2024 Vol. 73, No. 3
column
- The 90th Anniversary ofActa Physica Sinica
- SPECIAL TOPIC—Heat conduction and its related interdisciplinary areas
- SPECIAL TOPIC—Heat conduction and its related interdisciplinary areas • COVER ARTICLE
- REVIEW
- GENERAL
- ELECTROMAGNETISM, OPTICS, ACOUSTICS, HEAT TRANSFER, CLASSICAL MECHANICS, AND FLUID DYNAMICS
- PHYSICS OF GASES, PLASMAS, AND ELECTRIC DISCHARGES
- CONDENSED MATTER: STRUCTURAL, MECHANICAL, AND THERMAL PROPERTIES
- CONDENSED MATTER: ELECTRONIC STRUCTURE, ELECTRICAL, MAGNETIC, AND OPTICAL PROPERTIES
- INTERDISCIPLINARY PHYSICS AND RELATED AREAS OF SCIENCE AND TECHNOLOGY
- GEOPHYSICS, ASTRONOMY, AND ASTROPHYSICS
Display Method:
2024, 73(3): 030302.
doi:10.7498/aps.73.20232022
Abstract:
Majorana zero modes (MZMs) obey non-Abelian braiding statistics. The braiding of MZMs can be used to construct the basic unit − topological qubit − of the topological quantum computation, which is immune to environmental noise and can achieve fault-tolerant quantum computation. The existing MZM platforms include hybrid structures such as topological insulator/superconductor, semiconducting nanowire/superconductor and 1d magnetic atomic chain/superconductor, and single materials such as 2M-WS2, 4Hb-TaS2, and iron-based superconductors (IBSs). The IBSs have advantages such as easy to fabricate, pure MZMs and high surviving temperatures of MZMs. Recently, a large-scale, ordered and tunable MZM lattice has been observed in LiFeAs, which provides a promising platform to future topological quantum computation. In this paper, first, we review the experimental observations of MZMs in IBSs, focusing on FeTe0.55Se0.45, (Li0.84Fe0.16)OHFeSe, CaKFe4As4and LiFeAs. Next, we introduce the critical experimental evidences of the MZMs. We also review the recent research work on the ordered and tunable MZM lattice in LiFeAs. Finally, we give conclusion and perspective on future Majorana research.
Majorana zero modes (MZMs) obey non-Abelian braiding statistics. The braiding of MZMs can be used to construct the basic unit − topological qubit − of the topological quantum computation, which is immune to environmental noise and can achieve fault-tolerant quantum computation. The existing MZM platforms include hybrid structures such as topological insulator/superconductor, semiconducting nanowire/superconductor and 1d magnetic atomic chain/superconductor, and single materials such as 2M-WS2, 4Hb-TaS2, and iron-based superconductors (IBSs). The IBSs have advantages such as easy to fabricate, pure MZMs and high surviving temperatures of MZMs. Recently, a large-scale, ordered and tunable MZM lattice has been observed in LiFeAs, which provides a promising platform to future topological quantum computation. In this paper, first, we review the experimental observations of MZMs in IBSs, focusing on FeTe0.55Se0.45, (Li0.84Fe0.16)OHFeSe, CaKFe4As4and LiFeAs. Next, we introduce the critical experimental evidences of the MZMs. We also review the recent research work on the ordered and tunable MZM lattice in LiFeAs. Finally, we give conclusion and perspective on future Majorana research.
2024, 73(3): 033701.
doi:10.7498/aps.73.20231719
Abstract:
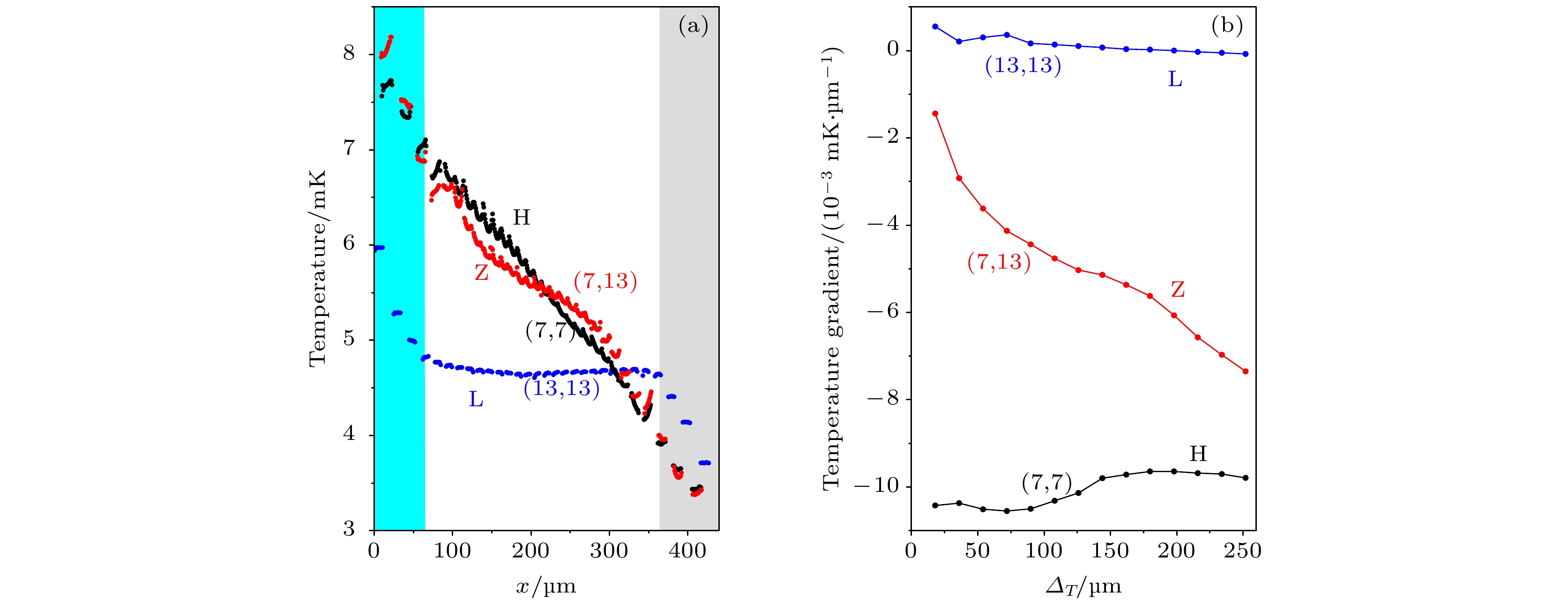
Heat transport is one of the most important research topics in physics. Especially in recent years, with the in depth study on single-molecule devices, heat transport in low-dimensional (i.e. one- and two-dimensional) microsystems has received more and more attention. In the research of Fermi-Pasta-Ulam crystals and harmonic crystals, it is widely accepted that heat conduction in low-dimensional system does not follow Fourier’s law. Due to the lack of the equipment that can directly measure heat current, it has been proven to be a challenging task to carry out relevant experiments. Ion crystal in ion trap is located in vacuum and does not exchange energy with the external environment. The crystal structure and temperature can be accurately controlled by electric field and optical field, providing an ideal experimental platform for studying thermal conduction in low-dimensional crystals in classical state or quantum state. Herein we summarize the recent theoretical research on thermal conduction in ion crystals, including the methods of calculating temperature distribution and steady-state heat current in one-dimensional, two-dimensional, and three-dimensional models, as well as the characteristics of heat current and temperature distribution under different ion crystal configurations. Because the nonlinear effect caused by the imbalance among three dimensions hinders the heat transport, the heat current in ion crystal is largest in the linear configuration while smallest in the zig-zag configuration. In addition, we also introduce the influence of disorder on the thermal conductivity of ion crystal, including the influence on the heat current across various ion crystal configurations such as the linear, the zig-zag and the helical configuration. Notably, the susceptibility of ion crystal to disorder increases with crystal size increasing. Specifically, the zig-zag ion crystal configuration exhibits the largest susceptibility to disorder, whereas the linear configuration is least affected. Finally, we provide a concise overview of experimental studies of the heat conduction in low-dimensional systems. Examination of the heat conduction in ion crystal offers a valuable insight into various cooling techniques employed in ion trap systems, including sympathetic cooling, electromagnetically induced transparency cooling, and polarization gradient cooling. Just like macroscopic thermal diodes made by thermal metamaterials, it is possible that the microscopic thermal diodes can also be made in low-dimensional systems.
Heat transport is one of the most important research topics in physics. Especially in recent years, with the in depth study on single-molecule devices, heat transport in low-dimensional (i.e. one- and two-dimensional) microsystems has received more and more attention. In the research of Fermi-Pasta-Ulam crystals and harmonic crystals, it is widely accepted that heat conduction in low-dimensional system does not follow Fourier’s law. Due to the lack of the equipment that can directly measure heat current, it has been proven to be a challenging task to carry out relevant experiments. Ion crystal in ion trap is located in vacuum and does not exchange energy with the external environment. The crystal structure and temperature can be accurately controlled by electric field and optical field, providing an ideal experimental platform for studying thermal conduction in low-dimensional crystals in classical state or quantum state. Herein we summarize the recent theoretical research on thermal conduction in ion crystals, including the methods of calculating temperature distribution and steady-state heat current in one-dimensional, two-dimensional, and three-dimensional models, as well as the characteristics of heat current and temperature distribution under different ion crystal configurations. Because the nonlinear effect caused by the imbalance among three dimensions hinders the heat transport, the heat current in ion crystal is largest in the linear configuration while smallest in the zig-zag configuration. In addition, we also introduce the influence of disorder on the thermal conductivity of ion crystal, including the influence on the heat current across various ion crystal configurations such as the linear, the zig-zag and the helical configuration. Notably, the susceptibility of ion crystal to disorder increases with crystal size increasing. Specifically, the zig-zag ion crystal configuration exhibits the largest susceptibility to disorder, whereas the linear configuration is least affected. Finally, we provide a concise overview of experimental studies of the heat conduction in low-dimensional systems. Examination of the heat conduction in ion crystal offers a valuable insight into various cooling techniques employed in ion trap systems, including sympathetic cooling, electromagnetically induced transparency cooling, and polarization gradient cooling. Just like macroscopic thermal diodes made by thermal metamaterials, it is possible that the microscopic thermal diodes can also be made in low-dimensional systems.
2024, 73(3): 037201.
doi:10.7498/aps.73.20231151
Abstract:
Metal is one of the most widely used engineering materials. In contrast to the extensive research dedicated to their mechanical properties, studies on the thermal conductivity of metals remain relatively rare. The understanding of thermal transport mechanisms in metals is mainly through the Wiedemann-Franz Law established more than a century ago. The thermal conductivity of metal is related to both the electron transport and the lattice vibration. An in-depth understanding of the thermal transport mechanism in metal is imperative for optimizing their practical applications. This review first discusses the history of the thermal transport theory in metals, including the Wiedemann-Franz law and models for calculating phonon thermal conductivity in metal. The recently developed first-principles based mode-level electron-phonon interaction method for determining the thermal transport properties of metals is briefly introduced. Then we summarize recent theoretical studies on the thermal conductivities of elemental metals, intermetallics, and metallic ceramics. The value of thermal conductivity, phonon contribution to total thermal conductivity, the influence of electron-phonon interaction on thermal transport, and the deviation of the Lorenz number are comprehensively discussed. Moreover, the thermal transport properties of metallic nanostructures are summarized. The size effect of thermal transport and the Lorenz number obtained from experiments and calculations are compared. Thermal transport properties including the phonon contribution to total thermal conductivity and the Lorenz number in two-dimensional metals are also mentioned. Finally, the influence of temperature, pressure, and magnetic field on thermal transport in metal are also discussed. The deviation of the Lorenz number at low temperatures is due to the different electron-phonon scattering mechanisms for thermal and electrical transport. The mechanism for the increase of thermal conductivity in metals induced by pressure varies in different kinds of metals and is related to the electron state at the Fermi level. The effect of magnetic field on thermal transport is related to the coupling between the electron and the magnetic field, therefore the electron distribution in the Brillouin zone is an important factor. In addition, this review also looks forward to the future research directions of metal thermal transport theory.
Metal is one of the most widely used engineering materials. In contrast to the extensive research dedicated to their mechanical properties, studies on the thermal conductivity of metals remain relatively rare. The understanding of thermal transport mechanisms in metals is mainly through the Wiedemann-Franz Law established more than a century ago. The thermal conductivity of metal is related to both the electron transport and the lattice vibration. An in-depth understanding of the thermal transport mechanism in metal is imperative for optimizing their practical applications. This review first discusses the history of the thermal transport theory in metals, including the Wiedemann-Franz law and models for calculating phonon thermal conductivity in metal. The recently developed first-principles based mode-level electron-phonon interaction method for determining the thermal transport properties of metals is briefly introduced. Then we summarize recent theoretical studies on the thermal conductivities of elemental metals, intermetallics, and metallic ceramics. The value of thermal conductivity, phonon contribution to total thermal conductivity, the influence of electron-phonon interaction on thermal transport, and the deviation of the Lorenz number are comprehensively discussed. Moreover, the thermal transport properties of metallic nanostructures are summarized. The size effect of thermal transport and the Lorenz number obtained from experiments and calculations are compared. Thermal transport properties including the phonon contribution to total thermal conductivity and the Lorenz number in two-dimensional metals are also mentioned. Finally, the influence of temperature, pressure, and magnetic field on thermal transport in metal are also discussed. The deviation of the Lorenz number at low temperatures is due to the different electron-phonon scattering mechanisms for thermal and electrical transport. The mechanism for the increase of thermal conductivity in metals induced by pressure varies in different kinds of metals and is related to the electron state at the Fermi level. The effect of magnetic field on thermal transport is related to the coupling between the electron and the magnetic field, therefore the electron distribution in the Brillouin zone is an important factor. In addition, this review also looks forward to the future research directions of metal thermal transport theory.
2024, 73(3): 034401.
doi:10.7498/aps.73.20231262
Abstract:
The aerodynamic heat of hypersonic vehicle nose cone can reach tens of MW/m2during flight, which could be transferred to the interior of hypersonic vehicle in the form of conduction and radiation. High efficient thermal insulation technology is of significance in keeping internal electronic components working safely. Thermal metamaterials can regulate the macroscopic heat flow path, and they are developing rapidly and have a wide application prospect in the field of thermal protection. In this work, a non-enclosed point transformation thermal cloak is designed to guide heat flow around hypersonic vehicle nose cone by using the transformation multithermotics, which can control thermal conduction and radiation simultaneously. A multi-layer structure is designed as cloak’s simplified approximation due to the anisotropic parameters. Based on the software COMSOL, the thermal protection characteristics and heat transfer mechanism of the point transformation cloak and multi-layer structure are studied numerically. The results show that heat can flow around the object in the form of conduction and radiation in both point transformation thermal cloak and multi-layer structure, so the heat transferred to the inner area decreases. Comparing with the thermal insulation material, the heating rate of the protected area slows down, and the temperature in the front of the hypersonic vehicle nose cone is significantly reduced. However, the improvement of the thermal protection performance of point transformation cloak and multi-layer structures requires that the solid thermal conductivity and radiative thermal conductivity of the material are lower than those of the original thermal insulation material. To solve this problem, a non-enclosed region transformation thermal cloak is further proposed. The solid thermal conductivity and radiative thermal conductivity of region transformation thermal cloak are non-singular, which could be higher than those of the original thermal insulation material. Numerical simulation results show that the region transformation thermal cloak can guide heat flow around object, so the thermal protection capability is improved significantly. Comparing with the thermal insulation materials, the temperature of the front of the hypersonic vehicle nose cone is reduced by 100 K, and the temperature of the inner central zone of the hypersonic vehicle nose cone is reduced by 10 K. The non-enclosed region transformation thermal cloak provides a new approach to realizing thermal protection and is suitable for complex target areas, showing great application potential in thermal protection.
The aerodynamic heat of hypersonic vehicle nose cone can reach tens of MW/m2during flight, which could be transferred to the interior of hypersonic vehicle in the form of conduction and radiation. High efficient thermal insulation technology is of significance in keeping internal electronic components working safely. Thermal metamaterials can regulate the macroscopic heat flow path, and they are developing rapidly and have a wide application prospect in the field of thermal protection. In this work, a non-enclosed point transformation thermal cloak is designed to guide heat flow around hypersonic vehicle nose cone by using the transformation multithermotics, which can control thermal conduction and radiation simultaneously. A multi-layer structure is designed as cloak’s simplified approximation due to the anisotropic parameters. Based on the software COMSOL, the thermal protection characteristics and heat transfer mechanism of the point transformation cloak and multi-layer structure are studied numerically. The results show that heat can flow around the object in the form of conduction and radiation in both point transformation thermal cloak and multi-layer structure, so the heat transferred to the inner area decreases. Comparing with the thermal insulation material, the heating rate of the protected area slows down, and the temperature in the front of the hypersonic vehicle nose cone is significantly reduced. However, the improvement of the thermal protection performance of point transformation cloak and multi-layer structures requires that the solid thermal conductivity and radiative thermal conductivity of the material are lower than those of the original thermal insulation material. To solve this problem, a non-enclosed region transformation thermal cloak is further proposed. The solid thermal conductivity and radiative thermal conductivity of region transformation thermal cloak are non-singular, which could be higher than those of the original thermal insulation material. Numerical simulation results show that the region transformation thermal cloak can guide heat flow around object, so the thermal protection capability is improved significantly. Comparing with the thermal insulation materials, the temperature of the front of the hypersonic vehicle nose cone is reduced by 100 K, and the temperature of the inner central zone of the hypersonic vehicle nose cone is reduced by 10 K. The non-enclosed region transformation thermal cloak provides a new approach to realizing thermal protection and is suitable for complex target areas, showing great application potential in thermal protection.
2024, 73(3): 038102.
doi:10.7498/aps.73.20230832
Abstract:
Group III nitride semiconductors, such as GaN, AlN, and InN, are an important class of compound semiconductor material, and have attracted much attention, because of their unique physicochemical properties. These semiconductors possess excellent characteristics, such as wide direct bandgap, high breakdown field strength, high electron mobility, and good stability, and thus are called third-generation semiconductors. Their alloy materials can adjust their bandgaps by changing the type or proportion of group III elements, covering a wide wavelength range from near-ultraviolet to infrared, thereby achieving wavelength selectivity in optoelectronic devices. Atomic layer deposition (ALD) is a unique technique that produces high-quality group III nitride films at low temperatures. The ALD has become an important method of preparing group III nitrides and their alloys. The alloy composition can be easily controlled by adjusting the ALD cycle ratio. This review highlights recent work on the growth and application of group III nitride semiconductors and their alloys by using ALD. The work is summarized according to similarities so as to make it easier to understand the progress and focus of related research. Firstly, this review summarizes binary nitrides with a focus on their mechanism and application. In the section on mechanism investigation, the review categorizes and summarizes the effects of ALD precursor material, substrate, temperature, ALD type, and other conditions on film quality. This demonstrates the effects of different conditions on film growth behavior and quality. The section on application exploration primarily introduces the use of group III nitride films in various devices through ALD, analyzes the enhancing effects of group III nitrides on these devices, and explores the underlying mechanisms. Additionally, this section discusses the growth of group III nitride alloys through ALD, summarizing different deposition methods and conditions. Regarding the ALD growth of group III nitride semiconductors, there is more research on the ALD growth of AlN and GaN, and less research on InN and its alloys. Additionally, there is less research on the ALD growth of GaN for applications, as it is still in the exploratory stage, while there is more research on the ALD growth of AlN for applications. Finally, this review points out the prospects and challenges of ALD in preparation of group III nitride semiconductors and their alloys.
Group III nitride semiconductors, such as GaN, AlN, and InN, are an important class of compound semiconductor material, and have attracted much attention, because of their unique physicochemical properties. These semiconductors possess excellent characteristics, such as wide direct bandgap, high breakdown field strength, high electron mobility, and good stability, and thus are called third-generation semiconductors. Their alloy materials can adjust their bandgaps by changing the type or proportion of group III elements, covering a wide wavelength range from near-ultraviolet to infrared, thereby achieving wavelength selectivity in optoelectronic devices. Atomic layer deposition (ALD) is a unique technique that produces high-quality group III nitride films at low temperatures. The ALD has become an important method of preparing group III nitrides and their alloys. The alloy composition can be easily controlled by adjusting the ALD cycle ratio. This review highlights recent work on the growth and application of group III nitride semiconductors and their alloys by using ALD. The work is summarized according to similarities so as to make it easier to understand the progress and focus of related research. Firstly, this review summarizes binary nitrides with a focus on their mechanism and application. In the section on mechanism investigation, the review categorizes and summarizes the effects of ALD precursor material, substrate, temperature, ALD type, and other conditions on film quality. This demonstrates the effects of different conditions on film growth behavior and quality. The section on application exploration primarily introduces the use of group III nitride films in various devices through ALD, analyzes the enhancing effects of group III nitrides on these devices, and explores the underlying mechanisms. Additionally, this section discusses the growth of group III nitride alloys through ALD, summarizing different deposition methods and conditions. Regarding the ALD growth of group III nitride semiconductors, there is more research on the ALD growth of AlN and GaN, and less research on InN and its alloys. Additionally, there is less research on the ALD growth of GaN for applications, as it is still in the exploratory stage, while there is more research on the ALD growth of AlN for applications. Finally, this review points out the prospects and challenges of ALD in preparation of group III nitride semiconductors and their alloys.
2024, 73(3): 030201.
doi:10.7498/aps.73.20230771
Abstract:
The traditional finite-difference time-domain (FDTD (2, 2)) method with second-order numerical accuracy in time and space has been extensively employed in the field of quantum mechanics to solve the Schrödinger equation. Nevertheless, the presence of the Courant-Friedrichs-Lewy (CFL) condition imposes limitations on the grid size in the computational space, thereby constraining the admissible range of time steps. Accordingly, the efficiency of the FDTD(2, 2) method significantly decreases. In addition, the second-order numerical accuracy of the FDTD(2, 2) method both in time domain and in space domain often results in significant error accumulation during calculations, thereby undermining the fidelity of the simulation results. To surmount the constraints imposed by the CFL stability conditions and enhance the accuracy of computations, a novel approach termed SF-SFDTD(3, 4) method has been proposed, with 3 and 4 referring to the accuracy in space and time, respectively. This method combines spatial filtering (SF) with the high-order symplectic finite-difference time-domain (SFDTD) method. Its primary objective is to solve the time-dependent Schrödinger equation while ensuring time stability and scalability. The SF-SFDTD(3, 4) method obviates the need for further deriving the iterative formula employed in the conventional SFDTD(3, 4) method. Therefore, the method under consideration exhibits a remarkable degree of compatibility with its traditional counterpart. It is merely necessary to include a spatial filtering operation during each numerical iteration to eliminate spatial high-frequency components arising from the utilization of time step sizes that fail to satisfy the CFL stability condition, thereby ensuring the stability of the numerical scheme. Moreover, when the time step value satisfies the CFL stability condition, the amplitude of the high-frequency component approaches zero, thereby exerting a minimal influence on the accuracy of the computational results. The adoption of time steps that do not meet the CFL stability conditions leads to an amplification in the amplitude of the high-frequency component. However, this finding solely affects the stability of the computational results, and the elimination of these unstable high-frequency components scarcely affect the accuracy of the computational results. The SF-SFDTD(3, 4) retains the simplicity and efficacy inherent in the traditional SFDTD(3, 4) methods, while enhancing computational efficiency. Additionally, the numerical stability and dispersion error of the SF-SFDTD(3, 4) method are analyzed theoretically. Finally, the validity and efficacy of the proposed method are corroborated through numerical illustrations.
The traditional finite-difference time-domain (FDTD (2, 2)) method with second-order numerical accuracy in time and space has been extensively employed in the field of quantum mechanics to solve the Schrödinger equation. Nevertheless, the presence of the Courant-Friedrichs-Lewy (CFL) condition imposes limitations on the grid size in the computational space, thereby constraining the admissible range of time steps. Accordingly, the efficiency of the FDTD(2, 2) method significantly decreases. In addition, the second-order numerical accuracy of the FDTD(2, 2) method both in time domain and in space domain often results in significant error accumulation during calculations, thereby undermining the fidelity of the simulation results. To surmount the constraints imposed by the CFL stability conditions and enhance the accuracy of computations, a novel approach termed SF-SFDTD(3, 4) method has been proposed, with 3 and 4 referring to the accuracy in space and time, respectively. This method combines spatial filtering (SF) with the high-order symplectic finite-difference time-domain (SFDTD) method. Its primary objective is to solve the time-dependent Schrödinger equation while ensuring time stability and scalability. The SF-SFDTD(3, 4) method obviates the need for further deriving the iterative formula employed in the conventional SFDTD(3, 4) method. Therefore, the method under consideration exhibits a remarkable degree of compatibility with its traditional counterpart. It is merely necessary to include a spatial filtering operation during each numerical iteration to eliminate spatial high-frequency components arising from the utilization of time step sizes that fail to satisfy the CFL stability condition, thereby ensuring the stability of the numerical scheme. Moreover, when the time step value satisfies the CFL stability condition, the amplitude of the high-frequency component approaches zero, thereby exerting a minimal influence on the accuracy of the computational results. The adoption of time steps that do not meet the CFL stability conditions leads to an amplification in the amplitude of the high-frequency component. However, this finding solely affects the stability of the computational results, and the elimination of these unstable high-frequency components scarcely affect the accuracy of the computational results. The SF-SFDTD(3, 4) retains the simplicity and efficacy inherent in the traditional SFDTD(3, 4) methods, while enhancing computational efficiency. Additionally, the numerical stability and dispersion error of the SF-SFDTD(3, 4) method are analyzed theoretically. Finally, the validity and efficacy of the proposed method are corroborated through numerical illustrations.
2024, 73(3): 030301.
doi:10.7498/aps.73.20230592
Abstract:
This paper reviews the coin flipping problem of “PQ” in a classical two-player game, and shows that when one player adopts quantum strategy, he can beat his classical opponent and gain higher returns. By using quantitative means, the whole “PQ” problem is put under a more general and fair condition, and it is generalized and studied again from many aspects and angles. Finally, we obtain some more essential and important conclusions, and explain the conclusions and its practical significance through some practical examples. At the same time, this paper gives the definition of imperfect fair game and the definition of perfect fair game, revises the quantum coin flipping game to make the game fair, and studies a multi-round version of quantum coin flipping. Some basic conclusions of fair quantum game are obtained, and the meaning of perfectly fair game is explained in practice.
This paper reviews the coin flipping problem of “PQ” in a classical two-player game, and shows that when one player adopts quantum strategy, he can beat his classical opponent and gain higher returns. By using quantitative means, the whole “PQ” problem is put under a more general and fair condition, and it is generalized and studied again from many aspects and angles. Finally, we obtain some more essential and important conclusions, and explain the conclusions and its practical significance through some practical examples. At the same time, this paper gives the definition of imperfect fair game and the definition of perfect fair game, revises the quantum coin flipping game to make the game fair, and studies a multi-round version of quantum coin flipping. Some basic conclusions of fair quantum game are obtained, and the meaning of perfectly fair game is explained in practice.
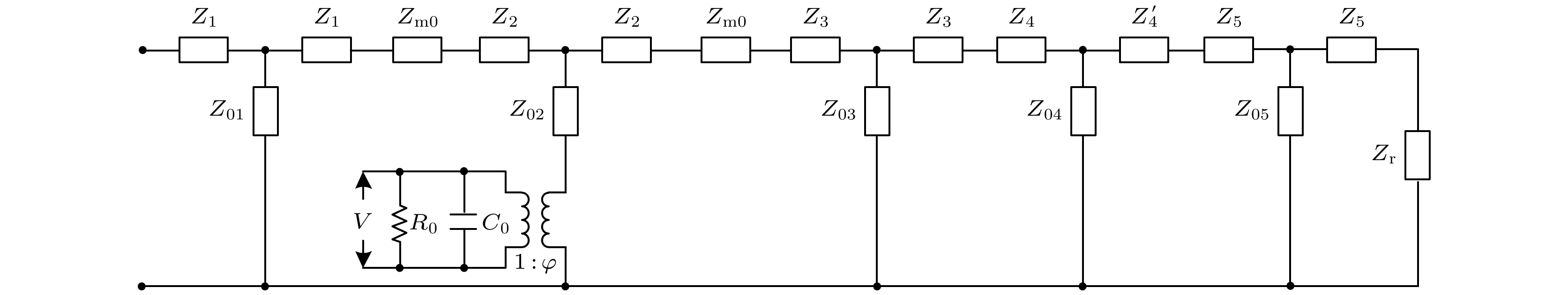
Miniaturized electronically controlled notched band filter based on spoof surface plasmon polaritons
2024, 73(3): 034101.
doi:10.7498/aps.73.20231447
Abstract:
In this paper, a novel miniaturized electronical controlled notch band filter based on spoof surface plasmon polaritons (SSPPs) with inverted “山”-shaped unit is designed and experimentally demonstrated. The notch band filter is mainly composed of four parts: microstrip transmission line, transition structure, inverted “山”-shaped SSPPs, and split ring resonator (SRR) structure, and a varactor diode is embedded in the slit notch of the SRR structure to realize electronic control. Comparing with the traditional SSPP unit with the same lateral size, the dispersion curve of the proposed inverted “山”-shaped unit shows better slow wave characteristics, and the asymptotic frequency is reduced to 55%. The frequency of the notch band can be dynamically controlled by adjusting the external bias voltage at both ends of the varactor diode. As the external bias voltage increases from 0.5 V to 30 V, the notch band frequency can be changed from 2.1 GHz to 2.3 GHz and achieve easily electronic regulation. The simulation results show that the notched band filter achieves low insertion loss (S21< –1 dB) and great return loss (S11> –10 dB) in the pass band, which has the advantage of miniaturization with the size only 0.78λg× 0.35λg. It is worth noting that when the equivalent capacitance of the slit notch is changed, the transmission coefficient of the notched band is always less than –15 dB, showing superior band-stop performance. At the same time, by comparing and analyzing the electric field distribution of notch band filter, the transmission mechanism of microwave signal is further verified. In order to verify the its effectiveness, the traditional printed circuit board technology is used to fabricate notch band filter. The measurement results are in good agreement with the simulation ones, verifying the feasibility of the design. The electronically controlled notch band filter has higher integration and can effectively suppress the interference frequency band.
In this paper, a novel miniaturized electronical controlled notch band filter based on spoof surface plasmon polaritons (SSPPs) with inverted “山”-shaped unit is designed and experimentally demonstrated. The notch band filter is mainly composed of four parts: microstrip transmission line, transition structure, inverted “山”-shaped SSPPs, and split ring resonator (SRR) structure, and a varactor diode is embedded in the slit notch of the SRR structure to realize electronic control. Comparing with the traditional SSPP unit with the same lateral size, the dispersion curve of the proposed inverted “山”-shaped unit shows better slow wave characteristics, and the asymptotic frequency is reduced to 55%. The frequency of the notch band can be dynamically controlled by adjusting the external bias voltage at both ends of the varactor diode. As the external bias voltage increases from 0.5 V to 30 V, the notch band frequency can be changed from 2.1 GHz to 2.3 GHz and achieve easily electronic regulation. The simulation results show that the notched band filter achieves low insertion loss (S21< –1 dB) and great return loss (S11> –10 dB) in the pass band, which has the advantage of miniaturization with the size only 0.78λg× 0.35λg. It is worth noting that when the equivalent capacitance of the slit notch is changed, the transmission coefficient of the notched band is always less than –15 dB, showing superior band-stop performance. At the same time, by comparing and analyzing the electric field distribution of notch band filter, the transmission mechanism of microwave signal is further verified. In order to verify the its effectiveness, the traditional printed circuit board technology is used to fabricate notch band filter. The measurement results are in good agreement with the simulation ones, verifying the feasibility of the design. The electronically controlled notch band filter has higher integration and can effectively suppress the interference frequency band.
2024, 73(3): 034201.
doi:10.7498/aps.73.20231484
Abstract:
In this paper, we investigate the propagation properties of radially polarized rectangular-symmetric cosine-Gaussian Schell-model (RCGSM) beam with multiple off-axis vortex phases by using Fourier transform and convolution method based on the unified theory of coherence and polarization. The results indicate that the radially polarized RCGSM beam has self-splitting properties and can be split into four identical lobes due to its unique spatial coherence structure. Furthermore, the modulation of multiple off-axis vortex phases can be acted on each lobe. For high coherence, the spot arrays with triangular or square hollow light intensity distribution can be generated in the focal plane by modulating the number of off-axis vortices (N0) and the beam order, and the corresponding state of polarization on each lobe presents an inverted triangular or oblique square elliptic distribution. However, for small coherence, the modulation effect of multiple off-axis vortex phases disappears and the light intensity of each lobe degenerates into a quasi-Gaussian distribution, whereas its state of polarization keeps invariant, which is independent of the beam order and coherence length. In addition, the beam still has a certain self-healing ability for one of the off-axis vortex phases partially blocked by an obstacle, but it will be destroyed for completely blocking, resulting in a notch on each lobe.
In this paper, we investigate the propagation properties of radially polarized rectangular-symmetric cosine-Gaussian Schell-model (RCGSM) beam with multiple off-axis vortex phases by using Fourier transform and convolution method based on the unified theory of coherence and polarization. The results indicate that the radially polarized RCGSM beam has self-splitting properties and can be split into four identical lobes due to its unique spatial coherence structure. Furthermore, the modulation of multiple off-axis vortex phases can be acted on each lobe. For high coherence, the spot arrays with triangular or square hollow light intensity distribution can be generated in the focal plane by modulating the number of off-axis vortices (N0) and the beam order, and the corresponding state of polarization on each lobe presents an inverted triangular or oblique square elliptic distribution. However, for small coherence, the modulation effect of multiple off-axis vortex phases disappears and the light intensity of each lobe degenerates into a quasi-Gaussian distribution, whereas its state of polarization keeps invariant, which is independent of the beam order and coherence length. In addition, the beam still has a certain self-healing ability for one of the off-axis vortex phases partially blocked by an obstacle, but it will be destroyed for completely blocking, resulting in a notch on each lobe.
2024, 73(3): 034202.
doi:10.7498/aps.73.20231126
Abstract:
Optical frequency comb has shown great potential applications in many areas including molecular spectroscopy, RF photonics, millimeter wave generation, frequency metrology, atomic clock, and dense/ultra-dense wavelength division multiplexed high speed optical communications. Optical frequency comb in the microresonator supporting whispering-gallery mode has attracted widespread interest because of its advantages such as flexible repetition rate, wide bandwidth, and compact size. The exceptionally long photon lifetime and small modal volume enhance light-matter interaction, which enables us to realize intracavity nonlinear frequency conversions with low pump threshold. With the advantages of small size, low power consumption, wide spectral coverage and adjustable dispersion, the magnesium fluoride microresonator optical frequency comb has potential applications in optical communication and mid-infrared spectroscopy.
In this work, the spectral characteristics of the optical frequency comb generated by a magnesium fluoride whispering-gallery mode microbottle resonator platform are investigated. In order to optimize the spectral distribution of the optical frequency comb of the magnesium fluoride microbottle resonator, the second-order dispersion and higher-order dispersion of the bottle resonator structure under different curvatures and axial modes are solved iteratively by the finite element method, and the spectral evolutions of the optical frequency comb under different axial mode excitations are simulated by solving the nonlinear Schrödinger equation through the split-step Fourier method. The results show that near-zero anomalous dispersion tuning can be achieved in a wide bandwidth range by exciting low-order axial mode at an optimal radius of curvature, while the high-order axial mode will lead the microbottle resonator to present the weak normal dispersion. The weaker anomalous dispersion in the lower-order axial mode broadens the bandwidth of the optical comb, demonstrating that the third-order dispersion and the negative fourth-order dispersion can broaden the Kerr soliton optical comb; the weak normal dispersion in the higher-order axial mode suppresses the generation of the Kerr optical comb, and the Raman optical comb dominates. The selective excitation of Kerr soliton combs and Raman combs can be achieved by modulating the axial mode of the microbottle resonator under suitable pumping conditions. The present work provides guidance for designing the dispersion in magnesium fluoride microresonator and the experimental tuning of broadband Kerr soliton optical combs and Raman optical combs.
2024, 73(3): 034203.
doi:10.7498/aps.73.20231442
Abstract:
The scheme of generating optical frequency comb (OFC) mainly includes mode-locked laser, electro-optic modulation comb, and nonlinear Kerr micro-resonator comb. The OFC with frequency spacing on the order of 10–200 GHz can be employed in optical communication, microwave photonics, and other fields. Silicon carbide (SiC) has aroused the considerable research interest in integrated nonlinear photonics owing to its high second nonlinear coefficient and third order nonlinear coefficient, low optical loss, without multiphoton absorption loss owing to the wide bandgap. Single soliton microcomb in anomalous group velocity dispersion regime based on a 4H-SiC-on-insulator thin film has been demonstrated with the relative lower pump to comb efficiency, while the OFC in normal dispersion regime based on the SiC microresonator has not been reported. The pump conversion efficiency of OFC in the normal dispersion regime is high, and the pump frequency detuning range for the OFC generation is large, which is conducive to the OFC generation and long-term stable operation. Since there is no modulation instability effect in normal dispersion regime, the key to generating the OFC in normal dispersion regime is that the initial state needs the assistance of a multi-frequency laser (or four-wave mixing sideband). The phase-locked dual-frequency laser can be regarded as a pulse pump laser source with wide pulse duration, which can be realized by integrated distributed feedback laser.
In this paper, a scheme of generating OFC by pumping the normal dispersion SiC microresonator with phase locked dual-frequency laser is proposed. The flat normal dispersion in 1550 nm band is realized through dispersion engineering of the SiC microresonator. The effective mode field area of the TE
0fundamental mode at 1550 nm in the optimized SiC ridge waveguide is about 0.94 μm
2, and the nonlinear coefficient is about 3.69
\begin{document}$ {{\mathrm{W}}}^{-1}{\cdot} {{\mathrm{m}}}^{-1} $\end{document}
. Meanwhile, dispersion parameters of the microresonator with 100 GHz FSR are also obtained. The OFC generation pumped by a phase-locked dual-frequency laser based on normal dispersion SiC microresonator is simulated through using the Lugiato-Lefever equation. The evolution process of the OFC in time and frequency domain related to the pump detuning is studied. The effects of several parameters such as the pump power, microresonator waveguide loss, microresonator dispersion, proportion of the dual-frequency laser, and the frequency interval of dual-frequency laser on the performance of the OFC are also investigated. The conclusions can be obtained through the OFC generation simulation as follows, 1) When the microresonator waveguide loss is larger, the pump detuning range for the OFC generation becomes smaller, and the pulse peak power under the same pulse intensity filling rate decreases. 2) When the input pump power is larger, the pump detuning range for the OFC generation becomes larger, the pulse peak power under the same pulse intensity filling rate increases, and the corresponding spectrum becomes wider. 3) With the increase of absolute dispersion value, the spectrum bandwidth of the generated OFC decreases obviously. 4) The power proportion of dual-frequency laser has little influence on the OFC generation. 5) The frequency spacing of the generated OFC can be tuned through changing the frequency spacing of the two phase-locked lasers with integral multiple of free spectral range.
The OFC with spectrum bandwidth of about 70 nm can be generated in a range of 1500—1600 nm through the simulation. The simulation results are beneficial to promoting the research and practical application of high repetition rate broadband optical frequency comb in a 1550 nm band based on the normal dispersion silicon carbide microresonator.
2024, 73(3): 034301.
doi:10.7498/aps.73.20231472
Abstract:
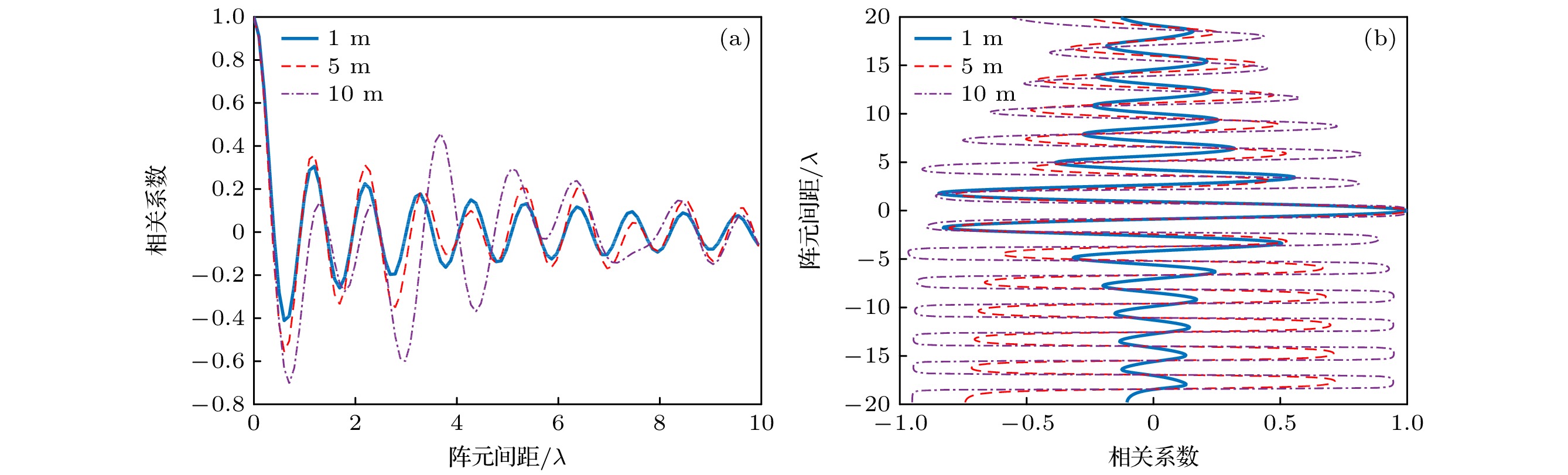
Acoustic scattering is an important part of ocean acoustics, and the acoustic scattering caused by the unevenness of the seafloor surface is one of the reasons for the fluctuation of acoustic propagation in the ocean. In order to solve the acoustic scattering problem of sea bottom surface roughness, normal wave theory is used to model the acoustic field. To simplify the problem, Lambert’s law is used to establish the seafloor rough scattering model in horizontal layered shallow sea waveguides, and the scattering field is assumed to be isotropic in the horizontal direction. Based on this model, the amplitude distribution and the phase distribution of the scattered sound pressure are obtained, and the intensity of the scattered sound field and its spatial correlation coefficient are simulated numerically. The prediction of the scattered sound field under rough interface conditions is realized, and the variation of the spatial characteristics of the scattered sound field with the roughness of the seafloor is revealed. The results show that when Lambert’s law is used to describe the rough interface acoustic scattering and when the seafloor roughness is smaller than the wavelength, the spatial correlation coefficient of the scattered sound field at two different positions in space has a change rule of periodic oscillation attenuation with the increase of spatial distance, and in the vertical direction, the oscillation period is larger and the attenuation is slower. When the roughness increases, the oscillation amplitude of the horizontal and the vertical correlation coefficient gradually increase, the oscillation period of the horizontal correlation coefficient gradually decreases, and the vertical correlation coefficient no longer attenuates in the direction near the seafloor, which is the result of the weakening of the seafloor acoustic scattering. The model theory in this paper can also be extended to the acoustic scattering modeling of rough sea surface. For the case of non-horizontal seabed, the scattered sound field of the rough interface in the waveguide can be obtained by using coupled normal wave or adiabatic normal wave theory.
Acoustic scattering is an important part of ocean acoustics, and the acoustic scattering caused by the unevenness of the seafloor surface is one of the reasons for the fluctuation of acoustic propagation in the ocean. In order to solve the acoustic scattering problem of sea bottom surface roughness, normal wave theory is used to model the acoustic field. To simplify the problem, Lambert’s law is used to establish the seafloor rough scattering model in horizontal layered shallow sea waveguides, and the scattering field is assumed to be isotropic in the horizontal direction. Based on this model, the amplitude distribution and the phase distribution of the scattered sound pressure are obtained, and the intensity of the scattered sound field and its spatial correlation coefficient are simulated numerically. The prediction of the scattered sound field under rough interface conditions is realized, and the variation of the spatial characteristics of the scattered sound field with the roughness of the seafloor is revealed. The results show that when Lambert’s law is used to describe the rough interface acoustic scattering and when the seafloor roughness is smaller than the wavelength, the spatial correlation coefficient of the scattered sound field at two different positions in space has a change rule of periodic oscillation attenuation with the increase of spatial distance, and in the vertical direction, the oscillation period is larger and the attenuation is slower. When the roughness increases, the oscillation amplitude of the horizontal and the vertical correlation coefficient gradually increase, the oscillation period of the horizontal correlation coefficient gradually decreases, and the vertical correlation coefficient no longer attenuates in the direction near the seafloor, which is the result of the weakening of the seafloor acoustic scattering. The model theory in this paper can also be extended to the acoustic scattering modeling of rough sea surface. For the case of non-horizontal seabed, the scattered sound field of the rough interface in the waveguide can be obtained by using coupled normal wave or adiabatic normal wave theory.
2024, 73(3): 034302.
doi:10.7498/aps.73.20231578
Abstract:
Ultrasonic identification has an important application value for national defense, military affairs, aerospace, nuclear facilities and other high-tech fields. Ultrasonic waves can be used to identify any metal material. At present, the researches focus on algorithms for identifying the difference in ultrasonic signal among materials, but the study on the corresponding identification theory is lacking. In this work, 10 primary models of the microstructure of 2A12 aluminum alloy are established as analogies to the complex microstructures of polycrystalline metallic materials. The grains of these models are different from each other in size, separation distance, shape, arrangement directions and orders. The time-domain ultrasonic echo signals of different microstructures are calculated by making use of the finite element method. The grass-like signals between two echoes are ultrasonic backscattering signals, which are sensitive to any change of microstructure. The backscattering signals between the primary echo and the secondary echo in the ultrasonic echo time domain signals are extracted as ultrasonic fingerprints. The feature differenceQis defined to quantify the difference in ultrasonic fingerprint of each sample. The results show that the slight variation in microstructure will lead to difference in ultrasonic signal, and the difference caused by the variation in grain size is more distinct. And then, an ultrasonic identification algorithm is proposed, and the identification experiments are conducted on four 2A12 aluminum alloy samples with the same shape. The identification results show that the target sample can be accurately identified by using ultrasonic fingerprints and the ultrasonic fingerprints of the target sample are distinctly different from those of the other samples. The microstructure morphologies of the samples are examined by using scanning electron microscopy (SEM). The SEM results show that there are significant differences in grain size, separation distance and densification between samples although they are the same material. The features of the microstructure in the proposed ultrasonic scattering model in this work are confirmed by the actual y micromorphologies observed in the SEM images. The identification experiments and SEM results demonstrate that the established ultrasonic scattering model is effective. This work can provide a reference for theoretically studying ultrasonic identification and present an idea for developing some new identification algorithms in future.
Ultrasonic identification has an important application value for national defense, military affairs, aerospace, nuclear facilities and other high-tech fields. Ultrasonic waves can be used to identify any metal material. At present, the researches focus on algorithms for identifying the difference in ultrasonic signal among materials, but the study on the corresponding identification theory is lacking. In this work, 10 primary models of the microstructure of 2A12 aluminum alloy are established as analogies to the complex microstructures of polycrystalline metallic materials. The grains of these models are different from each other in size, separation distance, shape, arrangement directions and orders. The time-domain ultrasonic echo signals of different microstructures are calculated by making use of the finite element method. The grass-like signals between two echoes are ultrasonic backscattering signals, which are sensitive to any change of microstructure. The backscattering signals between the primary echo and the secondary echo in the ultrasonic echo time domain signals are extracted as ultrasonic fingerprints. The feature differenceQis defined to quantify the difference in ultrasonic fingerprint of each sample. The results show that the slight variation in microstructure will lead to difference in ultrasonic signal, and the difference caused by the variation in grain size is more distinct. And then, an ultrasonic identification algorithm is proposed, and the identification experiments are conducted on four 2A12 aluminum alloy samples with the same shape. The identification results show that the target sample can be accurately identified by using ultrasonic fingerprints and the ultrasonic fingerprints of the target sample are distinctly different from those of the other samples. The microstructure morphologies of the samples are examined by using scanning electron microscopy (SEM). The SEM results show that there are significant differences in grain size, separation distance and densification between samples although they are the same material. The features of the microstructure in the proposed ultrasonic scattering model in this work are confirmed by the actual y micromorphologies observed in the SEM images. The identification experiments and SEM results demonstrate that the established ultrasonic scattering model is effective. This work can provide a reference for theoretically studying ultrasonic identification and present an idea for developing some new identification algorithms in future.
2024, 73(3): 034303.
doi:10.7498/aps.73.20231251
Abstract:
Janus-Helmholtz transducer has the characteristics of high-power and broadband transmission due to the coupling between the longitudinal resonance of the driver and the liquid cavity resonance of Helmholtz resonator. Traditional view holds that the low frequency resonance peak in the transmitting voltage response curve in water is fluid cavity mode of Helmholtz resonator while the high frequency resonance is the longitudinal mode of Janus transducer. However, in the past few decades, a large number of experimental studies have found that this conclusion is questionable. This work is to distinguish the two resonances in the response curve and the two vibration modes of Janus-Helmholtz transducer. Based on the Janus-Helmholtz transducer prototype reported in the literature, the resonance frequencies of the vibration modes of Janus-Helmholtz transducer are studied theoretically. The structure dimensions and material parameters of the prototype are listed in detail. The test results and simulation results of conductivity are also presented. The longitudinal resonance of the driver is determined by using the equivalent circuit method and finite element analysis. Radiation masses of both Janus transducer and typical longitudinal vibration transducer are also calculated to analyze the phenomenon of the sharp decrease of longitudinal resonance frequency in water. Acoustic modal analysis by using ANSYS software is performed to investigate the resonance frequency of complex Helmholtz resonator in Janus-Helmholtz transducer. Correction length on the vent introduced by external fluid sound radiation is used to obtain the accurate Helmholtz resonance frequency. The sound pressure distribution of Helmholtz resonator obtained through finite element method is investigated, and the correct equivalent formula for solving the Helmholtz resonance frequency is obtained. The results reveal that the first resonance in the response curve is driver resonance while the second one is Helmholtz resonance, which is contrary to the traditional view. The considerable reduction of driver resonance frequency in water is mainly due to the large radiation mass on the four large radiation surfaces of the Janus transducer, which also causes the sharp response of driver resonance. In Janus-Helmholtz transducer, there are two Helmholtz resonators with the same size, instead of only one resonator in the traditional view. The two resonance frequencies solved by the method proposed in this work are in good agreement with the test and simulation results. These conclusions play an important role in correctly understanding the structure and characteristics of Janus-Helmholtz transducer at source, as well as provide technical support for structural optimization and innovation, thus improving the acoustic emission properties of the transducer.
Janus-Helmholtz transducer has the characteristics of high-power and broadband transmission due to the coupling between the longitudinal resonance of the driver and the liquid cavity resonance of Helmholtz resonator. Traditional view holds that the low frequency resonance peak in the transmitting voltage response curve in water is fluid cavity mode of Helmholtz resonator while the high frequency resonance is the longitudinal mode of Janus transducer. However, in the past few decades, a large number of experimental studies have found that this conclusion is questionable. This work is to distinguish the two resonances in the response curve and the two vibration modes of Janus-Helmholtz transducer. Based on the Janus-Helmholtz transducer prototype reported in the literature, the resonance frequencies of the vibration modes of Janus-Helmholtz transducer are studied theoretically. The structure dimensions and material parameters of the prototype are listed in detail. The test results and simulation results of conductivity are also presented. The longitudinal resonance of the driver is determined by using the equivalent circuit method and finite element analysis. Radiation masses of both Janus transducer and typical longitudinal vibration transducer are also calculated to analyze the phenomenon of the sharp decrease of longitudinal resonance frequency in water. Acoustic modal analysis by using ANSYS software is performed to investigate the resonance frequency of complex Helmholtz resonator in Janus-Helmholtz transducer. Correction length on the vent introduced by external fluid sound radiation is used to obtain the accurate Helmholtz resonance frequency. The sound pressure distribution of Helmholtz resonator obtained through finite element method is investigated, and the correct equivalent formula for solving the Helmholtz resonance frequency is obtained. The results reveal that the first resonance in the response curve is driver resonance while the second one is Helmholtz resonance, which is contrary to the traditional view. The considerable reduction of driver resonance frequency in water is mainly due to the large radiation mass on the four large radiation surfaces of the Janus transducer, which also causes the sharp response of driver resonance. In Janus-Helmholtz transducer, there are two Helmholtz resonators with the same size, instead of only one resonator in the traditional view. The two resonance frequencies solved by the method proposed in this work are in good agreement with the test and simulation results. These conclusions play an important role in correctly understanding the structure and characteristics of Janus-Helmholtz transducer at source, as well as provide technical support for structural optimization and innovation, thus improving the acoustic emission properties of the transducer.
2024, 73(3): 034304.
doi:10.7498/aps.73.20230963
Abstract:
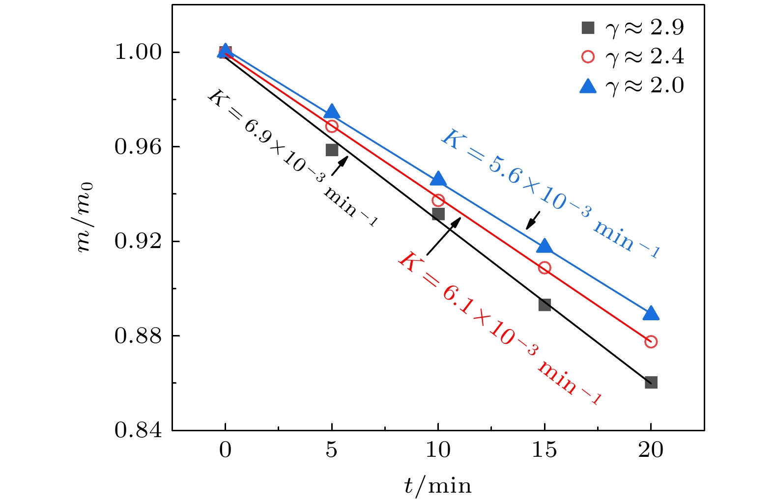
As a ground-based experimental method for simulating the containerless state in space, acoustic levitation provides excellent containerless and contact-free conditions for studying droplet dynamics, including droplet evaporation and phase separation. Meanwhile, the nonlinear effects of the acoustic field, such as acoustic radiation pressure and acoustic streaming, bring novel characteristics to the droplet evaporation process and phase separation process. In this work, the evaporation and phase separation of aqueous two-phase-system (ATPS) droplet composed of polyethylene glycol (PEG) and ammonium sulfate (AMS) are investigated by a single-axis acoustic levitator through the combination of image acquisition and processing technique. During the evaporation of the ATPS droplet, the square of its equatorial diameter,
\begin{document}$ {d}^{2} $\end{document}
, decreases linearly with time, and its aspect ratio,
\begin{document}$ \gamma $\end{document}
, increases linearly with time. The PEG-AMS droplet initially in the single-phase regime can enter into the two-phase regime as the water evaporates, resulting in phase separation. The phase separation of the acoustically levitated PEG-AMS ATPS droplet includes three stages: first, a large number of PEG-rich globules form inside the ATPS droplet, and then these PEG-rich globules collide, coagulate and migrate outward, and finally a horizontal layered structure of the whole droplet comes into being. The evaporation constant, the evolution of the PEG-rich globules and the AMS-rich phase area, are analyzed for ATPS droplets with different initial aspect ratios and different initial compositions. It is concluded that the greater the initial aspect ratio and the smaller the volume fraction of the PEG-rich phase, the faster the evaporation rate of the droplet is; the greater the initial aspect ratio and the lager the volume fraction of the PEG-rich phase, the faster the phase separation is. Numerical simulations show that the acoustically levitated droplets with a large aspect ratio are subjected to greater acoustic radiation pressure on the surface, and that the corresponding sound field is more intense and the acoustic streaming is stronger, which accelerates the evaporation and phase separation of the levitated droplets. These findings contribute to deepening our understanding of the motion characteristics, evaporation dynamics and phase separation of acoustically levitated droplets, and provide a foundation for studying the containerless preparation and processing the materials under acoustic levitation.
As a ground-based experimental method for simulating the containerless state in space, acoustic levitation provides excellent containerless and contact-free conditions for studying droplet dynamics, including droplet evaporation and phase separation. Meanwhile, the nonlinear effects of the acoustic field, such as acoustic radiation pressure and acoustic streaming, bring novel characteristics to the droplet evaporation process and phase separation process. In this work, the evaporation and phase separation of aqueous two-phase-system (ATPS) droplet composed of polyethylene glycol (PEG) and ammonium sulfate (AMS) are investigated by a single-axis acoustic levitator through the combination of image acquisition and processing technique. During the evaporation of the ATPS droplet, the square of its equatorial diameter,
2024, 73(3): 034701.
doi:10.7498/aps.73.20231485
Abstract:
Dielectrophoresis affects the surface wettability by applying a non-uniform electric field to dipoles inside dielectric liquid, achieving adjustable droplet contact angle and overcoming the saturation limitation of contact angle caused by the electrowettability effect. However, it is difficult to realize useful three-dimensional tunable optical devices because most of the driving electrodes need to be patterned. In this work, a model of double flexible electrodes simulating planar interdigitated pattern electrodes is proposed based on the dielectrophoresis. Double flexible electrodes, which are wrapped with an insulating dielectric layer and are not conductive to each other are arranged at close intervals and wound along the plane substrate to form a two-dimensional planar line wall. A hydrophobic layer is used to fill the gap and increase the initial contact angle. Ultimately, the “droplet-interdigitated planar line wall” dielectrophoresis driven-droplet model is formed after the dielectric droplets have been deposited on the line wall surface. Firstly, considering the influence of penetration depth and electrode gap area, Young’s equation is theoretically modified to adapt to this model. Then, the finite element algorithm simulation is used to used to comparatively analyze the potential distribution of this model and the planar interdigitated pattern electrode model. The field strength distributions of the electrodes with different wire diameters and insulating layer thickness values are analyzed. It can be found that with the increase of the diameter of the electrode wire and the thickness of the insulating layer, the morphology of the model changes from the tip electrode into the planar electrode, the surface field strength attenuates exponentially and the peak value decreases. This shows that the structure of this electrode in this model is superior to that of the planar electrode. After that, the contact angle of the model is measured experimentally in a range of 58°-90° under 0–250Vrmsvoltage, which is in line with the theoretical expectation. At the same time, neither obvious contact angle lag nor saturation is observed in the experiment. Finally, the new electrophoretic driving droplet model constructed in this paper transforms the dielectric electrophoretic driving mode from a two-dimensional planar electrode to a one-dimensional flexible linear electrode. Because of its flexibility and plasticity, it is convenient to form a three-dimensional cavity and can be applied to more complex device structures.
Dielectrophoresis affects the surface wettability by applying a non-uniform electric field to dipoles inside dielectric liquid, achieving adjustable droplet contact angle and overcoming the saturation limitation of contact angle caused by the electrowettability effect. However, it is difficult to realize useful three-dimensional tunable optical devices because most of the driving electrodes need to be patterned. In this work, a model of double flexible electrodes simulating planar interdigitated pattern electrodes is proposed based on the dielectrophoresis. Double flexible electrodes, which are wrapped with an insulating dielectric layer and are not conductive to each other are arranged at close intervals and wound along the plane substrate to form a two-dimensional planar line wall. A hydrophobic layer is used to fill the gap and increase the initial contact angle. Ultimately, the “droplet-interdigitated planar line wall” dielectrophoresis driven-droplet model is formed after the dielectric droplets have been deposited on the line wall surface. Firstly, considering the influence of penetration depth and electrode gap area, Young’s equation is theoretically modified to adapt to this model. Then, the finite element algorithm simulation is used to used to comparatively analyze the potential distribution of this model and the planar interdigitated pattern electrode model. The field strength distributions of the electrodes with different wire diameters and insulating layer thickness values are analyzed. It can be found that with the increase of the diameter of the electrode wire and the thickness of the insulating layer, the morphology of the model changes from the tip electrode into the planar electrode, the surface field strength attenuates exponentially and the peak value decreases. This shows that the structure of this electrode in this model is superior to that of the planar electrode. After that, the contact angle of the model is measured experimentally in a range of 58°-90° under 0–250Vrmsvoltage, which is in line with the theoretical expectation. At the same time, neither obvious contact angle lag nor saturation is observed in the experiment. Finally, the new electrophoretic driving droplet model constructed in this paper transforms the dielectric electrophoretic driving mode from a two-dimensional planar electrode to a one-dimensional flexible linear electrode. Because of its flexibility and plasticity, it is convenient to form a three-dimensional cavity and can be applied to more complex device structures.
2024, 73(3): 035201.
doi:10.7498/aps.73.20231448
Abstract:
By using the high-performance extreme ultraviolet spatial resolution impurity spectrometer, the up-down asymmetric distribution of tungsten impurity radiation in EAST tokamak is studied experimentally for the first time. The results show that during the co-directional neutral beam injection, the central toroidal rotation velocity is large, the up-down asymmetry is strong, and the side with strong radiation deviates from ion
\begin{document}$B\times \nabla B$\end{document}
drift direction. However, after injecting deuterated methane CD4into plasma through the valve of the upper divertor outer plate, the central toroidal rotation velocity decreases rapidly, and the asymmetry of the original tungsten impurity radiation decreases soon and finally reverses. In this work, a further statistical study of the W32+impurity radiation asymmetry factorIu/Iddepending on the central toroidal rotation velocityVt0is performed. The results show that whenVt0is larger than 30 km/s, the side with strong radiation deviates from ion
\begin{document}$B\times \nabla B$\end{document}
drift direction, however, whenVt0decreases to below 20 km/s, the asymmetry can be reversed. The relation of toroidal rotation velocity with impurity radiation asymmetry validates the prediction from drift-kinetic theory, and demonstrates that the centrifugal force induced by the toroidal rotation directly causes the asymmetric distribution of tungsten impurities through affecting the momentum conservation parallel to the magnetic field. The experimental observation of the asymmetric distribution of tungsten impurities in this work lays a solid foundation for further studying the poloidal transport of high-Zimpurities and provides some important references for controlling the high-Zimpurities in future fusion reactors.
By using the high-performance extreme ultraviolet spatial resolution impurity spectrometer, the up-down asymmetric distribution of tungsten impurity radiation in EAST tokamak is studied experimentally for the first time. The results show that during the co-directional neutral beam injection, the central toroidal rotation velocity is large, the up-down asymmetry is strong, and the side with strong radiation deviates from ion
2024, 73(3): 035202.
doi:10.7498/aps.73.20231577
Abstract:
The mode competition in an overmoded relativistic backward wave oscillator is studied through theoretical analysis and three-dimensional particle-in-cell simulation in this work. Based on the quality factor and coupling impedance, the mode selection for a TM
02mode backward wave oscillator is achieved, and its output power and magnetic field strength are optimized in the simulation.
The quality factor is related to the group velocity and end reflection of each mode. The dispersion curves of some non-axisymmetric modes are very close, and the group velocities are basically equal. Therefore, the end reflection needs considering to distinguish between the quality factors of different modes. In frequency domain simulation, analyzing the quality factor of each mode by using the
S
11parameter curve can avoid calculating the end reflection.
The three-dimensional simulation results show that the coupling impedance and quality factor jointly affect the operating mode. When the coupling impedance advantage of the working mode is not obvious, changing the resonant frequency of the high-frequency structure can affect the beam-wave interaction process, thereby changing the excitation mode. When the advantage is obvious, the beam-wave interaction of the excitation mode will not be destroyed by the resonant mode, and other modes of microwave output mainly come from the conversion of the same frequency modes. Due to the constant dispersion curve, the effect of resonance on the mode is essentially the effect of the quality factor on the mode dominated by the end reflection.
The insensitive parameters and the electron beam radius obtained from the simulation are used as the optimal parameters, and the automatic optimization algorithm is used in combination with the two-dimensional simulation to perform multi-objective optimization design in the above device. The final output power of the backward wave oscillator reaches 534 MW, with an efficiency of 23.64%, an increase of 221.7% compared with the efficiency of the original device. The device operating mode remains stable, with a power ratio of TM
02mode reaching 94.95%.
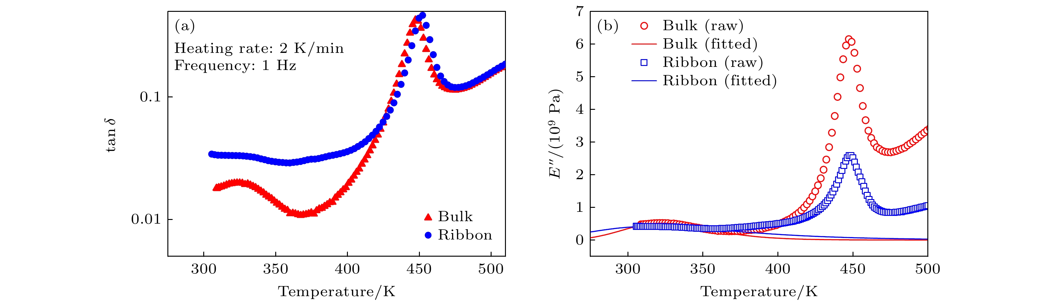
2024, 73(3): 036101.
doi:10.7498/aps.73.20231417
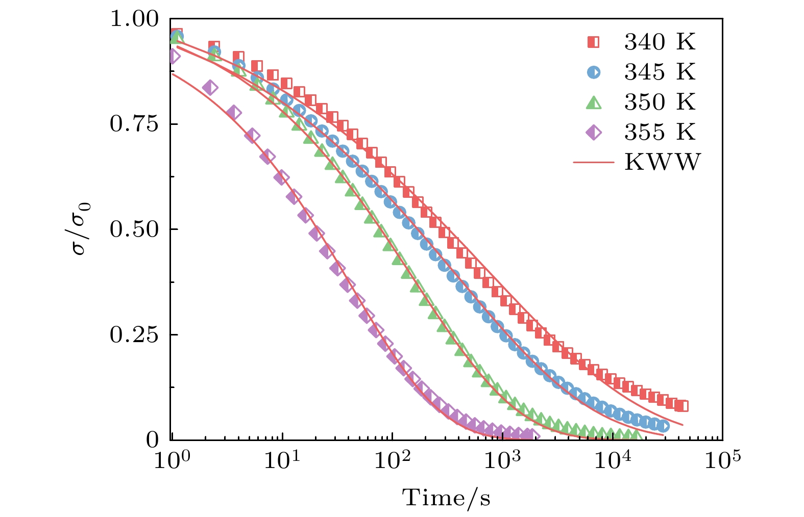
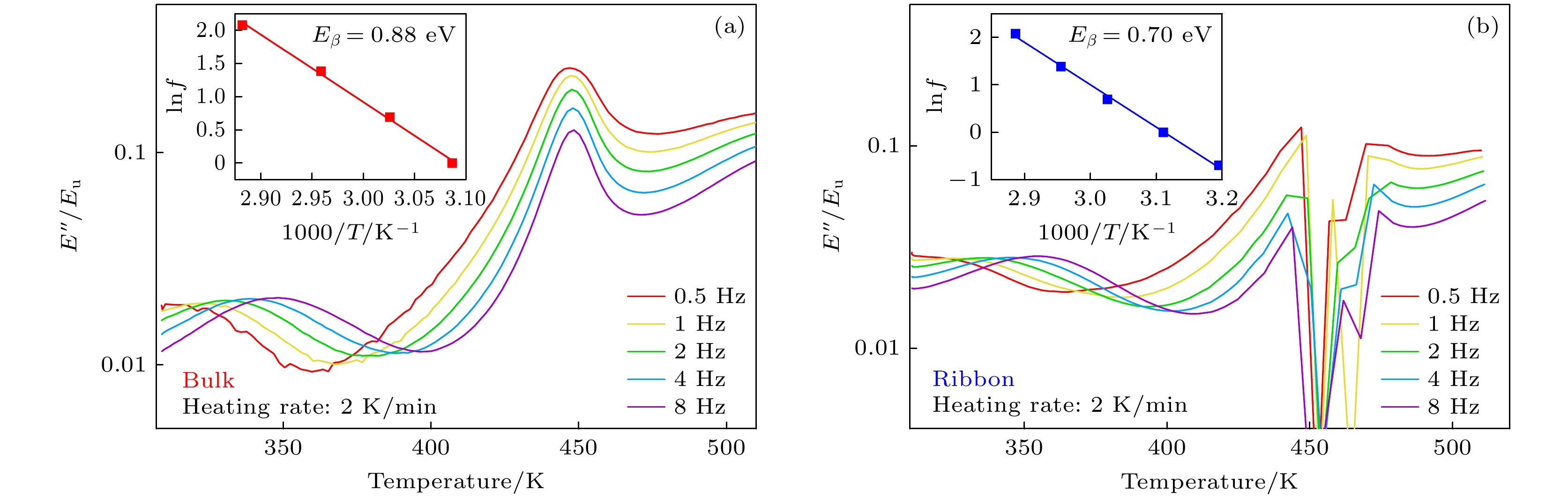
Abstract:
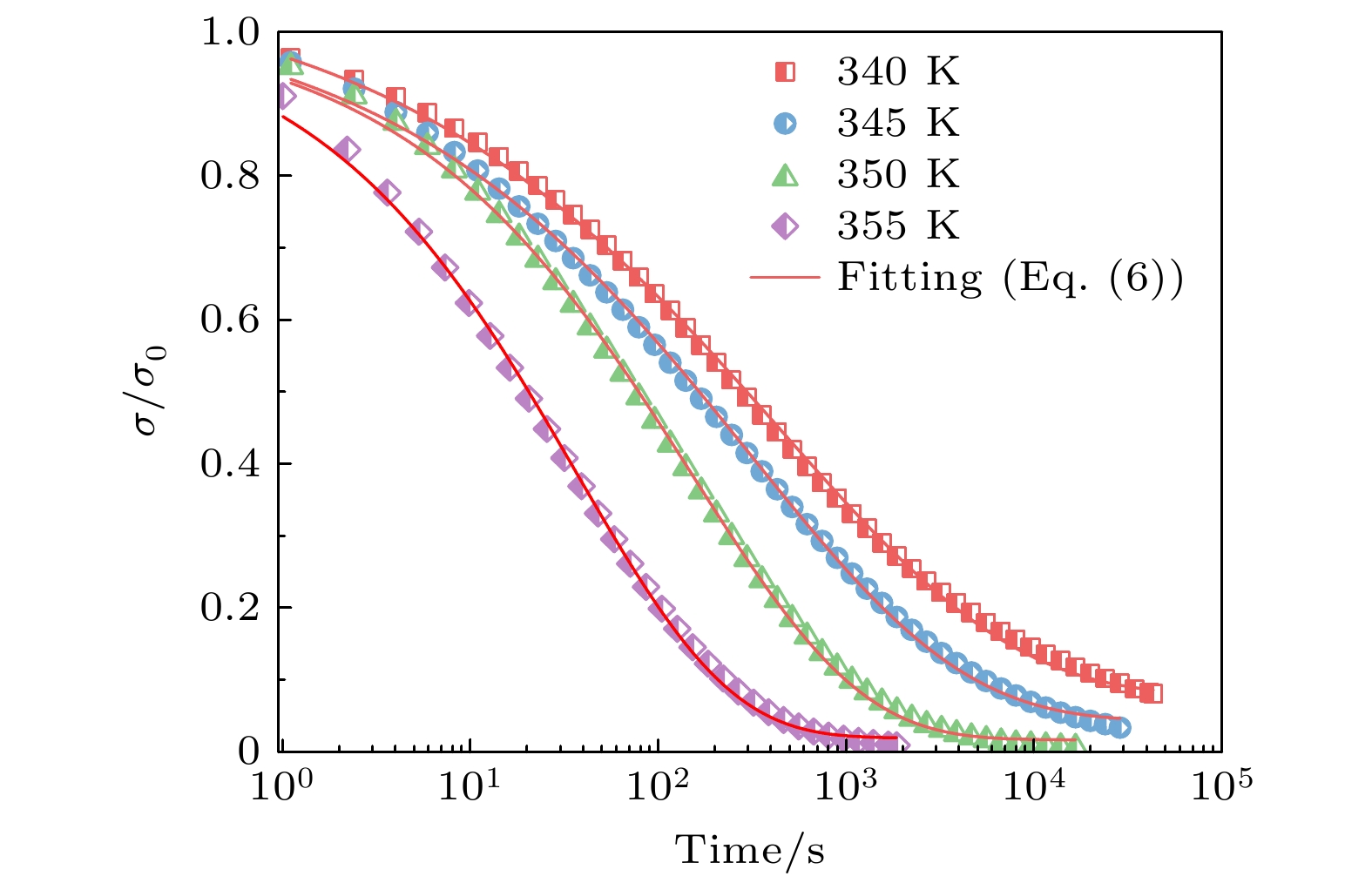
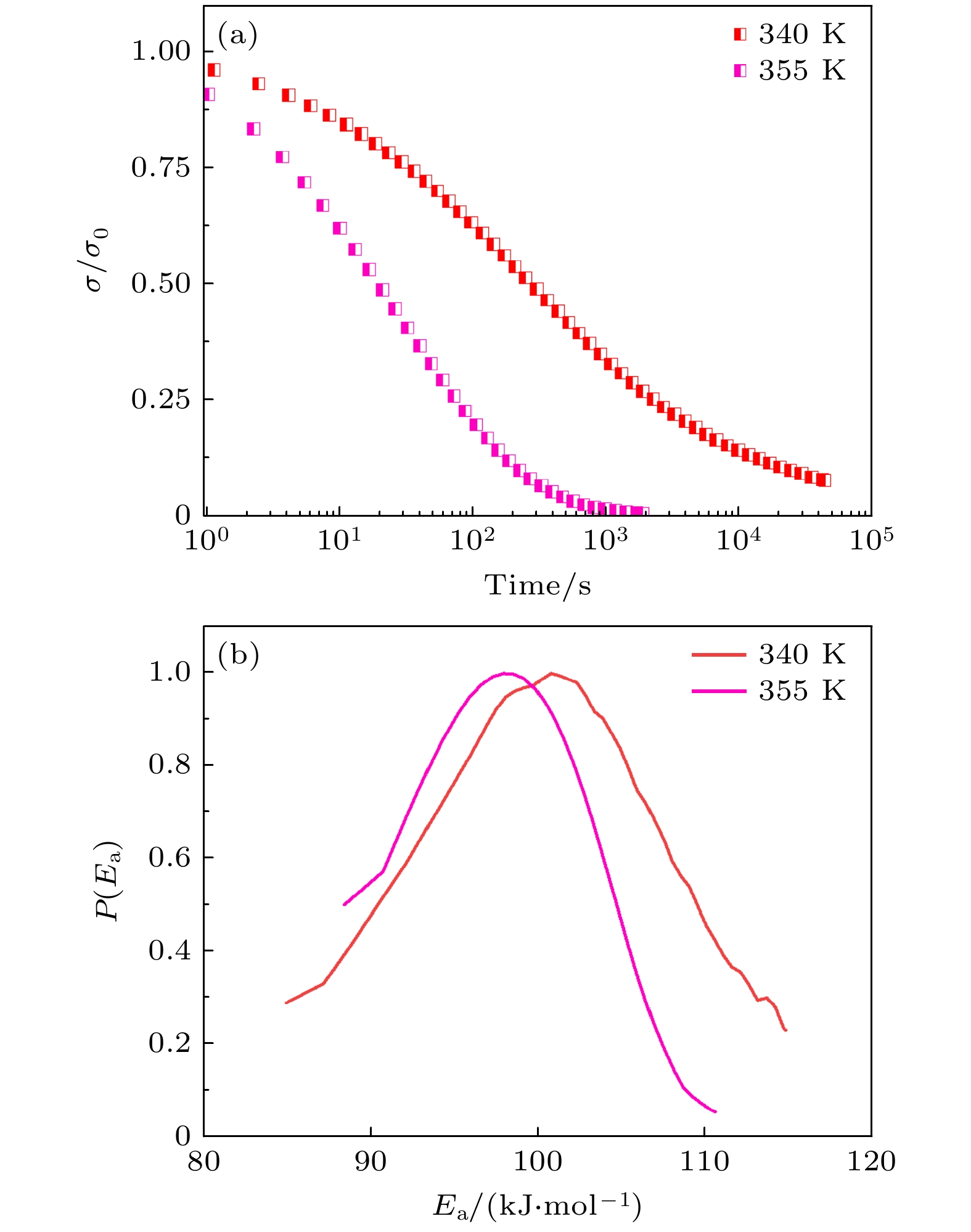
The dynamic relaxation process and stress relaxation process are two important processes which can reflect the microstructures of materials, for they are closely related to the diffusions, the glass transition phenomena and the microstructural heterogeneities. It is of great significance to explore the relationship among them. In the current research, theβ-relaxation characteristics and stress relaxation behaviors of bulk and ribbon samples obtained by different cooling rates are systematically investigated by taking the typical La-based amorphous alloys as model systems. The experimental results demonstrate that the cooling rate is an important parameter for controlling the energy state of the glass system, which further affects its physical and mechanical properties. Based on the dynamical mechanical spectra, the larger the cooling rate, the greater the low-temperature internal friction is and the smaller the beta relaxation activation energy according to Arrhenius calculations, and the greater the broadening of the beta relaxation behavior in the temperature spectra, suggesting that the higher cooling rate leads to greater atomic mobility and a high degree of heterogeneity in the microstructure. Thermodynamic analysis is conducted to study the slow process of thermal activation and the fast process driven by stress. At low temperature, the activation volume of the strip sample is larger than that of the bulk sample, and the activation volume values of the two samples are almost the same, as the cooling rate only affect theβrelaxation stage, but exert little effect on theαrelaxation, which is consistent with the conclusion that the stress relaxation behavior andβrelaxation behavior are related to the structural non-uniformity of the amorphous alloy. The stress relaxation tests show that the characteristic time of deformation decreases at higher cooling rate, the normalized stress decay is larger, it is easier to deform under an applied force field, and the deformation unit is more likely to activate to accommodate structural deformation. The correlation between stress relaxation andβrelaxation of amorphous alloy is further confirmed, and the proportion of liquid-like region is proportional to the relaxation mode spectrum, which also shows thatβrelaxation and stress relaxation are consistent. Finally, by calculating relaxation enthalpy
\begin{document}$ \Delta {H}_{{\mathrm{r}}{\mathrm{e}}{\mathrm{l}}} $\end{document}
, the variation of microstructure heterogeneity with cooling rate is experimentally verified. The research sheds new light on further clarifying the relationship amongβrelaxation, deformation and microstructural heterogeneity of the amorphous alloy.
The dynamic relaxation process and stress relaxation process are two important processes which can reflect the microstructures of materials, for they are closely related to the diffusions, the glass transition phenomena and the microstructural heterogeneities. It is of great significance to explore the relationship among them. In the current research, theβ-relaxation characteristics and stress relaxation behaviors of bulk and ribbon samples obtained by different cooling rates are systematically investigated by taking the typical La-based amorphous alloys as model systems. The experimental results demonstrate that the cooling rate is an important parameter for controlling the energy state of the glass system, which further affects its physical and mechanical properties. Based on the dynamical mechanical spectra, the larger the cooling rate, the greater the low-temperature internal friction is and the smaller the beta relaxation activation energy according to Arrhenius calculations, and the greater the broadening of the beta relaxation behavior in the temperature spectra, suggesting that the higher cooling rate leads to greater atomic mobility and a high degree of heterogeneity in the microstructure. Thermodynamic analysis is conducted to study the slow process of thermal activation and the fast process driven by stress. At low temperature, the activation volume of the strip sample is larger than that of the bulk sample, and the activation volume values of the two samples are almost the same, as the cooling rate only affect theβrelaxation stage, but exert little effect on theαrelaxation, which is consistent with the conclusion that the stress relaxation behavior andβrelaxation behavior are related to the structural non-uniformity of the amorphous alloy. The stress relaxation tests show that the characteristic time of deformation decreases at higher cooling rate, the normalized stress decay is larger, it is easier to deform under an applied force field, and the deformation unit is more likely to activate to accommodate structural deformation. The correlation between stress relaxation andβrelaxation of amorphous alloy is further confirmed, and the proportion of liquid-like region is proportional to the relaxation mode spectrum, which also shows thatβrelaxation and stress relaxation are consistent. Finally, by calculating relaxation enthalpy
2024, 73(3): 036102.
doi:10.7498/aps.73.20231568
Abstract:
Perovskite solar cells (PSCs) are considered as one of the strong contenders for next-generation space solar cells due to their advantages of high efficiency, low cost, high specific power, and remarkable irradiation resistance compared with those of silicon-based and III-V compound solar cells. At present, one focuses on the irradiation effects of perovskite solar cells, but there are a few studies on the irradiation damage mechanism of the core perovskite film. To advance the spatial application of perovskite solar cells, this study conducts a comprehensive examination of the performance fluctuations exhibited by mixed-cation perovskite films and solar cells under electron irradiation. Initially, the Monte Carlo method is employed to simulate and predict the effect of electron irradiation on perovskite solar cells. Subsequently, in conjunction with the microstructure characterization and the comparison of optical/electrical performance of perovskite films before and after irradiation, the irradiation damage mechanism of film is elucidated and the electron irradiation reliability of perovskite solar cells is evaluated. The research demonstrates that mixed-cation perovskite film and solar cells exhibit outstanding resistance to electron irradiation. Even when exposed to 100 keV electron irradiation with a cumulative fluence of 5×1015e·cm–2, the PSCs maintain an average power conversion efficiency of 17.29%, retaining approximately 85% of their initial efficiency. This study provides sound theoretical and experimental evidence for designing the irradiation-resistant reinforcement of new-generation space solar cells, contributing to the improvement of their operational performance and reliability in space applications.
Perovskite solar cells (PSCs) are considered as one of the strong contenders for next-generation space solar cells due to their advantages of high efficiency, low cost, high specific power, and remarkable irradiation resistance compared with those of silicon-based and III-V compound solar cells. At present, one focuses on the irradiation effects of perovskite solar cells, but there are a few studies on the irradiation damage mechanism of the core perovskite film. To advance the spatial application of perovskite solar cells, this study conducts a comprehensive examination of the performance fluctuations exhibited by mixed-cation perovskite films and solar cells under electron irradiation. Initially, the Monte Carlo method is employed to simulate and predict the effect of electron irradiation on perovskite solar cells. Subsequently, in conjunction with the microstructure characterization and the comparison of optical/electrical performance of perovskite films before and after irradiation, the irradiation damage mechanism of film is elucidated and the electron irradiation reliability of perovskite solar cells is evaluated. The research demonstrates that mixed-cation perovskite film and solar cells exhibit outstanding resistance to electron irradiation. Even when exposed to 100 keV electron irradiation with a cumulative fluence of 5×1015e·cm–2, the PSCs maintain an average power conversion efficiency of 17.29%, retaining approximately 85% of their initial efficiency. This study provides sound theoretical and experimental evidence for designing the irradiation-resistant reinforcement of new-generation space solar cells, contributing to the improvement of their operational performance and reliability in space applications.
2024, 73(3): 036103.
doi:10.7498/aps.73.20221360
Abstract:
AlGaN/GaN high election mobility transistor (HEMT) has important application prospects in satellite communication, radar, nuclear reactors and other extreme environments, owing to its excellent electrical performance and strong radiation resistance. Heavy ion radiation mainly causes single-event effect and displacement damage effect in AlGaN/GaN HEMT device. In this work, the displacement damage defects introduced by heavy ion radiation are analyzed in detail. With the increase of heavy ion radiation influence, more defects are introduced by displacement damage. These defects reduce the two-dimensional electron gas (2DEG) concentration through carrier capture and removal effect, and reduce the carrier mobility through scattering mechanism, resulting in gradual degradation of the electrical characteristics of the device. In this work, AlGaN/GaN high electron mobility transistors are irradiated by181Ta32+ions with fluences of 1×108ions/cm2, 1×109ions/cm2and 1×1010ions/cm2. The electrical characteristics, EMMI and low-frequency noise characteristics of the device before and after heavy ion radiation are measured. The results show that heavy ion radiation can lead to the degradation of electrical parameters. When the heavy ion radiation dose reaches 1×1010ions/cm2, the electrical characteristics of the device deteriorate seriously, the threshold voltage shifts forward by 25%, and the drain saturation current deteriorates obviously. The defect locations introduced by irradiation are analyzed by EMMI test, and it is found that the number of “hot spots” increases significantly after the having been irradiated by heavy ions with a fluence of 1×1010ions/cm2, indicating that the radiation leads to the increase of defect density and serious damage to the device. Through the noise test, it is found that with the increase of the radiation fluence, the current noise power spectral density gradually increases. When the fluence reaches 1×1010ions/cm2, the defect density increases to 3.19×1018cm–3·eV–1, and the Hooge parameter increases after having been irradiated by heavy ions. We believe that the radiation leads to the defect density and parasitic series resistance of AlGaN/GaN HEMT device to increases, resulting in larger Hooge parameters. Through analyzing the variation of the normalized power spectral density of the drain current noise with bias voltage, it is found that the defects caused by heavy ion radiation will cause the parasitic series resistance to increase.
AlGaN/GaN high election mobility transistor (HEMT) has important application prospects in satellite communication, radar, nuclear reactors and other extreme environments, owing to its excellent electrical performance and strong radiation resistance. Heavy ion radiation mainly causes single-event effect and displacement damage effect in AlGaN/GaN HEMT device. In this work, the displacement damage defects introduced by heavy ion radiation are analyzed in detail. With the increase of heavy ion radiation influence, more defects are introduced by displacement damage. These defects reduce the two-dimensional electron gas (2DEG) concentration through carrier capture and removal effect, and reduce the carrier mobility through scattering mechanism, resulting in gradual degradation of the electrical characteristics of the device. In this work, AlGaN/GaN high electron mobility transistors are irradiated by181Ta32+ions with fluences of 1×108ions/cm2, 1×109ions/cm2and 1×1010ions/cm2. The electrical characteristics, EMMI and low-frequency noise characteristics of the device before and after heavy ion radiation are measured. The results show that heavy ion radiation can lead to the degradation of electrical parameters. When the heavy ion radiation dose reaches 1×1010ions/cm2, the electrical characteristics of the device deteriorate seriously, the threshold voltage shifts forward by 25%, and the drain saturation current deteriorates obviously. The defect locations introduced by irradiation are analyzed by EMMI test, and it is found that the number of “hot spots” increases significantly after the having been irradiated by heavy ions with a fluence of 1×1010ions/cm2, indicating that the radiation leads to the increase of defect density and serious damage to the device. Through the noise test, it is found that with the increase of the radiation fluence, the current noise power spectral density gradually increases. When the fluence reaches 1×1010ions/cm2, the defect density increases to 3.19×1018cm–3·eV–1, and the Hooge parameter increases after having been irradiated by heavy ions. We believe that the radiation leads to the defect density and parasitic series resistance of AlGaN/GaN HEMT device to increases, resulting in larger Hooge parameters. Through analyzing the variation of the normalized power spectral density of the drain current noise with bias voltage, it is found that the defects caused by heavy ion radiation will cause the parasitic series resistance to increase.
2024, 73(3): 036201.
doi:10.7498/aps.73.20231081
Abstract:
As is well known, iron plays an important role in the fields of national defense and industry, so it is of great significance to study its behavior under dynamic high pressure. As one of the most common defects in metals in nature, grain boundaries have an important influence on the mechanical properties and deformation of materials under shock. This work intends to use large-scale non-equilibrium molecular dynamics simulation to study the influence of iron anisotropy on the phase transition in bicrystal under shock loading. By tracking the local structure, shear stress distribution and morphology characteristics after shock on both sides of the grain boundaries, the factors affecting the response on both sides of the grain boundary are analyzed. Our research result shows that shocking along the non-centrosymmetric grain direction can cause significant differences in the phase transition threshold, path and mode on both sides of the symmetric grain boundary. Especially, the different phase transition dynamic processes on both sides of the sigma11 grain boundary are discussed in detail in this work, which have been rarely discussed in previous studies. Considering the symmetry of the microstructure on both sides of this type of grain boundary, the result of asymmetric shock response is different from people’s inertial cognition. Finally, it is found that the atoms in both models will shift along the direction perpendicular to the shocked direction under shock, indicating that the shock wave generated by the piston method should no longer be simply regarded as one-dimensional when shocked along the non centrosymmetric crystal direction, and the displacement of atoms along the direction perpendicular to the shocked direction is closely related to the symmetry of the crystal, which causes significant differences in shear stress on both sides of the grain boundary and ultimately affects the shock response. This study reveals that the anisotropy of lattice has an important effect on the phase transition on both sides of grain boundaries under shock loading, which can provide theoretical support for the experimental studies of polycrystalline metals and alloys under shock.
As is well known, iron plays an important role in the fields of national defense and industry, so it is of great significance to study its behavior under dynamic high pressure. As one of the most common defects in metals in nature, grain boundaries have an important influence on the mechanical properties and deformation of materials under shock. This work intends to use large-scale non-equilibrium molecular dynamics simulation to study the influence of iron anisotropy on the phase transition in bicrystal under shock loading. By tracking the local structure, shear stress distribution and morphology characteristics after shock on both sides of the grain boundaries, the factors affecting the response on both sides of the grain boundary are analyzed. Our research result shows that shocking along the non-centrosymmetric grain direction can cause significant differences in the phase transition threshold, path and mode on both sides of the symmetric grain boundary. Especially, the different phase transition dynamic processes on both sides of the sigma11 grain boundary are discussed in detail in this work, which have been rarely discussed in previous studies. Considering the symmetry of the microstructure on both sides of this type of grain boundary, the result of asymmetric shock response is different from people’s inertial cognition. Finally, it is found that the atoms in both models will shift along the direction perpendicular to the shocked direction under shock, indicating that the shock wave generated by the piston method should no longer be simply regarded as one-dimensional when shocked along the non centrosymmetric crystal direction, and the displacement of atoms along the direction perpendicular to the shocked direction is closely related to the symmetry of the crystal, which causes significant differences in shear stress on both sides of the grain boundary and ultimately affects the shock response. This study reveals that the anisotropy of lattice has an important effect on the phase transition on both sides of grain boundaries under shock loading, which can provide theoretical support for the experimental studies of polycrystalline metals and alloys under shock.
2024, 73(3): 036801.
doi:10.7498/aps.73.20231109
Abstract:
Hydrophobic force, a key driving force in colloid physicochemical system and biological macromolecular system, exhibits a distinct multi-scale effect. The prevailing scholarly consensus attributes long-range hydrophobic force to bubble bridging, facilitated by unstable liquid film cavitation, while short-range force is thought to arise from the reorganization of water molecules at the solid-liquid interface. However, a comprehensive theoretical study remains elusive. To further elucidate the mechanism of the long-range hydrophobic force based on unstable liquid film cavitation, we carry out systematic research on the long-range hydrophobic force between perfluorooctyl trichlorosilane hydrophobic particles and the surface, by utilizing atomic force microscopy (AFM) and molecular dynamics simulations. According to AFM force tests, the long-range hydrophobic force escalates incrementally with subsequent close contacts before reaching a plateau. On the tenth contact, the penetration curve exhibits a sudden jump to an adhesion distance of 502.01 nm. A distinct step in the retraction curve suggests the rupture of the cavitation bubble capillary bridge. Importantly, the classical capillary force mathematical model provides an effective fit for the penetration curve. Our calculations estimate the volume of the capillary bridge at 0.30 μm³, offering direct theoretical evidence of the unstable liquid film cavitation bubble capillary bridge. Further insights are gained from large-scale tensile molecular dynamics simulations by using GROningen MAchine for Chemical Simulations (GROMACS). The inherent correlation mechanism of the formation, evolution, and mechanical behavior of the cavitation bubble capillary bridge in the separation process of hydrophobic particles are further explored from a molecular perspective. The results demonstrate that the local pressure drop occurring at the moment of “jump-out” separation of the hydrophobic particles attracts nitrogen molecules to diffuse into the liquid film, thereby forming a cavitation bubble capillary bridge. Simultaneously, a jumping behavior is observed in the calculated spring potential curve at the moment of capillary bridge rupture. Finally, the influence of solution gas content on long-range hydrophobic force is investigated. There is a positive correlation between gas molecule content and both the growth rate of cavitation bubble capillary bridge volume and the length of capillary bridge stretch-rupture, further demonstrating the gas concentration dependence of long-range hydrophobic forces. In a word, revealing the long-range hydrophobic force mechanism based on the cavitation of unstable liquid film can enhance our understanding of the interaction between colloid physical chemistry and biological macromolecules. Meanwhile, hydrophobic force is the fundamental driving force of particle-bubble adhesion in mineral flotation system, and the revelation of its action mechanism has important guiding significance for regulating the actual mineral flotation process.
Hydrophobic force, a key driving force in colloid physicochemical system and biological macromolecular system, exhibits a distinct multi-scale effect. The prevailing scholarly consensus attributes long-range hydrophobic force to bubble bridging, facilitated by unstable liquid film cavitation, while short-range force is thought to arise from the reorganization of water molecules at the solid-liquid interface. However, a comprehensive theoretical study remains elusive. To further elucidate the mechanism of the long-range hydrophobic force based on unstable liquid film cavitation, we carry out systematic research on the long-range hydrophobic force between perfluorooctyl trichlorosilane hydrophobic particles and the surface, by utilizing atomic force microscopy (AFM) and molecular dynamics simulations. According to AFM force tests, the long-range hydrophobic force escalates incrementally with subsequent close contacts before reaching a plateau. On the tenth contact, the penetration curve exhibits a sudden jump to an adhesion distance of 502.01 nm. A distinct step in the retraction curve suggests the rupture of the cavitation bubble capillary bridge. Importantly, the classical capillary force mathematical model provides an effective fit for the penetration curve. Our calculations estimate the volume of the capillary bridge at 0.30 μm³, offering direct theoretical evidence of the unstable liquid film cavitation bubble capillary bridge. Further insights are gained from large-scale tensile molecular dynamics simulations by using GROningen MAchine for Chemical Simulations (GROMACS). The inherent correlation mechanism of the formation, evolution, and mechanical behavior of the cavitation bubble capillary bridge in the separation process of hydrophobic particles are further explored from a molecular perspective. The results demonstrate that the local pressure drop occurring at the moment of “jump-out” separation of the hydrophobic particles attracts nitrogen molecules to diffuse into the liquid film, thereby forming a cavitation bubble capillary bridge. Simultaneously, a jumping behavior is observed in the calculated spring potential curve at the moment of capillary bridge rupture. Finally, the influence of solution gas content on long-range hydrophobic force is investigated. There is a positive correlation between gas molecule content and both the growth rate of cavitation bubble capillary bridge volume and the length of capillary bridge stretch-rupture, further demonstrating the gas concentration dependence of long-range hydrophobic forces. In a word, revealing the long-range hydrophobic force mechanism based on the cavitation of unstable liquid film can enhance our understanding of the interaction between colloid physical chemistry and biological macromolecules. Meanwhile, hydrophobic force is the fundamental driving force of particle-bubble adhesion in mineral flotation system, and the revelation of its action mechanism has important guiding significance for regulating the actual mineral flotation process.
2024, 73(3): 037202.
doi:10.7498/aps.73.20231393
Abstract:
In this work, we numerically study the localization properties in a quasi-periodically modulated one-dimensional cross-stitch lattice with a flat band. When
\begin{document}$\varDelta\neq0$\end{document}
, it is found that there are two different quasi-periodic modulation frequencies in the system after the local transformation, and the competing modulation by two frequencies may lead to the reentrant localization transition in the system. By numerically solving the fractal dimension, the average inverse participation ratio, and the average normalized participation ratio, we confirm that the system can undergo twice localization transitions. It means that the system first becomes localized as the disorder increases, at some critical points, some of the localized states go back to the delocalized ones, and as the disorder further increases, the system again becomes fully localized. By the scalar analysis of the normalized participation ratio, we confirm that reentrant localization stably exists in the system. And the local phase diagram is also obtained. From the local phase diagram, we find that when
\begin{document}$1.6<\varDelta<1.9$\end{document}
, the system undergoes a cascade of delocalization-localization-delocalization-localization transition by increasingλ. When
\begin{document}$\varDelta=0$\end{document}
, there exists only one quasi-periodic modulation frequency in the system. And we analytically obtain the expressions of the mobility edges, which are in consistence with the numerical studies by calculating the fractal dimension. And the system exhibits one localization transition. This work could expand the understanding of the reentrant localization in a flat band system and offers a new perspective on the research of the reentrant localization transition.
In this work, we numerically study the localization properties in a quasi-periodically modulated one-dimensional cross-stitch lattice with a flat band. When
2024, 73(3): 037501.
doi:10.7498/aps.73.20231066
Abstract:
Magnetic refrigeration has become a promising new technology to replace conventional vapor-compression refrigeration technology, for it has excellent application characteristics such as the high efficiency, environmental friendliness and structural simplicity. Many studies have been carried out to analyze the various subsystems, but the interaction laws between the systems are not yet clear, and the optimization of each subsystem is still an area of research worth exploring. This work is based on a compact room temperature magnetic refrigeration system developed before, and carries out experimental research on the different flow time ratio to explore the correlation among refrigeration temperature span, cooling capacity, pressure drop, coefficient of performance (COP) and blow fraction under a fixed magnetic field timing. Especially, the effects of different flow time ratios (100%, 80%, 60%) on the system performance are studied under magnetic field timing of 1∶4∶1∶4 and a frequency of 0.45 Hz. The experimental results reveal that a low utilization factor combined with a high flow time ratio can achieve a greater temperature spread, whereas a high utilization factor combined with a high flow time ratio can accomplish a bigger cooling capacity. When the utilization factor is 0.42 and the flow time ratio is 100%, the maximum unloaded cooling temperature span is 26.2 K. Meanwhile, the effects of the utilization factor and flow time ratio on the pressure drop and COP of the regenerator are studied in detail. It is discovered that raising the flow time ratio and reducing the utilization factor both result in a fall in fluid velocity, which leads the pressure to further decrease and the COP to rise. In a word, this research investigates the relationship among cooling temperature span, cooling capacity, pressure drop, COP, and flow time ratio in a fixed magnetic field timing, thus providing the groundwork for future improving the performances of room temperature magnetic refrigeration systems.
Magnetic refrigeration has become a promising new technology to replace conventional vapor-compression refrigeration technology, for it has excellent application characteristics such as the high efficiency, environmental friendliness and structural simplicity. Many studies have been carried out to analyze the various subsystems, but the interaction laws between the systems are not yet clear, and the optimization of each subsystem is still an area of research worth exploring. This work is based on a compact room temperature magnetic refrigeration system developed before, and carries out experimental research on the different flow time ratio to explore the correlation among refrigeration temperature span, cooling capacity, pressure drop, coefficient of performance (COP) and blow fraction under a fixed magnetic field timing. Especially, the effects of different flow time ratios (100%, 80%, 60%) on the system performance are studied under magnetic field timing of 1∶4∶1∶4 and a frequency of 0.45 Hz. The experimental results reveal that a low utilization factor combined with a high flow time ratio can achieve a greater temperature spread, whereas a high utilization factor combined with a high flow time ratio can accomplish a bigger cooling capacity. When the utilization factor is 0.42 and the flow time ratio is 100%, the maximum unloaded cooling temperature span is 26.2 K. Meanwhile, the effects of the utilization factor and flow time ratio on the pressure drop and COP of the regenerator are studied in detail. It is discovered that raising the flow time ratio and reducing the utilization factor both result in a fall in fluid velocity, which leads the pressure to further decrease and the COP to rise. In a word, this research investigates the relationship among cooling temperature span, cooling capacity, pressure drop, COP, and flow time ratio in a fixed magnetic field timing, thus providing the groundwork for future improving the performances of room temperature magnetic refrigeration systems.
2024, 73(3): 037502.
doi:10.7498/aps.73.20231436
Abstract:
Among the spectra of rare-earth permanent magnetic materials, the Sm-Co-based alloys stand out with their excellent magnetic properties in high-temperature environments. However, the practical applications of these alloys in high-temperature settings face constraints due to their comparatively lower saturation magnetization and structural stability. In this study, Fe, Ni, Cu, and Zr are used as representative transition metal elements to investigate the effects of doping elements on the structural stability, magnetic properties, and electronic structure of SmCo3alloy by first-principles calculations. The findings indicate that the doping of elements Ni, Cu, and Fe contributes positively to enhancing the structural stability of the SmCo3, while the introduction of Zr element has an adverse effect. Magnetic property calculations reveal that the incorporation of non-magnetic elements leads the total magnetic moment of the SmCo3to decrease to a certain extent, whereas the introduction of magnetic elements can enhance the total magnetic moment. Notably, not all doped magnetic elements in the SmCo3result in an increasing total magnetic moment. The underlying microscopic mechanisms are elucidated through electronic structure analysis. Finally, it is screened out that the transition element Fe is beneficial to improving the magnetic properties and structural stability of SmCo3, and the doping concentration (atomic percentage) in its unit cell ranges from 0 to 22.22%, the optimal doping concentration (atomic percentage) is predicted to be 18.52%.
Among the spectra of rare-earth permanent magnetic materials, the Sm-Co-based alloys stand out with their excellent magnetic properties in high-temperature environments. However, the practical applications of these alloys in high-temperature settings face constraints due to their comparatively lower saturation magnetization and structural stability. In this study, Fe, Ni, Cu, and Zr are used as representative transition metal elements to investigate the effects of doping elements on the structural stability, magnetic properties, and electronic structure of SmCo3alloy by first-principles calculations. The findings indicate that the doping of elements Ni, Cu, and Fe contributes positively to enhancing the structural stability of the SmCo3, while the introduction of Zr element has an adverse effect. Magnetic property calculations reveal that the incorporation of non-magnetic elements leads the total magnetic moment of the SmCo3to decrease to a certain extent, whereas the introduction of magnetic elements can enhance the total magnetic moment. Notably, not all doped magnetic elements in the SmCo3result in an increasing total magnetic moment. The underlying microscopic mechanisms are elucidated through electronic structure analysis. Finally, it is screened out that the transition element Fe is beneficial to improving the magnetic properties and structural stability of SmCo3, and the doping concentration (atomic percentage) in its unit cell ranges from 0 to 22.22%, the optimal doping concentration (atomic percentage) is predicted to be 18.52%.
2024, 73(3): 037601.
doi:10.7498/aps.73.20231240
Abstract:
The relationship between stress relaxation behavior and inherent microstructural heterogeneity in amorphous polystyrene materials is studied in this work. Starting from the basic Maxwell viscoelastic model and extending to the three-parameter stretched exponential equation, the nature of the distribution of characteristic timescales and the segmental effects during polymer stress relaxation are discussed. The results indicate that the stress relaxation behavior of amorphous polymers exhibits non-exponential characteristics. Neither a single characteristic time with exponential decay nor a finite spectrum method with finite characteristic time can adequately describe the stress relaxation behavior of polystyrene due to the continuous distribution of characteristic timescales resulting from microstructural heterogeneity in amorphous polymers. In addition, the changes in stress relaxation behavior caused by physical aging are explored. Aging leads to a transition of the system towards a more stable energy state, making it difficult to activate the relaxation of the individual units, thus slowing down the stress relaxation process and increasing the characteristic time.
The relationship between stress relaxation behavior and inherent microstructural heterogeneity in amorphous polystyrene materials is studied in this work. Starting from the basic Maxwell viscoelastic model and extending to the three-parameter stretched exponential equation, the nature of the distribution of characteristic timescales and the segmental effects during polymer stress relaxation are discussed. The results indicate that the stress relaxation behavior of amorphous polymers exhibits non-exponential characteristics. Neither a single characteristic time with exponential decay nor a finite spectrum method with finite characteristic time can adequately describe the stress relaxation behavior of polystyrene due to the continuous distribution of characteristic timescales resulting from microstructural heterogeneity in amorphous polymers. In addition, the changes in stress relaxation behavior caused by physical aging are explored. Aging leads to a transition of the system towards a more stable energy state, making it difficult to activate the relaxation of the individual units, thus slowing down the stress relaxation process and increasing the characteristic time.
2024, 73(3): 037801.
doi:10.7498/aps.73.20231542
Abstract:
In order to improve the performance of transmitted GaAs photoelectric cathode, the quantum efficiency curve of Chinese transmitted GaAs photoelectric cathode is compared with that of the product of American ITT company, showing that the integration sensitivity of Chinese transmitted photoelectric cathode is 2130 μA/lm, and the American ITT company’s reaches 2330 μA/lm. Through the matrix method to solve the three membranes, the theoretical reflectivity is obtained. Based on the uniform doping transmission GaAs photocathode quantum efficiency formula, by replacing the fixed valueRwith variable value
\begin{document}$ {R}_{{\mathrm{t}}{\mathrm{h}}{\mathrm{e}}} $\end{document}
, adding the short wave constraint factor, and modifying the quantum efficiency formula, a modified uniform doping transmission GaAs photocathode quantum efficiency formula is obtained. Using the revised quantum efficiency, optical performance and integral sensitivity theory model, through fitting the quantum efficiency curve of American ITT company product, introducing the ITT cathode component performance parameters, comparing the performance parameters of Chinese product, the results show that the Chinese photocathode in the window layer, the thickness of the emission layer, electron diffusion length and rear interface composite rate has a certain gap with ITT’s. In order to shorten the gap between the two and optimize the cathode structure parameters, the transmission GaAs photocathode optical structure software is designed to further analyze the influence of the electron diffusion length and the emission layer thickness on the quantum efficiency of the photocathode. The results show that with an electron diffusion length of 7 μm and emission layer thickness of 1.5 μm, the transmitted GaAs photocathode sensitivity can be more than 2800 μA/lm. However, the large electron diffusion length has high requirements for cathode materials and preparation level. The reasons responsible for the performance gap between Chinese product and other country’s are that in China the growth process of cathode materials is not jet matureand the cathode preparation equipment is out of date . In this paper, we study the relationship between GaAs photocathode optical performance and photoemission performance, and further optimize the structural design of cathode components, which has certain guiding significance for improving the cathode quantum efficiency and the level of image intensifier.
In order to improve the performance of transmitted GaAs photoelectric cathode, the quantum efficiency curve of Chinese transmitted GaAs photoelectric cathode is compared with that of the product of American ITT company, showing that the integration sensitivity of Chinese transmitted photoelectric cathode is 2130 μA/lm, and the American ITT company’s reaches 2330 μA/lm. Through the matrix method to solve the three membranes, the theoretical reflectivity is obtained. Based on the uniform doping transmission GaAs photocathode quantum efficiency formula, by replacing the fixed valueRwith variable value
2024, 73(3): 037802.
doi:10.7498/aps.73.20230858
Abstract:
It is difficult to enhance the blue or purple luminescence efficiency of organic light-emitting device ( OLED) for practice display applications. In this work, aluminum nano particles (Al-NPs) are inserted into the light-tight TmPyPb electron transporting layer (ETL) of ITO/PEDOT:PSS/TAPC/BCzVBi:BCPO/TmPyPb/Liq/Al OLEDs, in which BCzVBi can emit deep-blue fluorescent light, with the attempts to overcome the above deficiency through the local surface plasmon polariton (LSPP) effect excited in Al-NP at higher resonance frequencies by the luminescence radiations from BCzVBi. The distances of Al-NPs from BCzVBi:BCPO fluorescent layer are chosen asx= 4, 8, 12 nm. The morphologies observed by atom force microscope and scan electron microscope show that the Al film with a thickness of 1 nm, deposited at room temperature by vacuum heat evaporate, is composed of separated Al grains (therefore, called Al-NPs) with sizes on a 10 nm scale. By inserting these Al-NPs into the TmPyPb ETL, both the current density and luminance at the same voltage decrease in comparison with the counterparts of reference devices (i.e. ones without Al-NPs) due to the worsened carrier mobility. However, the current density and luminance both rebound significantly atx= 8 nm. This may be due to the fact that the fluorescence quenching strongly occurs atx< 8 nm, and on the other hand, the local surface plasmon polariton is weakened too much atx> 8 nm due to attenuated radiation from BCzVBi. Atx= 8 nm, the voltage (9 V) at which the luminance reaches a maximum value is the same as that for the reference device, but the maximum luminance itself decreases from 4200 Cd/m2to 3500 Cd/m2. However, the current density also decreases from 335.19 mA/cm2to 145.71 mA/cm2. This conversely results in a promising great increase of current efficiency from 0.88 Cd·A–1to 2.36 Cd·A–1. Subsequently, the external quantum efficiency (EQE) is enhanced by 170%, while the efficiency roll-off ratio decreases from 78% to 30.5%, with a decrement of 61%. At a high current density of 270 mA/cm2, EQE enhances 66.5%. The coupling between fluorescence excitation state and local surface plasmon polariton is determined by the overlapping between fluorescence emitting peak and plasmon resonance peak. As aluminum has a number density of free electrons, 18.1×1022cm–3, much larger than those for the other normally used metals (such as gold and silver), its spectrum of local surface plasmon polariton is enough to cover the fluorescence wavelength range of BCzVBi. These research results show that the luminescence efficiency of deep-blue OLEDs can be turned better by LSPP excited in Al-NPs at higher resonance frequencies.
It is difficult to enhance the blue or purple luminescence efficiency of organic light-emitting device ( OLED) for practice display applications. In this work, aluminum nano particles (Al-NPs) are inserted into the light-tight TmPyPb electron transporting layer (ETL) of ITO/PEDOT:PSS/TAPC/BCzVBi:BCPO/TmPyPb/Liq/Al OLEDs, in which BCzVBi can emit deep-blue fluorescent light, with the attempts to overcome the above deficiency through the local surface plasmon polariton (LSPP) effect excited in Al-NP at higher resonance frequencies by the luminescence radiations from BCzVBi. The distances of Al-NPs from BCzVBi:BCPO fluorescent layer are chosen asx= 4, 8, 12 nm. The morphologies observed by atom force microscope and scan electron microscope show that the Al film with a thickness of 1 nm, deposited at room temperature by vacuum heat evaporate, is composed of separated Al grains (therefore, called Al-NPs) with sizes on a 10 nm scale. By inserting these Al-NPs into the TmPyPb ETL, both the current density and luminance at the same voltage decrease in comparison with the counterparts of reference devices (i.e. ones without Al-NPs) due to the worsened carrier mobility. However, the current density and luminance both rebound significantly atx= 8 nm. This may be due to the fact that the fluorescence quenching strongly occurs atx< 8 nm, and on the other hand, the local surface plasmon polariton is weakened too much atx> 8 nm due to attenuated radiation from BCzVBi. Atx= 8 nm, the voltage (9 V) at which the luminance reaches a maximum value is the same as that for the reference device, but the maximum luminance itself decreases from 4200 Cd/m2to 3500 Cd/m2. However, the current density also decreases from 335.19 mA/cm2to 145.71 mA/cm2. This conversely results in a promising great increase of current efficiency from 0.88 Cd·A–1to 2.36 Cd·A–1. Subsequently, the external quantum efficiency (EQE) is enhanced by 170%, while the efficiency roll-off ratio decreases from 78% to 30.5%, with a decrement of 61%. At a high current density of 270 mA/cm2, EQE enhances 66.5%. The coupling between fluorescence excitation state and local surface plasmon polariton is determined by the overlapping between fluorescence emitting peak and plasmon resonance peak. As aluminum has a number density of free electrons, 18.1×1022cm–3, much larger than those for the other normally used metals (such as gold and silver), its spectrum of local surface plasmon polariton is enough to cover the fluorescence wavelength range of BCzVBi. These research results show that the luminescence efficiency of deep-blue OLEDs can be turned better by LSPP excited in Al-NPs at higher resonance frequencies.
2024, 73(3): 037803.
doi:10.7498/aps.73.20231405
Abstract:
Up-conversion nanoparticle (UCNP) can collect near-infrared (NIR) light and convert it into visible light. Therefore, UCNP has potential applications in fields such as biomedicine, anti-counterfeiting, and solar cells. However, the efficiency of traditional UCNP in the above-mentioned fields is relatively low, greatly limiting its use in related fields. Therefore, enhancing the up-conversion luminescence intensity of up-conversion nanoparticles is particularly important and urgently needed. In this work, anodic alumina templates are used to enhance the luminescence intensity of up-conversion nanocrystals. NaYF4:Yb3+, Er3+with a diameter of 35 nm is prepared by using co-precipitation method. Single pass AAO templates with pore size and pore spacing of 88 nm and 100 nm are prepared by using two-step anodization method. Finally, NaYF4:Yb3+, Er3+/AAO composite structures are formed by using spin coating method. The red green light emission intensity of NaYF4:Yb3+, Er3+/AAO sample can increase 4.4 and 9.0 times that of NaYF4:Yb3+, Er3+/Al reference sample, respectively. The enhancement mechanism is explored by using the finite difference time domain method, and the results show that the primary source of enhancement is the localized surface plasmon resonance effect of the pores in the anodic alumina template. At the same time, the relationship between the up-conversion luminescence intensity of NaYF4:Yb3+, Er3+/AAO sample and the incident angle is investigated. The experimental results show that as the incident angle increases, the luminescence intensity of the red and green light of NaYF4:Yb3+, Er3+/AAO samples first decrease and then increase. Due to the coupling of the local surface plasmon resonance with the excitation wavelength and emission wavelength, the up-conversion luminescence intensity of the sample can be affected. The relationship of AAO channel enhancement factor with incident angle at excitation wavelength and emission wavelength is studied by using the finite difference time domain method. The results indicate that as the incident angle increases, the enhancement factor at the excitation wavelength decreases, while the enhancement factor at the emission wavelength increases after being illuminated at an incident angle of 15°. Therefore, when the incident angle is less than 20°, the electric field intensity at 980 nm dominates, but when it is greater than 20°, the electric field intensity at 540 nm and 650 nm takes precedence. The above results provide a reference for putting them into practical applications in the fields of anti-counterfeiting and solar cells.
Up-conversion nanoparticle (UCNP) can collect near-infrared (NIR) light and convert it into visible light. Therefore, UCNP has potential applications in fields such as biomedicine, anti-counterfeiting, and solar cells. However, the efficiency of traditional UCNP in the above-mentioned fields is relatively low, greatly limiting its use in related fields. Therefore, enhancing the up-conversion luminescence intensity of up-conversion nanoparticles is particularly important and urgently needed. In this work, anodic alumina templates are used to enhance the luminescence intensity of up-conversion nanocrystals. NaYF4:Yb3+, Er3+with a diameter of 35 nm is prepared by using co-precipitation method. Single pass AAO templates with pore size and pore spacing of 88 nm and 100 nm are prepared by using two-step anodization method. Finally, NaYF4:Yb3+, Er3+/AAO composite structures are formed by using spin coating method. The red green light emission intensity of NaYF4:Yb3+, Er3+/AAO sample can increase 4.4 and 9.0 times that of NaYF4:Yb3+, Er3+/Al reference sample, respectively. The enhancement mechanism is explored by using the finite difference time domain method, and the results show that the primary source of enhancement is the localized surface plasmon resonance effect of the pores in the anodic alumina template. At the same time, the relationship between the up-conversion luminescence intensity of NaYF4:Yb3+, Er3+/AAO sample and the incident angle is investigated. The experimental results show that as the incident angle increases, the luminescence intensity of the red and green light of NaYF4:Yb3+, Er3+/AAO samples first decrease and then increase. Due to the coupling of the local surface plasmon resonance with the excitation wavelength and emission wavelength, the up-conversion luminescence intensity of the sample can be affected. The relationship of AAO channel enhancement factor with incident angle at excitation wavelength and emission wavelength is studied by using the finite difference time domain method. The results indicate that as the incident angle increases, the enhancement factor at the excitation wavelength decreases, while the enhancement factor at the emission wavelength increases after being illuminated at an incident angle of 15°. Therefore, when the incident angle is less than 20°, the electric field intensity at 980 nm dominates, but when it is greater than 20°, the electric field intensity at 540 nm and 650 nm takes precedence. The above results provide a reference for putting them into practical applications in the fields of anti-counterfeiting and solar cells.
2024, 73(3): 038101.
doi:10.7498/aps.73.20230984
Abstract:
AgNbO
3, with the antiferroelectric ordering and huge polarization (>50 μC/cm
2), has potential applications in smart electronic devices, such as energy storage dielectrics, large displacement actuators, and electrocaloric cooling device. Large electro-strain and excellent energy storage properties have been reported in AgNbO
3-based ceramics. Nevertheless, the lack of systematic research on the AbNbO
3single crystals increases the difficulty in further understanding their structure-property relationship.
In this work,
\begin{document}${\left\langle {001} \right\rangle _c}$\end{document}
oriented AgNbO
3single crystals with a large size (maximum size 5 mm×4 mm×4 mm) and high quality are successfully grown by the flux method. The phase transition characteristics are studied by the X-ray diffraction, temperature dependence of dielectric data and AC impedance, polarized light microscope photos, and differential scanning calorimetry curves. The electrical and optical properties are studied by the ferroelectric response and electro-strain response, optical absorbance spectrum and photo-dielectric effect.
The AgNbO
3single crystals with the
Mphase exhibit the same domain structure. When the structure changes from
M
2to
M
3, the contrast of the PLM image is darkened. Correspondingly, the conductivity and dielectric loss significantly increase, which relates to the dynamic behaviors of the carriers. Interestingly, neither exothermic peak nor endothermic peak relating to the
M
2-
M
3transition is observed. The active energy for the
M
3phase AgNbO
3single crystal is ~1.24 eV. When the structure changes from orthogonal
M
3to paraelectric orthogonal
O, the domain structure disappears and the contrast becomes darker. The finding indicates that the anisotropy of the crystals disappears. At the same time, an obvious thermal hysteresis observed in the DSC curve reveals that the
M
3-
Otransition is first-order. At room temperature, the direct band gap of AgNbO
3single crystal is ~2.73 eV, which is slightly narrower than that of AgNbO
3ceramic. Below the critical electric field, AgNbO
3single crystal shows an electro-strain of 0.076% under
E
m= 130 kV/cm. The obtained electro-strain value is much higher than that of AgNbO
3ceramic under the same electric field. The relative permittivity increases from 70 to 73 under the green laser irradiation, showing an apparent photo-dielectric effect. We believe that our study can assist in the further understanding of the phase transition characteristics and physical properties in AgNbO
3single crystals.
2024, 73(3): 038401.
doi:10.7498/aps.73.20231455
Abstract:
The high-speed rotating superconducting rotor can be used as a high-precision inertial device to measure the angular position or angular velocity of the carrier. The mass eccentricity and spherical error of the superconducting rotor are the main error sources that affect the measurement accuracy. The more complex the structure of the superconducting rotor, the greater the mass eccentricity and spherical error caused by its production and assembly process are, and the lower the accuracy of its measurement of angular velocity. Based on this, in this work, an electromagnetic drive structure with a simple rotor structure is designed. And the torque generated by the stator on the superconducting rotor is studied through finite element method (FEM). The effects of the stator on vertical alignment and acceleration of the superconducting rotor are analyzed. Based on the research results of the superconducting rotor torque, a superconducting rotor drive method with integrated driving and vertical alignment is proposed, which achieves the driving and vertical alignment functions simultaneously through the stator coil, and corresponding stator control timing is designed. Finally, the torque distribution in the driving process of the proposed driving method is analyzed, and the driving effect is quantitatively analyzed based on the response characteristics of the stator system. The time for the superconducting rotor to be accelerated to 50 Hz under different conditions is calculated. The results show that the designed driving electromagnetic structure and the proposed integrated driving method of vertical alignment and driving can be used for vertical aligning and driving the superconducting rotor. The research results provide a reference for further optimizing the superconducting rotor structure and driving methods of superconducting rotors.
The high-speed rotating superconducting rotor can be used as a high-precision inertial device to measure the angular position or angular velocity of the carrier. The mass eccentricity and spherical error of the superconducting rotor are the main error sources that affect the measurement accuracy. The more complex the structure of the superconducting rotor, the greater the mass eccentricity and spherical error caused by its production and assembly process are, and the lower the accuracy of its measurement of angular velocity. Based on this, in this work, an electromagnetic drive structure with a simple rotor structure is designed. And the torque generated by the stator on the superconducting rotor is studied through finite element method (FEM). The effects of the stator on vertical alignment and acceleration of the superconducting rotor are analyzed. Based on the research results of the superconducting rotor torque, a superconducting rotor drive method with integrated driving and vertical alignment is proposed, which achieves the driving and vertical alignment functions simultaneously through the stator coil, and corresponding stator control timing is designed. Finally, the torque distribution in the driving process of the proposed driving method is analyzed, and the driving effect is quantitatively analyzed based on the response characteristics of the stator system. The time for the superconducting rotor to be accelerated to 50 Hz under different conditions is calculated. The results show that the designed driving electromagnetic structure and the proposed integrated driving method of vertical alignment and driving can be used for vertical aligning and driving the superconducting rotor. The research results provide a reference for further optimizing the superconducting rotor structure and driving methods of superconducting rotors.
2024, 73(3): 038501.
doi:10.7498/aps.73.20231504
Abstract:
As a newly developed pair-breaking superconducting detector, microwave kinetic inductance detectors are simple to integrate in the frequency domain and have already been used in astronomical detection and array imaging at the (sub)millimeter and optical wavelengths. For these applications, the dark noise level of kinetic inductance detector is one of the key performance indicators. Herein a noise power spectrum analysis method is introduced in detail, which can accurately and effectively analyze the noise spectrum of kinetic inductance detector in a wide frequency range. This method can well balance the noise spectrum resolution and variance performance, by taking the noise data at the resonance frequency with two sampling rates and setting the appropriate frequency resolutions for different frequency bands. This method is used to characterize and compare the noise of aluminum (Al) kinetic inductance detectors made from two different micromachining processes. We deposite a 25-nm-thick aluminum film on high-resistivity silicon substrate for one device, while place one silicon nitride (SiNx) film on the top and one on the bottom of the aluminum film for another device. It is found that the frequency noise of the device with two silicon nitride films is about 25% to 50% of the bare aluminum device. Using this double silicon nitride film fabrication technique, we further fabricate a few groups of lumped-element aluminum kinetic inductance detectors with various inductor and interdigitated capacitor designs. We investigate the noise properties of these devices at different microwave driven power and bath temperatures, and the experimental results show typical two-level system noise behaviors. Our work provides a standard method to characterize the noise power spectrum of kinetic inductor detector, and also paves the way to developing low-noise aluminum kinetic inductance detectors for terahertz imaging, photon-counting and energy-resolving applications.
As a newly developed pair-breaking superconducting detector, microwave kinetic inductance detectors are simple to integrate in the frequency domain and have already been used in astronomical detection and array imaging at the (sub)millimeter and optical wavelengths. For these applications, the dark noise level of kinetic inductance detector is one of the key performance indicators. Herein a noise power spectrum analysis method is introduced in detail, which can accurately and effectively analyze the noise spectrum of kinetic inductance detector in a wide frequency range. This method can well balance the noise spectrum resolution and variance performance, by taking the noise data at the resonance frequency with two sampling rates and setting the appropriate frequency resolutions for different frequency bands. This method is used to characterize and compare the noise of aluminum (Al) kinetic inductance detectors made from two different micromachining processes. We deposite a 25-nm-thick aluminum film on high-resistivity silicon substrate for one device, while place one silicon nitride (SiNx) film on the top and one on the bottom of the aluminum film for another device. It is found that the frequency noise of the device with two silicon nitride films is about 25% to 50% of the bare aluminum device. Using this double silicon nitride film fabrication technique, we further fabricate a few groups of lumped-element aluminum kinetic inductance detectors with various inductor and interdigitated capacitor designs. We investigate the noise properties of these devices at different microwave driven power and bath temperatures, and the experimental results show typical two-level system noise behaviors. Our work provides a standard method to characterize the noise power spectrum of kinetic inductor detector, and also paves the way to developing low-noise aluminum kinetic inductance detectors for terahertz imaging, photon-counting and energy-resolving applications.
2024, 73(3): 038701.
doi:10.7498/aps.73.20231787
Abstract:
Traditional lung function detectors are based on measuring the changes in airflow and pressure during expiration and inspiration to evaluate the respiratory function of the subject. These techniques are mainly based on mechanical differential pressure sensors or turbine sensors which evaluate the lung function of the subject by measuring the ability of the subject to blow and inhale and determine their lung function parameters, including peak expiratory flow (PEF) and forced vital capacity (FVC). In this study, we present a wearable respiratory function testing system called the wearable respiratory spectrometer, which is developed based on dynamic humidity sensing technology. By exploring the principles and quantitative design of respiratory detection and conducting simulations of humidity sensors, we investigate the comprehensive characteristics of the system. According to Darcy’s law, the gas flow measured by the wearable respiratory spectrometer is directly proportional to the pressure difference inside and outside the device, showing that the system follows the differential pressure sensing principle. According to this basis and combining the structural characteristics of the system, we establish a quantitative relationship among PEF, FVC, and the changes in sensor electrical signals.
The experimental results validate a linear positive correlation between the maximum rate of relative humidity change inside the spectrometer and PEF. Additionally, the results of simulated moisture volume experiments of the spectrometer show that in the measurement range from 180 to 840 L/min, the indication error of PEF is less than 10%, the adjacent test error is less than 5%, and the frequency response test error is less than 12%, which meet the industry standards for peak expiratory flow meters. Moreover, we compare the spectrometer with traditional portable lung function testing devices in simulated moisture volume experiments at different PEFs (300 to 720 L/min) and FVCs (3 to 6 L) . The results demonstrate that the average indication error of measured PEF and FVC by the spectrometer are about 0.35% and 0.23%, respectively, both are much lower than those of the portable lung function testing devices, thus fully verifying the accuracy and reliability of this system for real-time lung function assessment. Importantly, under simulated free-breathing conditions (PEF from 12 to 24 L/min, FVC from 0.5 to 0.7 L), the changes in the electrical signals of the spectrometer maintain a linear relationship with the moisture volume. Therefore, the wearable respiratory spectrometer can provide the long-term, free, dynamic, and quantitative monitoring of natural and weak nasal breathing. The measured respiratory spectra of subjects have great potential in real-time monitoring of lung function and remote monitoring of respiratory system diseases.
2024, 73(3): 038801.
doi:10.7498/aps.73.20231139
Abstract:
The preparation of hybrid perovskite solar cells is expensive and environmentally demanding. Carbon-based HTL-free perovskite solar cells (C-PSCs) have attracted much attention because they replace the expensive precious metal electrode and remove the poor stability of the hole transport material. However, the improvement of efficiency is hampered by poor carrier separation and transport performance within C-PSCs, while the enhancement of the built-in electric field can improve the carrier transport performance, thus enhancing photoelectric performance. The built-in electric field can be regulated by doping. The anomalous photovoltaic effect and the built-in electric field of ferroelectric material play an important role in the field of optoelectronics. In this work, a simple and effective method is developed to improve the performance of perovskite solar cells via the combination of internal doping of ferroelectric polymer and external control of electric field. Ferroelectric material barium titanate (BaTiO3) powder is added into perovskite precursor solution as an additive to prepare C-PSCs, which can improve the perovskite film morphology, reduce the film defect density, and enhance the carrier transport performance of C-PSCs. The results show that when the addition of BaTiO3is 1.0% (mass fraction), the perovskite film is uniform and dense, and the photoelectric conversion efficiency of the cell is the highest. After the forward voltage polarization treatment, the residual polarized electric field of ferroelectric material BaTiO3increases the built-in electric field, which provides sufficient power for realizing carrier transport and extraction, thus inhibiting the occurrence of non-radiative recombination. At the same time, the depletion layer width is increased, and the reverse saturation current is reduced, so the cell performance is significantly improved. The optimal device efficiency is 9.02%. This work provides an efficient strategy for regulating the built-in electric field by doping perovskite absorption layer.
The preparation of hybrid perovskite solar cells is expensive and environmentally demanding. Carbon-based HTL-free perovskite solar cells (C-PSCs) have attracted much attention because they replace the expensive precious metal electrode and remove the poor stability of the hole transport material. However, the improvement of efficiency is hampered by poor carrier separation and transport performance within C-PSCs, while the enhancement of the built-in electric field can improve the carrier transport performance, thus enhancing photoelectric performance. The built-in electric field can be regulated by doping. The anomalous photovoltaic effect and the built-in electric field of ferroelectric material play an important role in the field of optoelectronics. In this work, a simple and effective method is developed to improve the performance of perovskite solar cells via the combination of internal doping of ferroelectric polymer and external control of electric field. Ferroelectric material barium titanate (BaTiO3) powder is added into perovskite precursor solution as an additive to prepare C-PSCs, which can improve the perovskite film morphology, reduce the film defect density, and enhance the carrier transport performance of C-PSCs. The results show that when the addition of BaTiO3is 1.0% (mass fraction), the perovskite film is uniform and dense, and the photoelectric conversion efficiency of the cell is the highest. After the forward voltage polarization treatment, the residual polarized electric field of ferroelectric material BaTiO3increases the built-in electric field, which provides sufficient power for realizing carrier transport and extraction, thus inhibiting the occurrence of non-radiative recombination. At the same time, the depletion layer width is increased, and the reverse saturation current is reduced, so the cell performance is significantly improved. The optimal device efficiency is 9.02%. This work provides an efficient strategy for regulating the built-in electric field by doping perovskite absorption layer.
2024, 73(3): 038901.
doi:10.7498/aps.73.20231096
Abstract:
Quantifying structural similarity between complex networks presents a fundamental and formidable challenge in network science, which plays a crucial role in various fields, such as bioinformatics, social science, and economics, and serves as an effective method for network classification, temporal network evolution, network generated model evaluation, etc. Traditional network comparison methods often rely on simplistic structural properties such as node degree and network distance. However, these methods only consider the local or global aspect of a network, leading to inaccuracies in network similarity assessments. In this study, we introduce a network similarity comparison method based on the high-order structure. This innovative approach takes into account the global and the local structure of a network, resulting in a more comprehensive and accurate quantification of the network difference. Specifically, we construct distributions of higher-order clustering coefficient and distance between nodes in a network. The Jensen-Shannon divergence, based on these two distributions, is used to quantitatively measure the similarity between two networks, offering a more refined and robust measure of network similarity. To validate the effectiveness of our proposed method, we conduct a series of comprehensive experiments on the artificial and the real-world network, spanning various domains and applications. By meticulously fine-tuning the parameters related to three different artificial network generation models, we systematically compare the performances of our method under various parameter settings in the same network. In addition, we generate four different network models with varying levels of randomization, creating a diverse set of test cases to evaluate the robustness and adaptability of the method. In artificial networks, we rigorously compare our proposed method with other baseline techniques, consistently demonstrating its superior accuracy and stability through experimental results; in real networks, we select datasets from diverse domains and confirm the reliability of our method by conducting extensive similarity assessments between real networks and their perturbed reconstructed counterparts. Furthermore, in real networks, the rigorous comparison between our method and null models underscores its robustness and stability across a broad spectrum of scenarios and applications. Finally, a meticulous sensitivity analysis of the parameters reveals that our method exhibits remarkable performance consistency across networks of different types, scales, and complexities.
Quantifying structural similarity between complex networks presents a fundamental and formidable challenge in network science, which plays a crucial role in various fields, such as bioinformatics, social science, and economics, and serves as an effective method for network classification, temporal network evolution, network generated model evaluation, etc. Traditional network comparison methods often rely on simplistic structural properties such as node degree and network distance. However, these methods only consider the local or global aspect of a network, leading to inaccuracies in network similarity assessments. In this study, we introduce a network similarity comparison method based on the high-order structure. This innovative approach takes into account the global and the local structure of a network, resulting in a more comprehensive and accurate quantification of the network difference. Specifically, we construct distributions of higher-order clustering coefficient and distance between nodes in a network. The Jensen-Shannon divergence, based on these two distributions, is used to quantitatively measure the similarity between two networks, offering a more refined and robust measure of network similarity. To validate the effectiveness of our proposed method, we conduct a series of comprehensive experiments on the artificial and the real-world network, spanning various domains and applications. By meticulously fine-tuning the parameters related to three different artificial network generation models, we systematically compare the performances of our method under various parameter settings in the same network. In addition, we generate four different network models with varying levels of randomization, creating a diverse set of test cases to evaluate the robustness and adaptability of the method. In artificial networks, we rigorously compare our proposed method with other baseline techniques, consistently demonstrating its superior accuracy and stability through experimental results; in real networks, we select datasets from diverse domains and confirm the reliability of our method by conducting extensive similarity assessments between real networks and their perturbed reconstructed counterparts. Furthermore, in real networks, the rigorous comparison between our method and null models underscores its robustness and stability across a broad spectrum of scenarios and applications. Finally, a meticulous sensitivity analysis of the parameters reveals that our method exhibits remarkable performance consistency across networks of different types, scales, and complexities.
2024, 73(3): 039501.
doi:10.7498/aps.73.20231481
Abstract:
The slit imaging spectrometer is one of the important tools for solar extreme ultraviolet (EUV) spectral imaging detection. However, at present, there is no such instrument load in China. The research of solar physics and space weather in the field of EUV spectral diagnosis mainly depends on foreign instrument data, which seriously restricts the development of related disciplines. The spectral imaging instruments that have been launched internationally have only a spatial resolution of
\begin{document}$2''$\end{document}
, and it is difficult to observe the core characteristics of the plasma related to the coronal heating mechanism predicted by the theoretical model. In order to better understand the coupling process between different layers of the sun’s atmosphere, solar physics research requires the observed data with wider spectral coverage. In light of this, we propose and design a sub-angular second spatially resolved solar extreme ultraviolet broadband imaging spectrometer operating in a band range of 62–80 nm and 92–110 nm. Compared with the existing instruments, the system can achieve high spatial resolution and spectral resolution, and wide spectral range coverage. Performance evaluation results indicate that the imaging spectrometer’s spatial resolutions in both bands are better than 0.4'', and their spectral resolutions are both better than 0.007 nm, with spectral imaging quality approaching the diffraction limit. The system designed in this work holds significant reference value for developing the first Chinese space-based solar EUV spectroscopic instrument in the future.
The slit imaging spectrometer is one of the important tools for solar extreme ultraviolet (EUV) spectral imaging detection. However, at present, there is no such instrument load in China. The research of solar physics and space weather in the field of EUV spectral diagnosis mainly depends on foreign instrument data, which seriously restricts the development of related disciplines. The spectral imaging instruments that have been launched internationally have only a spatial resolution of












