technologies, the interest in the nonequilibrium dynamics of open quantum many-body systems is aroused. A common phenomenon is the metastable state, where the system initially relaxes into a long-lived state and then converges to the final stationary state for a longer time. In this paper, we establish a low-dimensional approximation to describe the metastability dynamics in Markovian open quantum system, based on the spectra of the Liouvillian super-operator. The separation of time scales implies a splitting in the spectrum, and this spectral division allows us to eliminate the fast decay modes by using the perturbation method, and then we establish the effective description in the low-lying eigenmodes subspace. Furthermore, we study the dynamics process of the Rydberg atomic system under electromagnetically induced transparency (EIT) conditions and find that the system can handle metastable dynamics if the atomic interactions are considered. We compare the effective dynamics in the subspace with the actual dynamics in the full space, and the results show that the effective dynamics works well on condition that the perturbation approximation holds. Our work provides a feasible idea and method for establishing an effective and simplified description of the dynamical process of open quantum many-body systems.
Open quantum system, coupled with an external bath is a key research field of quantum physics. Steady state is the state in which any initial state converges after a long time and is usually of the most interest. However, relatively speaking, the nonequilibrium dynamical processes of quantum many-body systems have been rarely studied. This is mainly due to the fact that quantum many-body systems generally have interactions, and the Hilbert space required for a complete description of their dynamical processes will grow exponentially with the number of particles increasing, and the computational difficulty will increase dramatically as well. Hence, it is a difficult problem to completely describe their dynamical processes completely. With the development of quantum technologies, the interest in the nonequilibrium dynamics of open quantum many-body systems is aroused. A common phenomenon is the metastable state, where the system initially relaxes into a long-lived state and then converges to the final stationary state for a longer time. In this paper, we establish a low-dimensional approximation to describe the metastability dynamics in Markovian open quantum system, based on the spectra of the Liouvillian super-operator. The separation of time scales implies a splitting in the spectrum, and this spectral division allows us to eliminate the fast decay modes by using the perturbation method, and then we establish the effective description in the low-lying eigenmodes subspace. Furthermore, we study the dynamics process of the Rydberg atomic system under electromagnetically induced transparency (EIT) conditions and find that the system can handle metastable dynamics if the atomic interactions are considered. We compare the effective dynamics in the subspace with the actual dynamics in the full space, and the results show that the effective dynamics works well on condition that the perturbation approximation holds. Our work provides a feasible idea and method for establishing an effective and simplified description of the dynamical process of open quantum many-body systems.
2024, 73(10): 104204.
doi:10.7498/aps.73.20231643
Abstract:
As an important part of optical sources, nanolasers have a prominent influence in photonic circuit integration, and their nonlinear dynamics has become one of the research hotspots in recent years. In this work, we investigate the time-delay signature and bandwidth characteristics in a cascade-coupled nanolaser system, in which the master nanolaser is connected to an external feedback cavity and injected into the intermediate nanolaser and the slave nanolaser sequentially. The 0-1 chaos test is introduced to quantify the dynamics of the nanolaser, which can accurately distinguish whether the laser is in a chaotic state, and the autocorrelation function is used to analyze the time-delay characteristics in the laser output signal. This type of calculation has the advantages of fast operation speed, high accuracy and anti-noise robustness. The lower the autocorrelation value, the more difficult it is to extract useful information from the chaotic random sequence. The bandwidth is defined as a value where the range between DC and frequency contains 80% of the spectral power, a value that is only applicable to chaotic states. In the simulation, we compare and analyze the two cases of whether the intermediate nanolaser has a peak with obvious time-delay signature. The research results show that by selecting appropriate system parameters, the slave nanolaser can always output a broadband chaotic signal without obvious time-delay signature. Under the condition of a certain injection intensity, by changing the frequency detuning parameter, the intermediate nanolaser has an obvious time-delay signature, and then the slave nano-laser can output chaotic signals which can suppress time-delay signature and enhance bandwidth in a small parameter interval. When the time-delay signal of the intermediate nanolaser is completely hidden, the slave nanolaser can achieve the suppression of the time-delay signature in a larger parameter plane, meanwhile the bandwidth is significantly enhanced. In addition, by plotting the two-dimensional spatial distribution diagram and bandwidth line diagram of the output from the nanolaser under frequency detuning and injection intensity, it is determined that the nanolaser can simultaneously suppress the delay characteristics and enhance the bandwidth under chaotic signals. This provides an important theoretical basis for realizing the practical applications in secrecy-enhanced chaotic optical communication.
As an important part of optical sources, nanolasers have a prominent influence in photonic circuit integration, and their nonlinear dynamics has become one of the research hotspots in recent years. In this work, we investigate the time-delay signature and bandwidth characteristics in a cascade-coupled nanolaser system, in which the master nanolaser is connected to an external feedback cavity and injected into the intermediate nanolaser and the slave nanolaser sequentially. The 0-1 chaos test is introduced to quantify the dynamics of the nanolaser, which can accurately distinguish whether the laser is in a chaotic state, and the autocorrelation function is used to analyze the time-delay characteristics in the laser output signal. This type of calculation has the advantages of fast operation speed, high accuracy and anti-noise robustness. The lower the autocorrelation value, the more difficult it is to extract useful information from the chaotic random sequence. The bandwidth is defined as a value where the range between DC and frequency contains 80% of the spectral power, a value that is only applicable to chaotic states. In the simulation, we compare and analyze the two cases of whether the intermediate nanolaser has a peak with obvious time-delay signature. The research results show that by selecting appropriate system parameters, the slave nanolaser can always output a broadband chaotic signal without obvious time-delay signature. Under the condition of a certain injection intensity, by changing the frequency detuning parameter, the intermediate nanolaser has an obvious time-delay signature, and then the slave nano-laser can output chaotic signals which can suppress time-delay signature and enhance bandwidth in a small parameter interval. When the time-delay signal of the intermediate nanolaser is completely hidden, the slave nanolaser can achieve the suppression of the time-delay signature in a larger parameter plane, meanwhile the bandwidth is significantly enhanced. In addition, by plotting the two-dimensional spatial distribution diagram and bandwidth line diagram of the output from the nanolaser under frequency detuning and injection intensity, it is determined that the nanolaser can simultaneously suppress the delay characteristics and enhance the bandwidth under chaotic signals. This provides an important theoretical basis for realizing the practical applications in secrecy-enhanced chaotic optical communication.
2024, 73(10): 104205.
doi:10.7498/aps.73.20240040
Abstract:
Valley photonic crystals represent a cornerstone in the field of topological photonics, which promotes the development of cutting-edge photonic waveguides. These waveguides support robust transmission by using valley-dependent edge states. This innovation marks a great leap forward in enhancing transmission efficiency, (especially in sharp bends), thus opening up a new way for efficient optical information transmission. However, although the role of symmetry in topology and photonic crystals cannot be exaggerated, it is worth noting that valley photonic crystals provide a unique platform for exploring the interplay between symmetry and topological phenomena. An intriguing analogy between valley photonic crystals and the quantum valley Hall effect is an example, which will be shown when the symmetry of spatial inversion is broken. At present, the characteristic of most valley photonic crystals isC3-rotational symmetry, which leads to an interesting study, that is, whether crystals with lower symmetry can also support topological light transmission. In order to solve this problem head-on, our work focuses on constructing and characterizing valley photonic crystals with low symmetry by carefully adjusting the unit cell morphology. Through theoretical analysis and numerical simulation, we unveil the remarkable ability of these low-symmetry valley photonic crystals to facilitate topological light transport. Initially, we analyze the bulk bands of these low-symmetry crystals, observing a narrowed photonic band gap and a shift in the irreducible Brillouin zone compared withC3-rotation symmetric crystals. To examine edge state transmission, we calculate dispersion relations and electric field distributions, revealing two edge states with opposite phase chirality at the same frequency. Using this point, we achieve unidirectional excitation of edge states. Additionally, we manipulate the refractive index of the surrounding medium and explore various scenarios of external light beam coupling. Moreover, we investigate the robust transmission of edge states, demonstrating smooth passage of light through sharp corners inZ-shaped bend waveguides without backscattering. In conclusion, our findings underscore the pivotal role played by edge states in facilitating unidirectional excitation and robust transmission in low-symmetry valley photonic crystals. By enriching the diversity of topological photonic structures and providing valuable insights into the behavior of topological light transport in structures with lower symmetry, our work contributes to the ongoing quest for novel photonic platforms with enhanced functions and performance.
Valley photonic crystals represent a cornerstone in the field of topological photonics, which promotes the development of cutting-edge photonic waveguides. These waveguides support robust transmission by using valley-dependent edge states. This innovation marks a great leap forward in enhancing transmission efficiency, (especially in sharp bends), thus opening up a new way for efficient optical information transmission. However, although the role of symmetry in topology and photonic crystals cannot be exaggerated, it is worth noting that valley photonic crystals provide a unique platform for exploring the interplay between symmetry and topological phenomena. An intriguing analogy between valley photonic crystals and the quantum valley Hall effect is an example, which will be shown when the symmetry of spatial inversion is broken. At present, the characteristic of most valley photonic crystals isC3-rotational symmetry, which leads to an interesting study, that is, whether crystals with lower symmetry can also support topological light transmission. In order to solve this problem head-on, our work focuses on constructing and characterizing valley photonic crystals with low symmetry by carefully adjusting the unit cell morphology. Through theoretical analysis and numerical simulation, we unveil the remarkable ability of these low-symmetry valley photonic crystals to facilitate topological light transport. Initially, we analyze the bulk bands of these low-symmetry crystals, observing a narrowed photonic band gap and a shift in the irreducible Brillouin zone compared withC3-rotation symmetric crystals. To examine edge state transmission, we calculate dispersion relations and electric field distributions, revealing two edge states with opposite phase chirality at the same frequency. Using this point, we achieve unidirectional excitation of edge states. Additionally, we manipulate the refractive index of the surrounding medium and explore various scenarios of external light beam coupling. Moreover, we investigate the robust transmission of edge states, demonstrating smooth passage of light through sharp corners inZ-shaped bend waveguides without backscattering. In conclusion, our findings underscore the pivotal role played by edge states in facilitating unidirectional excitation and robust transmission in low-symmetry valley photonic crystals. By enriching the diversity of topological photonic structures and providing valuable insights into the behavior of topological light transport in structures with lower symmetry, our work contributes to the ongoing quest for novel photonic platforms with enhanced functions and performance.
2024, 73(10): 104206.
doi:10.7498/aps.73.20231885
Abstract:
Space coherent optical communication technology is considered to be an important way to overcome the bottleneck in current high-speed space communication. However, atmospheric turbulence seriously limits its realization. Based on the Huygens-Fresnel principle and the low-frequency compensation power spectrum inversion method, this work first investigates the random distribution characteristics of the amplitude and phase of a Gaussian beam after it has been transmitted through atmospheric turbulence. Then, using the coherent mixing efficiency and communication bit error rate model, the influence of atmospheric turbulence on the performance of spatial coherent optical communication systems is obtained. Finally, a laser heterodyne detection experimental system is built to quantitatively study the influence of atmospheric turbulence on the coherent detection performance of spatial coherent optical communication. The conclusions drawn from this study are as follows. 1) The spatial phase distortion caused by the weak turbulence channel is relatively small and will hardly affect the light intensity distribution characteristics of the Gaussian beam. In the case of weak turbulence, the influence of weak turbulence on the performance of coherent optical communication system is almost negligible. The communication bit error rate will decrease rapidly with the increase of the number of single bit data photons. The communication signal-to-noise ratio can be better than 10–5when the number of single-bit photons is greater than 10. 2) Moderate turbulence will change the intensity distribution characteristics of the Gaussian beam, but will not cause a serious shift in the center of the spot. Under moderate turbulence conditions, the coherent mixing efficiency decreases rapidly as the turbulence intensity continues to increase, but the communication bit error rate still decreases rapidly with the increase of the number of single bit data photons. At this time, increasing the number of single-bit photons can suppress the negative influence of moderate intensity turbulence on the performance of coherent optical communication systems. 3) Strong turbulence will cause severe spatial phase distortion of the beam, destroy the consistency of the light intensity distribution, and cause a serious shift in the center of the spot. Under strong turbulence conditions, the coherent mixing efficiency of coherent optical communication systems approaches zero, and increasing the number of single bit data photons cannot significantly reduce the bit error rate, seriously affecting the quality of coherent optical communication. Atmospheric turbulence is an important limiting factor for developing space coherent optical communication. This study can provide useful references for evaluating the performance of space coherent optical communication systems.
Space coherent optical communication technology is considered to be an important way to overcome the bottleneck in current high-speed space communication. However, atmospheric turbulence seriously limits its realization. Based on the Huygens-Fresnel principle and the low-frequency compensation power spectrum inversion method, this work first investigates the random distribution characteristics of the amplitude and phase of a Gaussian beam after it has been transmitted through atmospheric turbulence. Then, using the coherent mixing efficiency and communication bit error rate model, the influence of atmospheric turbulence on the performance of spatial coherent optical communication systems is obtained. Finally, a laser heterodyne detection experimental system is built to quantitatively study the influence of atmospheric turbulence on the coherent detection performance of spatial coherent optical communication. The conclusions drawn from this study are as follows. 1) The spatial phase distortion caused by the weak turbulence channel is relatively small and will hardly affect the light intensity distribution characteristics of the Gaussian beam. In the case of weak turbulence, the influence of weak turbulence on the performance of coherent optical communication system is almost negligible. The communication bit error rate will decrease rapidly with the increase of the number of single bit data photons. The communication signal-to-noise ratio can be better than 10–5when the number of single-bit photons is greater than 10. 2) Moderate turbulence will change the intensity distribution characteristics of the Gaussian beam, but will not cause a serious shift in the center of the spot. Under moderate turbulence conditions, the coherent mixing efficiency decreases rapidly as the turbulence intensity continues to increase, but the communication bit error rate still decreases rapidly with the increase of the number of single bit data photons. At this time, increasing the number of single-bit photons can suppress the negative influence of moderate intensity turbulence on the performance of coherent optical communication systems. 3) Strong turbulence will cause severe spatial phase distortion of the beam, destroy the consistency of the light intensity distribution, and cause a serious shift in the center of the spot. Under strong turbulence conditions, the coherent mixing efficiency of coherent optical communication systems approaches zero, and increasing the number of single bit data photons cannot significantly reduce the bit error rate, seriously affecting the quality of coherent optical communication. Atmospheric turbulence is an important limiting factor for developing space coherent optical communication. This study can provide useful references for evaluating the performance of space coherent optical communication systems.
2024, 73(10): 104207.
doi:10.7498/aps.73.20240171
Abstract:
The wide range, high precision, and dynamic real-time measurement of micro-/nanofiber diameter are crucial for achieving low loss transmission and controlling dispersion in the preparation process of micro-nanofiber. In view of the problems of small diameter regulation range, complex operation and long-time consumption of the existing preparation methods, the automatic detection system of micro-nanofiber is realized based on deep learning neural network algorithm in this work. The image segmentation method in computer vision is used to make high-quality multi-scale micro-/nanofiber datasets, and the improved YOLOv8-FD (You Only Look Once version 8-Fiber Detection) algorithm based on small target detection is used to automatically detect the diameter of micro-nanofiber.
Through image segmentation and identification of the target of single pixel size in the microscopic image, the diameter detection of micro-nanofiber is finally realized. In this process, the real-time diameter of micro-nanofiber is obtained through image information, and then the micro-nanofiber small target is accurately segmented to achieve the precise detection of mAP
IoU
=50= 0.975 and mAP
IoU
=50—95= 0.765 on the micro-nanofiber multi-scale target dataset with extremely high accuracy. The algorithm-based construction of a high-precision micro-nanofiber automatic preparation system enables real-time accurate segmentation of fiber edges, calculation of fiber diameter, and feedback to the control system for achieving automated preparation of fibers with arbitrary diameters. Additionally, it facilitates the detection of micro-nanofiber in a range from 462 nm to 125 μm. The average response time for reasoning is 9.6 ms, and the detection error is kept below 2.95%.
In addition, compared with other micro-/nanofiber diameter detection methods based on optical imaging and mode cutoff, this method shows advantages of high precision, high speed and arbitrary diameter preparation for diameter detection based on deep learning neural networks. The system is very suitable for high-precision real-time measurement and automatic and accurate preparation of micro-/nanofibers, thereby providing a novel method of developing micro-nanofiber devices with low-loss transmission and adjustable dispersion.
2024, 73(10): 104401.
doi:10.7498/aps.73.20231953
Abstract:
The heat transfer of supercritical pseudo-boiling has been preliminarily studied, but the definition of gas-liquid interface is still not unified. The fluid-structure coupling numerical simulation of heat transfer characteristics in supercritical CO2pool is carried out by using laminar flow model. Platinum wire is the heating element, with diameterd= 70 μm. The heat flux densityqwis in a range of 0–2000 kW/m2, and the pressurePis in a range of 8–10 MPa. Multi-scale mesh is used to model the heating wire, and simulation values accord well with the experimental data. The results show that due to the increase of the circumferential average Rayleigh numberRaaveof the heating filament withqw, the characteristic of the natural convection zone is thathincreases withqw. The temperatures of the four characteristic working conditions in the evaporation-like zone show a downward trend along therdirection. Through analogy with subcritical heat transfer and by calculating the thermal conductivity ratioQcon/Qt, the supercritical is divided into three regions,T<TLis liquid-like region (LL),TL<T<TMis two-phase-like region (TPL),T>TMis vapor-like region (VL). The rule is the same as that ofxpartition according to supercritical pseudo-boiling dryness. According to the curves of average thermal conductivityλaveand thermal resistanceRGversus heat fluxqw, determined by calculating thermal conductivity ratio, the variation law of heat transfer coefficienthwithqwin evaporation-like region can be well explained, asqwincreases, the thermal conductivity thermal resistanceRGincreases, and the heat from the heating filament is difficult to transfer to the fluid outside the vapor-like membrane, leading the heat transfer coefficienthto decrease whenqA<qw<qC, and a significant increase inλavewhenqw>qC, and the recovery of heat transfer whenhrises again. In this paper, a new method of determining the gas-liquid interface of supercritical pool heat transfer is proposed. This method can effectively explain the heat transfer mechanism in the evaporation-like zone, and provide a theoretical basis for developing supercritical pool heat transfer in the future.
The heat transfer of supercritical pseudo-boiling has been preliminarily studied, but the definition of gas-liquid interface is still not unified. The fluid-structure coupling numerical simulation of heat transfer characteristics in supercritical CO2pool is carried out by using laminar flow model. Platinum wire is the heating element, with diameterd= 70 μm. The heat flux densityqwis in a range of 0–2000 kW/m2, and the pressurePis in a range of 8–10 MPa. Multi-scale mesh is used to model the heating wire, and simulation values accord well with the experimental data. The results show that due to the increase of the circumferential average Rayleigh numberRaaveof the heating filament withqw, the characteristic of the natural convection zone is thathincreases withqw. The temperatures of the four characteristic working conditions in the evaporation-like zone show a downward trend along therdirection. Through analogy with subcritical heat transfer and by calculating the thermal conductivity ratioQcon/Qt, the supercritical is divided into three regions,T<TLis liquid-like region (LL),TL<T<TMis two-phase-like region (TPL),T>TMis vapor-like region (VL). The rule is the same as that ofxpartition according to supercritical pseudo-boiling dryness. According to the curves of average thermal conductivityλaveand thermal resistanceRGversus heat fluxqw, determined by calculating thermal conductivity ratio, the variation law of heat transfer coefficienthwithqwin evaporation-like region can be well explained, asqwincreases, the thermal conductivity thermal resistanceRGincreases, and the heat from the heating filament is difficult to transfer to the fluid outside the vapor-like membrane, leading the heat transfer coefficienthto decrease whenqA<qw<qC, and a significant increase inλavewhenqw>qC, and the recovery of heat transfer whenhrises again. In this paper, a new method of determining the gas-liquid interface of supercritical pool heat transfer is proposed. This method can effectively explain the heat transfer mechanism in the evaporation-like zone, and provide a theoretical basis for developing supercritical pool heat transfer in the future.
2024, 73(10): 104701.
doi:10.7498/aps.73.20240128
Abstract:
With the continuous upgrading of hypersonic vehicles, a new requirement for designing imaging window i.e. conformal window for improving aerodynamic characteristics, is put forward, in which the supersonic cooling film and optical window are required to maintain the same curvature shape as the aircraft body. In this work, the mixed-layer flow evolution on a convex wall (CV) is investigated. A nanoparticle-based planar laser scattering technique is used to design the flow field structure of the mixed layer inMa= 6 hypersonic static wind tunnel, and the location of the mixed-layer instability is studied by combing fractal dimension. The results of pressure, and impulse of compression (Ip) evolution along the flow direction are obtained by numerical simulation, showing that the total incoming pressure (P0) has a significant effect on the flow evolution of the mixed layer: asP0increases, the ratio of static pressure (RSP) decreases, that the position of the mixed-layer instability is delayed, and that the flow velocity of the typical vortex structure increases. The favorable gradient existing at the CV wallleads the pressure to drop along the flow direction, and the pressure is enhanced when the supersonic air film along the tangential direction of the wall is under the operating condition. However, asP0increases, the RSP decreases, and the lifting effect of the pressure on the CV decreases. The flow field is affected by the expansion effect of the CV, andIpdecreases along the flow direction. The supersonic air film can weaken the expansion effect on the CV and thus suppressing the decrease ofIp. The change rate ofIp(ΔIp) is significantly affected byP0, in a range of bending impulse |IΦ| = 0.191–3.62, ΔIpdecreases from 178.67% to 12.02% whenP0= 0.5 MPa, and ΔIpdecreases from 40.38% to 5.64% whenP0= 1.0 MPa. ΔIpdecreases as |IΦ| increases, but the decrease becomes less asP0increases. The results reveal the flow evolution law of hypersonic mixed layer under the influence of convex curvature, and provide a certain reference for designing the shape of hypersonic vehicle to achieve aerodynamic drag reduction and thermal protection characteristics.
With the continuous upgrading of hypersonic vehicles, a new requirement for designing imaging window i.e. conformal window for improving aerodynamic characteristics, is put forward, in which the supersonic cooling film and optical window are required to maintain the same curvature shape as the aircraft body. In this work, the mixed-layer flow evolution on a convex wall (CV) is investigated. A nanoparticle-based planar laser scattering technique is used to design the flow field structure of the mixed layer inMa= 6 hypersonic static wind tunnel, and the location of the mixed-layer instability is studied by combing fractal dimension. The results of pressure, and impulse of compression (Ip) evolution along the flow direction are obtained by numerical simulation, showing that the total incoming pressure (P0) has a significant effect on the flow evolution of the mixed layer: asP0increases, the ratio of static pressure (RSP) decreases, that the position of the mixed-layer instability is delayed, and that the flow velocity of the typical vortex structure increases. The favorable gradient existing at the CV wallleads the pressure to drop along the flow direction, and the pressure is enhanced when the supersonic air film along the tangential direction of the wall is under the operating condition. However, asP0increases, the RSP decreases, and the lifting effect of the pressure on the CV decreases. The flow field is affected by the expansion effect of the CV, andIpdecreases along the flow direction. The supersonic air film can weaken the expansion effect on the CV and thus suppressing the decrease ofIp. The change rate ofIp(ΔIp) is significantly affected byP0, in a range of bending impulse |IΦ| = 0.191–3.62, ΔIpdecreases from 178.67% to 12.02% whenP0= 0.5 MPa, and ΔIpdecreases from 40.38% to 5.64% whenP0= 1.0 MPa. ΔIpdecreases as |IΦ| increases, but the decrease becomes less asP0increases. The results reveal the flow evolution law of hypersonic mixed layer under the influence of convex curvature, and provide a certain reference for designing the shape of hypersonic vehicle to achieve aerodynamic drag reduction and thermal protection characteristics.
2024, 73(10): 104301.
doi:10.7498/aps.73.20240298
Abstract:
Underwater acoustics has wide applications in underwater communication, underwater positioning, underwater navigation, and so on. Inspired by the concept of topological physics, the study of topological states in waterborne phononic crystals provides a brand-new way for innovatively controlling underwater waves, which has both basic research value and important application prospects. In this work, we design a one-dimensional bilayer iron grid waterborne phononic crystal to realize a synthetic two-dimensional Dirac point by considering the relative lateral translation between the two layers as a synthetic dimension. Through changing the relative lateral translation, the double degenerate band opens a gap, which is characterized by the valley Chern number. As the band gap opens, closes and reopens, the bulk band undergoes a band inversion, that is, a topological phase transition from one valley topological phase to another. At the interface formed by two phononic crystals with distinct valley topological phases, the valley Chen number ensures the deterministic existence of the interface state. Experimental measurements are in good agreement with numerical simulations, both showing the bulk bands of waterborne phononic crystals at different valley topological phases and the interface state dispersion between them. The waterborne phononic crystal proposed in this work has a simple structure. With the help of the concept of synthetic dimension, it provides an effective way to study the topological properties of high-dimensional systems in low-dimensional real space systems, and gives new ideas for designing topological functional underwater acoustic devices. In addition, we can expand the real space system to two or even three dimensions, and introduce more synthetic dimensions to study the topological states and associated transport characteristics of higher-dimensional systems.
Underwater acoustics has wide applications in underwater communication, underwater positioning, underwater navigation, and so on. Inspired by the concept of topological physics, the study of topological states in waterborne phononic crystals provides a brand-new way for innovatively controlling underwater waves, which has both basic research value and important application prospects. In this work, we design a one-dimensional bilayer iron grid waterborne phononic crystal to realize a synthetic two-dimensional Dirac point by considering the relative lateral translation between the two layers as a synthetic dimension. Through changing the relative lateral translation, the double degenerate band opens a gap, which is characterized by the valley Chern number. As the band gap opens, closes and reopens, the bulk band undergoes a band inversion, that is, a topological phase transition from one valley topological phase to another. At the interface formed by two phononic crystals with distinct valley topological phases, the valley Chen number ensures the deterministic existence of the interface state. Experimental measurements are in good agreement with numerical simulations, both showing the bulk bands of waterborne phononic crystals at different valley topological phases and the interface state dispersion between them. The waterborne phononic crystal proposed in this work has a simple structure. With the help of the concept of synthetic dimension, it provides an effective way to study the topological properties of high-dimensional systems in low-dimensional real space systems, and gives new ideas for designing topological functional underwater acoustic devices. In addition, we can expand the real space system to two or even three dimensions, and introduce more synthetic dimensions to study the topological states and associated transport characteristics of higher-dimensional systems.
2024, 73(10): 105201.
doi:10.7498/aps.73.20231862
Abstract:
Magnetoplasma rocket engine has a broad application prospect in the deep space exploration, manned space flight and other space missions. The ion energy is converted into the directed velocity in the magnetic nozzle of the engine. The investigation into the detachment process of the plasma with the magnetic field is of great significance for improving the engine propulsion efficiency. However, there are roughly five kinds of physical mechanisms which can all contribute to the detachment process and make the detachment in the magnetic nozzle quite complicated. Furthermore, the ion temperature is much higher than the electron temperature in the magnetic nozzle of the magnetoplasma rocket engine due to the heating effect of the ion cyclotron resonance stage. As a result, previous numerical model which were based on the assumption of cold ions are unapplicable for the simulation of the engine. In this work, a fluid simulation model is developed which is used for simulating the magnetic nozzle in the magnetoplasma rocket engine. The model includes the electron and the ion of single charge. For the characteristics of the magnetoplasma rocket engine, the ion energy equation is added into the governing equations. In order to analyze the effect of the inertial detachment, the static electric field due to the charge separation is also included. The simulations are performed under the conditions of different inlet ion temperatures and background magnetic fields. The results show that the ion axial velocity gradually increases in the magnetic nozzle and the ion stream lines detach from the magnetic field lines gradually. The loss of adiabaticity is the dominant mechanism in the detachment process. The ion axial velocity increases with the inlet ion temperature rising, and the ion streamlines detach earlier from the magnetic field lines. The resistive diffusion is unaffected by the inlet ion temperature while the detachment interfaces of other three mechanisms all move toward the upstream. With the increase of the background magnetic field, ion axial velocity decreases and the angle included between the streamline and the axis becomes smaller. The loss of adiabaticity is still the dominant physical mechanism when the magnetic field is changed.
Magnetoplasma rocket engine has a broad application prospect in the deep space exploration, manned space flight and other space missions. The ion energy is converted into the directed velocity in the magnetic nozzle of the engine. The investigation into the detachment process of the plasma with the magnetic field is of great significance for improving the engine propulsion efficiency. However, there are roughly five kinds of physical mechanisms which can all contribute to the detachment process and make the detachment in the magnetic nozzle quite complicated. Furthermore, the ion temperature is much higher than the electron temperature in the magnetic nozzle of the magnetoplasma rocket engine due to the heating effect of the ion cyclotron resonance stage. As a result, previous numerical model which were based on the assumption of cold ions are unapplicable for the simulation of the engine. In this work, a fluid simulation model is developed which is used for simulating the magnetic nozzle in the magnetoplasma rocket engine. The model includes the electron and the ion of single charge. For the characteristics of the magnetoplasma rocket engine, the ion energy equation is added into the governing equations. In order to analyze the effect of the inertial detachment, the static electric field due to the charge separation is also included. The simulations are performed under the conditions of different inlet ion temperatures and background magnetic fields. The results show that the ion axial velocity gradually increases in the magnetic nozzle and the ion stream lines detach from the magnetic field lines gradually. The loss of adiabaticity is the dominant mechanism in the detachment process. The ion axial velocity increases with the inlet ion temperature rising, and the ion streamlines detach earlier from the magnetic field lines. The resistive diffusion is unaffected by the inlet ion temperature while the detachment interfaces of other three mechanisms all move toward the upstream. With the increase of the background magnetic field, ion axial velocity decreases and the angle included between the streamline and the axis becomes smaller. The loss of adiabaticity is still the dominant physical mechanism when the magnetic field is changed.
2024, 73(10): 105202.
doi:10.7498/aps.73.20240045
Abstract:
The large-spatial-scale stimulated Raman scattering relevant to the SG-III prototype indirect drive parameters is investigated by using the code PHANTAM, which is based on ray tracing and convective amplification. The simulations show that strong stimulated Raman side scattering processes occur in both empty hohlraum and gasfilled hohlraum. The incident laser spot size is found to be the critical factor affecting stimulated Raman side scattering: under the constant laser intensity conditions, the convective gain of stimulated Raman side scattering increases with the laser spot size increasing in both types of hohlraums. In our simulations, the wavenumber mismatch leads to a saturation of the convection gain of the stimulated Raman side scattering in empty hohlraum, while in gas-filled hohlraum the convection gain of the stimulated Raman side scattering keeps increasing as the spot size increases. Under constant laser power conditions, the convective gain of stimulated Raman side scattering decreases while laser spot size increases, and the convective gain of stimulated Raman side scattering decreases faster in empty hohlraum in our simulations. The convective gain of Raman side scattering can be adjusted by laser spot size.
The large-spatial-scale stimulated Raman scattering relevant to the SG-III prototype indirect drive parameters is investigated by using the code PHANTAM, which is based on ray tracing and convective amplification. The simulations show that strong stimulated Raman side scattering processes occur in both empty hohlraum and gasfilled hohlraum. The incident laser spot size is found to be the critical factor affecting stimulated Raman side scattering: under the constant laser intensity conditions, the convective gain of stimulated Raman side scattering increases with the laser spot size increasing in both types of hohlraums. In our simulations, the wavenumber mismatch leads to a saturation of the convection gain of the stimulated Raman side scattering in empty hohlraum, while in gas-filled hohlraum the convection gain of the stimulated Raman side scattering keeps increasing as the spot size increases. Under constant laser power conditions, the convective gain of stimulated Raman side scattering decreases while laser spot size increases, and the convective gain of stimulated Raman side scattering decreases faster in empty hohlraum in our simulations. The convective gain of Raman side scattering can be adjusted by laser spot size.
2024, 73(10): 106101.
doi:10.7498/aps.73.20240084
Abstract:
Ferroelectric material is a kind of material with spontaneous polarization, and water is a common polar solvent. Due to polarity, there are complex interactions at the interface between ferroelectric materials and water/aqueous solutions. Understanding these physical processes and mechanisms is of great significance for both theoretical research and practical applications. Herein, the surface structure of (001) orientated BaTiO3with (001) direction polarization single crystal is studied by synchrotron radiation diffraction technology, and the effects of liquids with different pH values on surface structure of BaTiO3single crystal was also investigated. The results show that BaTiO3single crystal contains a surface layer with a low electron density, and due to the effect of polarity, a 2.6 nm-thick water layer is adsorbed on the surface of BaTiO3single crystal. After adding deionized water on the surface, there is no significant change in the surface layer structure of BaTiO3. Low temperaturein-situgrazing incidence X-ray diffraction experiments indicate the presence of ice on the surface, further confirming the existence of adsorbed water layers on the surface. A hydrochloric acid solution with pH = 1 has no significant effect on the surface structure of BaTiO3, either, which is possibly due to the ability of acidic solutions to stabilize the original polarization direction. However, an NaOH solution with a pH = 13 can thicken the surface layer, which possibly results from the weakening of surface polarization caused by alkaline solutions, thereby changing the surface depolarization field and surface layer thickness.
Ferroelectric material is a kind of material with spontaneous polarization, and water is a common polar solvent. Due to polarity, there are complex interactions at the interface between ferroelectric materials and water/aqueous solutions. Understanding these physical processes and mechanisms is of great significance for both theoretical research and practical applications. Herein, the surface structure of (001) orientated BaTiO3with (001) direction polarization single crystal is studied by synchrotron radiation diffraction technology, and the effects of liquids with different pH values on surface structure of BaTiO3single crystal was also investigated. The results show that BaTiO3single crystal contains a surface layer with a low electron density, and due to the effect of polarity, a 2.6 nm-thick water layer is adsorbed on the surface of BaTiO3single crystal. After adding deionized water on the surface, there is no significant change in the surface layer structure of BaTiO3. Low temperaturein-situgrazing incidence X-ray diffraction experiments indicate the presence of ice on the surface, further confirming the existence of adsorbed water layers on the surface. A hydrochloric acid solution with pH = 1 has no significant effect on the surface structure of BaTiO3, either, which is possibly due to the ability of acidic solutions to stabilize the original polarization direction. However, an NaOH solution with a pH = 13 can thicken the surface layer, which possibly results from the weakening of surface polarization caused by alkaline solutions, thereby changing the surface depolarization field and surface layer thickness.
2024, 73(10): 106102.
doi:10.7498/aps.73.20240246
Abstract:
Owing to the complete spin-polarization of electronic states near Fermi energy, half-metallic ferromagnets, especially two-dimensional half-metallic ferromagnets, have garnered significant attention in the field of spintronics. However, the practical applications of these materials are greatly hindered by their low Curie temperatures. Therefore, the exploration of high Curie temperature half-metallic ferromagnets poses a necessary and challenging task. In this study, we predict a two-dimensional transition metal oxide, CrO2monolayer, and employ first-principles calculations to investigate the crystal structure, electronic properties, magnetic ground state, and ferromagnetic phase transition. The calculations of phonon spectrum, elastic constant, and molecular dynamics simulations indicate that CrO2monolayer is dynamically, mechanically, and thermally stable. The convex hull diagram of Cr-O systems shows that the hull energy of the predicted CrO2layer is only 0.18 eV, further confirming the structural stability and large possibility for experimental fabrication. More importantly, the electronic and magnetic properties of CrO2monolayer demonstrate that it is a two-dimensional ferromagnetic half-metal with wide band gap. Five d suborbitals are divided into Egand T2gorbitals because of the crystal field of Cr atom in the center of O tetrahedron, and the spin-polarizations of Egorbitals make a major contribution to the moment around Cr atom. The ferromagnetic coupling along Cr-O-Cr chain is dominated by the superexchange interaction bridged by O 2p orbitals, similar to the typical Mn-O-Mn superexchange model. The magnetic behavior of the Cr spin lattice in a CrO2monolayer is described by a two-dimensional Heisenberg model, in which the exchange coupling anisotropy is ignored and the single ion anisotropy is the main consideration. By solving the Heisenberg model through using the Monte Carlo simulation method, the Curie temperature is determined to be over 400 K. The high Curie temperature ferromagnetism is rare in two-dimensional ferromagnetic materials and even rarer in semi-metallic materials, which makes it an ideal material for fabricating spintronic devices and studying spin quantum effects.
Owing to the complete spin-polarization of electronic states near Fermi energy, half-metallic ferromagnets, especially two-dimensional half-metallic ferromagnets, have garnered significant attention in the field of spintronics. However, the practical applications of these materials are greatly hindered by their low Curie temperatures. Therefore, the exploration of high Curie temperature half-metallic ferromagnets poses a necessary and challenging task. In this study, we predict a two-dimensional transition metal oxide, CrO2monolayer, and employ first-principles calculations to investigate the crystal structure, electronic properties, magnetic ground state, and ferromagnetic phase transition. The calculations of phonon spectrum, elastic constant, and molecular dynamics simulations indicate that CrO2monolayer is dynamically, mechanically, and thermally stable. The convex hull diagram of Cr-O systems shows that the hull energy of the predicted CrO2layer is only 0.18 eV, further confirming the structural stability and large possibility for experimental fabrication. More importantly, the electronic and magnetic properties of CrO2monolayer demonstrate that it is a two-dimensional ferromagnetic half-metal with wide band gap. Five d suborbitals are divided into Egand T2gorbitals because of the crystal field of Cr atom in the center of O tetrahedron, and the spin-polarizations of Egorbitals make a major contribution to the moment around Cr atom. The ferromagnetic coupling along Cr-O-Cr chain is dominated by the superexchange interaction bridged by O 2p orbitals, similar to the typical Mn-O-Mn superexchange model. The magnetic behavior of the Cr spin lattice in a CrO2monolayer is described by a two-dimensional Heisenberg model, in which the exchange coupling anisotropy is ignored and the single ion anisotropy is the main consideration. By solving the Heisenberg model through using the Monte Carlo simulation method, the Curie temperature is determined to be over 400 K. The high Curie temperature ferromagnetism is rare in two-dimensional ferromagnetic materials and even rarer in semi-metallic materials, which makes it an ideal material for fabricating spintronic devices and studying spin quantum effects.
2024, 73(10): 106801.
doi:10.7498/aps.73.20231554
Abstract:
NO2is a toxic gas that can react with other organic compounds in the air, causing air pollution and posing a significant harm to human health. Therefore, a gas sensor that can detect NO2is needed. However, conventional NO2gas sensors are difficult to operate at room temperature (25 ℃). In this work, NO2gas sensing based on SnS2/In2O3, which can operate at room temperature (25 ℃), is reported. In2O3quantum dots and SnS2nanosheets are prepared by the hot-injection method and hydrothermal method. By using the unique two-dimensional structure of SnS2, In2O3is decorated on it, and the composite enhances its sensing performance. The products are characterized by X-ray diffraction (XRD), scanning electron microscopy (SEM), high-resolution transmission electron microscopy (HR-TEM), and X-ray photoelectron spectroscopy (XPS). The results demonstrate that the composites prepared by 52% In2O3exhibit the best sensing response. The fabricated sensor shows a response range from 26.6 to NO2of 1×10–6in volume fraction, fast response and short recovery time at room temperature (25 ℃). Moreover, this sensor demonstrates excellent reproducibility and selectivity. The heterojunction structure increases the number of active sites and accelerates the gas transport, which promotes charge transfer and gas desorption to improve NO2gas sensing performance. This excellent sensing performance has a great application prospect in NO2detection.
NO2is a toxic gas that can react with other organic compounds in the air, causing air pollution and posing a significant harm to human health. Therefore, a gas sensor that can detect NO2is needed. However, conventional NO2gas sensors are difficult to operate at room temperature (25 ℃). In this work, NO2gas sensing based on SnS2/In2O3, which can operate at room temperature (25 ℃), is reported. In2O3quantum dots and SnS2nanosheets are prepared by the hot-injection method and hydrothermal method. By using the unique two-dimensional structure of SnS2, In2O3is decorated on it, and the composite enhances its sensing performance. The products are characterized by X-ray diffraction (XRD), scanning electron microscopy (SEM), high-resolution transmission electron microscopy (HR-TEM), and X-ray photoelectron spectroscopy (XPS). The results demonstrate that the composites prepared by 52% In2O3exhibit the best sensing response. The fabricated sensor shows a response range from 26.6 to NO2of 1×10–6in volume fraction, fast response and short recovery time at room temperature (25 ℃). Moreover, this sensor demonstrates excellent reproducibility and selectivity. The heterojunction structure increases the number of active sites and accelerates the gas transport, which promotes charge transfer and gas desorption to improve NO2gas sensing performance. This excellent sensing performance has a great application prospect in NO2detection.
2024, 73(10): 107201.
doi:10.7498/aps.73.20240112
Abstract:
Although TiNiSn-based half-Heusler thermoelectric materials obtain high power factors, their high lattice thermal conductivity greatly hinders the improvement of thermoelectric properties. In this work, TiNiCoxSn (x= 0–0.05) samples are prepared by melt spinning combined with spark plasma sintering method, and their phase, microstructure and thermoelectric properties are studied. The XRD results show that the main phase of all samples is TiNiSn phase, and no any other impurity phases are found, indicating that the high purity single phase can be prepared by rapid quenching process combined with SPS process. In the solidification process, the large cooling rate (105–106K/s) is conducive to obtaining the uniform nanocrystalline structure. The grains are closely packed, with grain sizes in a range of 200–600 nm. The grain sizes decrease to 50–400 nm for the Co-doping samples, which indicates that Co doping can reduce the grain size. For thex= 0 sample, the thermal conductivity of the rapid quenching sample is significantly lower than that of bulk sample, with an average decrease of about 17.8%. Compared with the TiNiSn matrix, the Co-doping sample has the thermal conductivity that decreases significantly, and the maximum decrease can reach about 38.9%. The minimum value of lattice thermal conductivity of TiNiCoxSn samples is 3.19 W/(m·K). Therefore, Co doping can significantly reduce theκlvalues of TiNiCoxSn (x= 0.01–0.05) samples. With the increase of Co doping amountx, n/p transition is observed in the TiNiCoxSn samples, resulting in gradually reducing the conductivity and the power factor, and finally deteriorating the electrical transport performance, of which, the TiNiSn sample obtains the highest power factor of 29.56 W/(m·K2) at 700 K. TheZTvalue decreases with the Co doping amountxincreasing, and the maximumZTvalue of TiNiSn sample at 900 K is 0.48. This work shows that the thermal conductivity of TiNiSn can be effectively reduced by using the melt spinning process and magnetic Co doping.
Although TiNiSn-based half-Heusler thermoelectric materials obtain high power factors, their high lattice thermal conductivity greatly hinders the improvement of thermoelectric properties. In this work, TiNiCoxSn (x= 0–0.05) samples are prepared by melt spinning combined with spark plasma sintering method, and their phase, microstructure and thermoelectric properties are studied. The XRD results show that the main phase of all samples is TiNiSn phase, and no any other impurity phases are found, indicating that the high purity single phase can be prepared by rapid quenching process combined with SPS process. In the solidification process, the large cooling rate (105–106K/s) is conducive to obtaining the uniform nanocrystalline structure. The grains are closely packed, with grain sizes in a range of 200–600 nm. The grain sizes decrease to 50–400 nm for the Co-doping samples, which indicates that Co doping can reduce the grain size. For thex= 0 sample, the thermal conductivity of the rapid quenching sample is significantly lower than that of bulk sample, with an average decrease of about 17.8%. Compared with the TiNiSn matrix, the Co-doping sample has the thermal conductivity that decreases significantly, and the maximum decrease can reach about 38.9%. The minimum value of lattice thermal conductivity of TiNiCoxSn samples is 3.19 W/(m·K). Therefore, Co doping can significantly reduce theκlvalues of TiNiCoxSn (x= 0.01–0.05) samples. With the increase of Co doping amountx, n/p transition is observed in the TiNiCoxSn samples, resulting in gradually reducing the conductivity and the power factor, and finally deteriorating the electrical transport performance, of which, the TiNiSn sample obtains the highest power factor of 29.56 W/(m·K2) at 700 K. TheZTvalue decreases with the Co doping amountxincreasing, and the maximumZTvalue of TiNiSn sample at 900 K is 0.48. This work shows that the thermal conductivity of TiNiSn can be effectively reduced by using the melt spinning process and magnetic Co doping.
2024, 73(10): 107601.
doi:10.7498/aps.73.20232006
Abstract:
Compared with light, the solitons, which are from the balance between dispersion and nonlinearity of the system, possess high stability and fidelity as the information carries in quantum information processing and transmission, and have gained considerable attention in ultra-cold atomic electromagnetically induced transparent (EIT) media. To date, the EIT models on the three-level ultra-cold atoms realized experimentally, are ladder-,
\begin{document}$\Lambda $\end{document}
-, and V-type mode. Current studies show that the solitons cannot be stored in V-type three-level ultra-cold atomic EIT media but they can be stored in ladder- and
\begin{document}$\Lambda $\end{document}
-type three-level ultra-cold atomic EIT media. It is mainly because the atoms of the V-type system initially are in a excited state, while the atoms of the ladder- and
\begin{document}$\Lambda $\end{document}
-type systems initially are in the ground state. For the practical applications, it is a large challenge to control accurately the solitons stored in the ultra-cold atomic EIT media due to their ultralow temperature and rarefaction. Fortunately, with the maturity of semiconductor quantum technology, quantum dots have extensively application prospect in quantum information processing and transmission. However, the solitons cannot be stored in V-type three level InAs/GaAs quantum dot EIT media either, while it can be stored in ladder-type system and
\begin{document}$\Lambda $\end{document}
-type system.
Therefore, herein we propose a V-type three-level nitrogen-vacancy (NV) center EIT model in which a weakprobe field and a strong control field are coupled to different energy levels of NV center in diamond. Subsequently, the linear and nonlinear properties of system are studied by using semiclassical theory combined with multi-scale method. It is shown that when control field is turned on, the linear absorption curve of the system presents an EIT window. And the width of the EIT window increases with the strength of magnetic induction of the control field increasing. In the nonlinear case, the solitons formed can stably propagate over a long distance. Interestingly, the solitons can be stored and retrieved by switching off and on the magnetic field of control field. Moreover, the amplitude of the stored solitons can be modulated by the magnetic induction strength of control field. This result indicates that solitons as information carriers in quantum information processing and transmission of NV center can greatly improve the fidelity of information processing.
2024, 73(10): 107701.
doi:10.7498/aps.73.20231354
Abstract:
Dielectric breakdown at high electric field plays an important role in the application of ferroelectric ceramics. In this paper, the failure probability versus electric shock time of ferroelectric ceramics under positive pulse electric field is analyzed statistically. The failure probability distribution of ceramics after 10 electric shocks is studied. Piezoelectric constant,P-Eloop of ferroelectric ceramics after 10 thousand electric shocks are measured and the breakdown mechanism is discussed. The results indicate that the relation between failure probability and electric shock number of ferroelectric ceramics is shown by a bath-tube curve and the failure probability of samples after 10 electric shocks decreases by 4 orders of magnitudes compared with that of origin sample. According to the results of piezoelectric constant andP-Eloop, the samples subjected to positive pulse electric field many times do not show obvious fatigue or aging effect. So pulse electric field loading at 4.5 kV/mm is close to non-destructive condition. Considering the spread speed of cracks, it can be found that the rupture of ferroelectric ceramics under pulsed electric field roots from extension and connection of multi-cracks from multi-defects.
Dielectric breakdown at high electric field plays an important role in the application of ferroelectric ceramics. In this paper, the failure probability versus electric shock time of ferroelectric ceramics under positive pulse electric field is analyzed statistically. The failure probability distribution of ceramics after 10 electric shocks is studied. Piezoelectric constant,P-Eloop of ferroelectric ceramics after 10 thousand electric shocks are measured and the breakdown mechanism is discussed. The results indicate that the relation between failure probability and electric shock number of ferroelectric ceramics is shown by a bath-tube curve and the failure probability of samples after 10 electric shocks decreases by 4 orders of magnitudes compared with that of origin sample. According to the results of piezoelectric constant andP-Eloop, the samples subjected to positive pulse electric field many times do not show obvious fatigue or aging effect. So pulse electric field loading at 4.5 kV/mm is close to non-destructive condition. Considering the spread speed of cracks, it can be found that the rupture of ferroelectric ceramics under pulsed electric field roots from extension and connection of multi-cracks from multi-defects.
2024, 73(10): 107801.
doi:10.7498/aps.73.20240272
Abstract:
High-quality factor (high-Q) resonance has broad prospects in applications such as in narrow-band filtering, slow-light devices, and nonlinear optics interaction enhanced to highly sensitive sensing. Previous methods of designing high-Qresonance suffered intrinsic drawbacks such as high-volume cavities or large-scale bending radii. However, recently, a new approach to designing high-Qresonances has begun to attract public attention on the basis of asymmetric metasurfaces that are related to the bound states in the continuum (BIC) phenomenon. Constructing BIC resonance in electromagnetic metasurface can generate sharp resonant transmission peak. Therefore, there is growing interest in utilizing BIC to achieve metasurface with high-Q. However, most of existing studies are based on single BIC, and few studies focusing on multiband BICs and multiple forms of symmetry breaking. In this work, we propose an all-dielectric metasurface composed of tetrameric cuboids. By etching two elliptical cylinders in each cuboid, the metasurface can simultaneously support in-plane symmetry breaking, displacement perturbations and periodic perturbations. We first use multipole calculations to analyze the physical mechanism by which the metasurface generates quasi-BIC under these three conditions. It is confirmed that theQfactor and resonant peak position of quasi-BIC can be controlled by adjusting the asymmetry parameters. Subsequently, we introduce the in-plane symmetry breaking, displacement perturbations and periodic perturbations into the metasurface simultaneously and generate five quasi-BIC modes, whose numbers and positions can be flexibly adjusted, and the largestQfactor is 58039. In summary, this work provides a new practical design concept for realizing high-Qall-dielectric metasurfaces, which can be used to improve the sensitivity of multi-parameter sensors.
High-quality factor (high-Q) resonance has broad prospects in applications such as in narrow-band filtering, slow-light devices, and nonlinear optics interaction enhanced to highly sensitive sensing. Previous methods of designing high-Qresonance suffered intrinsic drawbacks such as high-volume cavities or large-scale bending radii. However, recently, a new approach to designing high-Qresonances has begun to attract public attention on the basis of asymmetric metasurfaces that are related to the bound states in the continuum (BIC) phenomenon. Constructing BIC resonance in electromagnetic metasurface can generate sharp resonant transmission peak. Therefore, there is growing interest in utilizing BIC to achieve metasurface with high-Q. However, most of existing studies are based on single BIC, and few studies focusing on multiband BICs and multiple forms of symmetry breaking. In this work, we propose an all-dielectric metasurface composed of tetrameric cuboids. By etching two elliptical cylinders in each cuboid, the metasurface can simultaneously support in-plane symmetry breaking, displacement perturbations and periodic perturbations. We first use multipole calculations to analyze the physical mechanism by which the metasurface generates quasi-BIC under these three conditions. It is confirmed that theQfactor and resonant peak position of quasi-BIC can be controlled by adjusting the asymmetry parameters. Subsequently, we introduce the in-plane symmetry breaking, displacement perturbations and periodic perturbations into the metasurface simultaneously and generate five quasi-BIC modes, whose numbers and positions can be flexibly adjusted, and the largestQfactor is 58039. In summary, this work provides a new practical design concept for realizing high-Qall-dielectric metasurfaces, which can be used to improve the sensitivity of multi-parameter sensors.
2024, 73(10): 108101.
doi:10.7498/aps.73.20240145
Abstract:
Inhomogeneous magnetic field is introduced into pulsed laser deposition process, in order to find new properties of diamond-like carbon film grown under magnetic field, thereby offering the theoretical and experimental basis for further enhancing sp3-bond content in this film. Distribution of the magnetic strength and flux lines induced by a rectangular permanent magnet is calculated. And then, flying trace of the carbon ions in the magnetic field is also simulated by the iterative method, which indicates that the carbon ions cannot expand freely and they are confined and accumulate around the center region of the magnet source. Beside the surface interference, the measurement and the fitted results of ellipsometry parameters show that magnetic field exerts an important influence on layer-thickness distribution and optical constant of the pulsed laser deposition-grown diamond-like carbon film. Meanwhile, it is indicated that the inhomogeneity of the layer-thickness distribution and optical constant increase when the magnetic strength is higher. Micro-structure of diamond-like carbon film is affected seriously by magnetic field, which is indicated by Raman spectra. Magnetic field can enhance the local stress in the carbon matrix net, increasing the sp3-bond content. Theoretical research and experimental research both show that a suitable magnetic strength can excite micro-structure of diamond-like carbon film significantly, and the high-quality diamond-like carbon coating with practical application value will be obtained by technological adjustment.
Inhomogeneous magnetic field is introduced into pulsed laser deposition process, in order to find new properties of diamond-like carbon film grown under magnetic field, thereby offering the theoretical and experimental basis for further enhancing sp3-bond content in this film. Distribution of the magnetic strength and flux lines induced by a rectangular permanent magnet is calculated. And then, flying trace of the carbon ions in the magnetic field is also simulated by the iterative method, which indicates that the carbon ions cannot expand freely and they are confined and accumulate around the center region of the magnet source. Beside the surface interference, the measurement and the fitted results of ellipsometry parameters show that magnetic field exerts an important influence on layer-thickness distribution and optical constant of the pulsed laser deposition-grown diamond-like carbon film. Meanwhile, it is indicated that the inhomogeneity of the layer-thickness distribution and optical constant increase when the magnetic strength is higher. Micro-structure of diamond-like carbon film is affected seriously by magnetic field, which is indicated by Raman spectra. Magnetic field can enhance the local stress in the carbon matrix net, increasing the sp3-bond content. Theoretical research and experimental research both show that a suitable magnetic strength can excite micro-structure of diamond-like carbon film significantly, and the high-quality diamond-like carbon coating with practical application value will be obtained by technological adjustment.
2024, 73(10): 108501.
doi:10.7498/aps.73.20240174
Abstract:
In this paper, the first-principles method based on density functional theory and non-equilibrium Green’s function is used to investigate the modulation of quantum interference and spin transport in N and B atom substituted meta-phenylene (M-OPE) molecular devices. The zero bias spin transmission spectrum of M-OPE molecular device shows that highest occupied molecular orbital (HOMO) and lowest unoccupied molecular orbital (LUMO) are located at higher energy positions on both sides of the Fermi level, and there is a clear transmission spectrum valley (anti resonance peak) on the right side of the Fermi level. This indicates that M-OPE molecules are typical destructive quantum interference molecular systems. Research has found that N and B atoms replace carbon atoms at positions 1, 2, and 3 on the central ring of the molecule, which suppress the original destructive quantum interference of M-OPE molecular device to different extents. The substitution of N and B atoms at position 1 has no effect on the original destructive quantum interference of M-OPE molecular device, while the substitution of N and B atoms at positions 2 and 3 significantly suppresses the original destructive quantum interference of M-OPE molecular device. Therefore, there is a significant difference in the electrical conductivity of devices with N and B atoms at different positions, with the order of electrical conductivity values being N2 > N3 > N1 and B2 > B3 > B1. In this study, it is also found that the spin current value of device with B atom substitution is significantly higher than that of device with N atom substitution. After the substitution of B atom at position 2, the spin current value of the device under negative bias is significantly greater than that under positive bias, exhibiting a significant spin rectification effect. Based on the extended curled arrow rule proposed by O’Driscoll et al. to predict the behavior of quantum interference effects, we explain the physical mechanism by which N and B protons at different positions have different effects on the suppression of quantum interference in M-OPE molecular device. The results of the quantum interference and spin transport regulation of molecular systems by the substitution of B and N atoms can provide theoretical guidance for realizing the further application of heterocyclic aromatic hydrocarbons in molecular electronics.
In this paper, the first-principles method based on density functional theory and non-equilibrium Green’s function is used to investigate the modulation of quantum interference and spin transport in N and B atom substituted meta-phenylene (M-OPE) molecular devices. The zero bias spin transmission spectrum of M-OPE molecular device shows that highest occupied molecular orbital (HOMO) and lowest unoccupied molecular orbital (LUMO) are located at higher energy positions on both sides of the Fermi level, and there is a clear transmission spectrum valley (anti resonance peak) on the right side of the Fermi level. This indicates that M-OPE molecules are typical destructive quantum interference molecular systems. Research has found that N and B atoms replace carbon atoms at positions 1, 2, and 3 on the central ring of the molecule, which suppress the original destructive quantum interference of M-OPE molecular device to different extents. The substitution of N and B atoms at position 1 has no effect on the original destructive quantum interference of M-OPE molecular device, while the substitution of N and B atoms at positions 2 and 3 significantly suppresses the original destructive quantum interference of M-OPE molecular device. Therefore, there is a significant difference in the electrical conductivity of devices with N and B atoms at different positions, with the order of electrical conductivity values being N2 > N3 > N1 and B2 > B3 > B1. In this study, it is also found that the spin current value of device with B atom substitution is significantly higher than that of device with N atom substitution. After the substitution of B atom at position 2, the spin current value of the device under negative bias is significantly greater than that under positive bias, exhibiting a significant spin rectification effect. Based on the extended curled arrow rule proposed by O’Driscoll et al. to predict the behavior of quantum interference effects, we explain the physical mechanism by which N and B protons at different positions have different effects on the suppression of quantum interference in M-OPE molecular device. The results of the quantum interference and spin transport regulation of molecular systems by the substitution of B and N atoms can provide theoretical guidance for realizing the further application of heterocyclic aromatic hydrocarbons in molecular electronics.
2024, 73(10): 108502.
doi:10.7498/aps.73.20240235
Abstract:
The pulsed high current linear driving device operates under extreme conditions, and various forms of metal damages will reduce the service life of the device. At present, the multi-physics coupling mechanism of pulsed high current linear driving device is still unclear, and the multi-parameter diagnosis method in the laboratory environment is limited. Therefore, it is urgent to clarify the evolution process of multiple physical parameters through numerical modeling methods, in order to guide the optimization of the overall performance and improve the service life of the device. In this work, mathematical and physical models of electromagnetic field, temperature field and structural field under dynamic conditions are established. The local solution is carried out by using the characteristics of rail reverse motion and the invariant physical quantities at the distal end of the contact. The constraint equations of the non-equipotential surface of the rail entrance and the armature-rail interface conditions under the technical framework are derived. The constraint equations are applied by the penalty function method. The model also takes into account the practical factors such as the temperature dependence of the material properties, thermal stresses, and the frictional heat of the contact surface. The finite element discrete format of the electromagnetic field and the temperature field is solved in the form of Euler’s backward differentiation, and the structural field is solved by the Newmark method. The reliability of the model is verified by comparing the calculation results with the numerical tools EMAP3D and Comsol under the same configuration and input conditions, as well as related experiments. Through the numerical simulation of the C-type armature, the typical evolution process of the corresponding multi-parameter is obtained. During sliding electrical contact, the velocity skin effect becomes more pronounced with velocity increasing. The current is gradually concentrated on the surface of the rail, and the highest current density is found at the rear edge of the contact surface and at the edge of the outer arm of the armature. Moreover, the magnetic induction intensity at the tail of the contact surface continues to shrink over time. The heat-concentrated region appears at the top edge of the contact surface, and with time going by, it extends along the sliding direction and bottom direction of the armature. In addition, there is peak stress in the front of the rail contact and significant stress at the armature throat. When the local stress at the throat of the armature exceeds the corresponding yield strength, it can cause serious deformation or even fracture of the armature.
The pulsed high current linear driving device operates under extreme conditions, and various forms of metal damages will reduce the service life of the device. At present, the multi-physics coupling mechanism of pulsed high current linear driving device is still unclear, and the multi-parameter diagnosis method in the laboratory environment is limited. Therefore, it is urgent to clarify the evolution process of multiple physical parameters through numerical modeling methods, in order to guide the optimization of the overall performance and improve the service life of the device. In this work, mathematical and physical models of electromagnetic field, temperature field and structural field under dynamic conditions are established. The local solution is carried out by using the characteristics of rail reverse motion and the invariant physical quantities at the distal end of the contact. The constraint equations of the non-equipotential surface of the rail entrance and the armature-rail interface conditions under the technical framework are derived. The constraint equations are applied by the penalty function method. The model also takes into account the practical factors such as the temperature dependence of the material properties, thermal stresses, and the frictional heat of the contact surface. The finite element discrete format of the electromagnetic field and the temperature field is solved in the form of Euler’s backward differentiation, and the structural field is solved by the Newmark method. The reliability of the model is verified by comparing the calculation results with the numerical tools EMAP3D and Comsol under the same configuration and input conditions, as well as related experiments. Through the numerical simulation of the C-type armature, the typical evolution process of the corresponding multi-parameter is obtained. During sliding electrical contact, the velocity skin effect becomes more pronounced with velocity increasing. The current is gradually concentrated on the surface of the rail, and the highest current density is found at the rear edge of the contact surface and at the edge of the outer arm of the armature. Moreover, the magnetic induction intensity at the tail of the contact surface continues to shrink over time. The heat-concentrated region appears at the top edge of the contact surface, and with time going by, it extends along the sliding direction and bottom direction of the armature. In addition, there is peak stress in the front of the rail contact and significant stress at the armature throat. When the local stress at the throat of the armature exceeds the corresponding yield strength, it can cause serious deformation or even fracture of the armature.
2024, 73(10): 108701.
doi:10.7498/aps.73.20240271
Abstract:
Double-helix point spread function (DH-PSF) microscopy can realize three-dimensional single particle tracking (3D SPT) on a nanoscale, and is widely used in life sciences and other fields. However, its imaging depth-of-field (DOF) and localization accuracy are limited, which hinders its application in thick samples in vivo. To address this issue, this paper proposes a z-splitter prism-based multifocus DH-PSF microscopy (ZPMDM) method and system to improve the DOF and localization accuracy of DH-PSF microscopy without scanning. It solves the problem of large DOF detection of 3D SPT in whole living cells. By means of systematic calibration, the average 3D localization accuracies of three channels of ZPMDM are determined to beσL(x, y, z)= (4.4 nm, 4.6 nm, 10.5 nm),σM(x, y, z)= (4.3 nm, 4.2 nm, 8.2 nm), andσR(x, y, z)= (4.8 nm, 4.4 nm, 10.3 nm). And the effective DOF of the system is extended to 6 μm. Furthermore, the ZPMDM system is used to track fluorescent microspheres in a glycerol-water mixture across a large depth-of-field range. The Brownian motion of the fluorescent microspheres in the mixture solution is also investigated. The experimental results demonstrate that the errors between the experimentally obtained diffusion coefficients and the theoretically calculated diffusion coefficients are all within 10%. The reliability of the ZPMDM system in achieving single-particle 3D tracking imaging is verified in this study. The validity of the method is further verified by preliminarily investigating the phagocytosis phenomenon of live macrophages. It is of significance for the development and application of nanoscale 3D SPT. The ZPMDM system is shown in the attached figure.
Double-helix point spread function (DH-PSF) microscopy can realize three-dimensional single particle tracking (3D SPT) on a nanoscale, and is widely used in life sciences and other fields. However, its imaging depth-of-field (DOF) and localization accuracy are limited, which hinders its application in thick samples in vivo. To address this issue, this paper proposes a z-splitter prism-based multifocus DH-PSF microscopy (ZPMDM) method and system to improve the DOF and localization accuracy of DH-PSF microscopy without scanning. It solves the problem of large DOF detection of 3D SPT in whole living cells. By means of systematic calibration, the average 3D localization accuracies of three channels of ZPMDM are determined to beσL(x, y, z)= (4.4 nm, 4.6 nm, 10.5 nm),σM(x, y, z)= (4.3 nm, 4.2 nm, 8.2 nm), andσR(x, y, z)= (4.8 nm, 4.4 nm, 10.3 nm). And the effective DOF of the system is extended to 6 μm. Furthermore, the ZPMDM system is used to track fluorescent microspheres in a glycerol-water mixture across a large depth-of-field range. The Brownian motion of the fluorescent microspheres in the mixture solution is also investigated. The experimental results demonstrate that the errors between the experimentally obtained diffusion coefficients and the theoretically calculated diffusion coefficients are all within 10%. The reliability of the ZPMDM system in achieving single-particle 3D tracking imaging is verified in this study. The validity of the method is further verified by preliminarily investigating the phagocytosis phenomenon of live macrophages. It is of significance for the development and application of nanoscale 3D SPT. The ZPMDM system is shown in the attached figure.
2024, 73(10): 109601.
doi:10.7498/aps.73.20232031
Abstract:
A large number of practices have shown that under the coupling influence of complex working conditions and frequent reciprocating contact, the surfaces of semiconductor devices in micro/nano electromechanical systems often produce adhesive wear, which is the essential reason resulting in short durability service life and declining contact mechanical properties for microelectronics semiconductor devices. However, graphene can significantly improve the interface properties of mechanical components and electronic components due to its excellent mechanical properties, such as high carrier concentration, good thermal conductivity, and low shear. Thus, the study of mechanical strengthening properties and plastic deformation of SiC material with covered multi-layer graphene in MEMS devices will play a significant role in improving the durability service life of MEMS device, and understanding its strengthening and toughening mechanism. Therefore, this paper studies and discusses the effects of stacking type and extreme service temperature with low and high levels on the contact mechanical properties (maximum load, hardness, Young modulus, contact stiffness), micro-structure evolution, contact mass, fold morphology, and total length of dislocation. The atomic-scale mechanism of enhanced mechanical properties of SiC material with multi-layer graphene is explained. The research shows that the damage to carbon-carbon bond at the maximum indentation depth will lead graphene to lose the excellent in-plane elastic deformation capability when the graphene stacking type is AB stacking, so that the maximum load-bearing capacity of the substrate covered by three layers of graphene will drop linearly. In addition, the mechanical property of SiC material coated with three graphene layers is twice that of pure SiC substrate, and the strengthening mechanism is mainly due to the increase of wrinkle caused by the increase of multilayer graphene loading, which causes the quality of contact between the SiC substrate and the virtual indenter to decrease, thus increasing the interface contact stiffness. The increase of the active temperature will trigger off the increase of the atomic vibration frequency, which will cause the number of interface contact atoms to increase greatly, and the interface contact stiffness will weaken, and finally lead the interface contact quality to improve, This is because the mechanical properties of SiC substrate coated with multilayer graphene will decrease approximately linearly with the extreme service from low temperature to high temperature. In addition, the stress concentration in the subsurface layer of SiC substrate can induce the evolution of its micro-structure, and the increase of the number of graphene layers on the substrate can effectively reduce the stress concentration distribution in the subsurface layer of the substrate.
A large number of practices have shown that under the coupling influence of complex working conditions and frequent reciprocating contact, the surfaces of semiconductor devices in micro/nano electromechanical systems often produce adhesive wear, which is the essential reason resulting in short durability service life and declining contact mechanical properties for microelectronics semiconductor devices. However, graphene can significantly improve the interface properties of mechanical components and electronic components due to its excellent mechanical properties, such as high carrier concentration, good thermal conductivity, and low shear. Thus, the study of mechanical strengthening properties and plastic deformation of SiC material with covered multi-layer graphene in MEMS devices will play a significant role in improving the durability service life of MEMS device, and understanding its strengthening and toughening mechanism. Therefore, this paper studies and discusses the effects of stacking type and extreme service temperature with low and high levels on the contact mechanical properties (maximum load, hardness, Young modulus, contact stiffness), micro-structure evolution, contact mass, fold morphology, and total length of dislocation. The atomic-scale mechanism of enhanced mechanical properties of SiC material with multi-layer graphene is explained. The research shows that the damage to carbon-carbon bond at the maximum indentation depth will lead graphene to lose the excellent in-plane elastic deformation capability when the graphene stacking type is AB stacking, so that the maximum load-bearing capacity of the substrate covered by three layers of graphene will drop linearly. In addition, the mechanical property of SiC material coated with three graphene layers is twice that of pure SiC substrate, and the strengthening mechanism is mainly due to the increase of wrinkle caused by the increase of multilayer graphene loading, which causes the quality of contact between the SiC substrate and the virtual indenter to decrease, thus increasing the interface contact stiffness. The increase of the active temperature will trigger off the increase of the atomic vibration frequency, which will cause the number of interface contact atoms to increase greatly, and the interface contact stiffness will weaken, and finally lead the interface contact quality to improve, This is because the mechanical properties of SiC substrate coated with multilayer graphene will decrease approximately linearly with the extreme service from low temperature to high temperature. In addition, the stress concentration in the subsurface layer of SiC substrate can induce the evolution of its micro-structure, and the increase of the number of graphene layers on the substrate can effectively reduce the stress concentration distribution in the subsurface layer of the substrate.












