2025 Vol. 74, No. 11
column
- The 90th Anniversary of Acta Physica Sinica
- INVITED REVIEW
- SPECIAL TOPIC—Technology of magnetic resonance
- INSTRUMENTATION AND MEASUREMENT
- GENERAL
- NUCLEAR PHYSICS
- ATOMIC AND MOLECULAR PHYSICS
- ELECTROMAGNETISM, OPTICS, ACOUSTICS, HEAT TRANSFER, CLASSICAL MECHANICS, AND FLUID DYNAMICS
- PHYSICS OF GASES, PLASMAS, AND ELECTRIC DISCHARGES
- CONDENSED MATTER: STRUCTURAL, MECHANICAL, AND THERMAL PROPERTIES
- CONDENSED MATTER: ELECTRONIC STRUCTURE, ELECTRICAL, MAGNETIC, AND OPTICAL PROPERTIES
- INTERDISCIPLINARY PHYSICS AND RELATED AREAS OF SCIENCE AND TECHNOLOGY
Display Method:
2025, 74(11): 112101.
doi: 10.7498/aps.74.20241650
Abstract:
The equation of state (EoS) of nuclear matter is a description of the macroscopic properties of nuclear matter under different thermodynamic conditions or external fields, which is critical for understanding the theory of the strong interaction—quantum chromodynamics (QCD), the nature of nuclei, the dynamics of heavy-ion collisions (HICs), the internal structure of compact stars, the merger of binary neutron stars, and other physical phenomena. Heavy-ion collisions (HICs) are the only method in laboratories to create nuclear matter with extreme conditions such as high temperatures and high densities. HICs at different energy levels offer the possibility to quantitatively study the properties of nuclear matter under diverse thermodynamic conditions. This paper mainly presents the current research status of the EoS of nuclear matter and introduces the fundamental observables in HICs that are sensitive to the EoS, as well as the typical experiments and results used to explore the EoS. The progress in studying the EoS containing strangeness is also described and its possible research directions in the future are also discussed. The status and progress of worldwide heavy-ion accelerators and experimental spectrometers in the high-baryon density region are introduced, including China’s large-scale scientific facilities, i.e HIRFL-CSR and HIAF, as well as the CEE experiment. Additionally, the opportunities and challenges for experimental research on the EoS of nuclear matter in China are discussed.
The equation of state (EoS) of nuclear matter is a description of the macroscopic properties of nuclear matter under different thermodynamic conditions or external fields, which is critical for understanding the theory of the strong interaction—quantum chromodynamics (QCD), the nature of nuclei, the dynamics of heavy-ion collisions (HICs), the internal structure of compact stars, the merger of binary neutron stars, and other physical phenomena. Heavy-ion collisions (HICs) are the only method in laboratories to create nuclear matter with extreme conditions such as high temperatures and high densities. HICs at different energy levels offer the possibility to quantitatively study the properties of nuclear matter under diverse thermodynamic conditions. This paper mainly presents the current research status of the EoS of nuclear matter and introduces the fundamental observables in HICs that are sensitive to the EoS, as well as the typical experiments and results used to explore the EoS. The progress in studying the EoS containing strangeness is also described and its possible research directions in the future are also discussed. The status and progress of worldwide heavy-ion accelerators and experimental spectrometers in the high-baryon density region are introduced, including China’s large-scale scientific facilities, i.e HIRFL-CSR and HIAF, as well as the CEE experiment. Additionally, the opportunities and challenges for experimental research on the EoS of nuclear matter in China are discussed.
2025, 74(11): 117402.
doi: 10.7498/aps.74.20250241
Abstract:
As pointed out by Nambu-Goldstone theorem, the breaking of continuous symmetry gives rise to massless or gapless bosonic excitations. In superconductors, continuous local U(1) gauge symmetry is broken. The gapless excitation thus created is the collective phase mode of the superconducting order parameter. In 1962, Philip Anderson pointed out that the Coulomb interaction between Cooper pairs lifts this gapless mode to the superconducting plasma frequency. Therefore, in a superconducting fluid there are no bosonic excitations below the binding energy of the Cooper pairs (2Δ). Anderson’s mechanism also implies that the massless photon, which mediates electromagnetic interaction, becomes massive in a superconductor. This mechanism provides a microscopic theory for the dissipationless charge transport (in conjunction with Landau’s criterion for superfluidity) as well as the Meissner effect inside a superconductor. Jumping into particle physics, in 1964 in order to explain why the gauge bosons for electroweak interaction, namely the W±, Z bosons, are massive, Peter Higgs, François Englert, Tom Kibble and colleagues proposed the existence of a field (presently referred to as the Higgs field) in nature. This matter field couples to the massless W±, Z bosons and generates mass via the Higgs mechanism. Due to their conceptual similarities, these two mechanisms are collectively referred to as the Anderson-Higgs mechanism nowadays. In 2013, the scalar excitation of the Higgs field, namely the Higgs boson, was detected at the Large Hadron Collider, providing the final proof for the Higgs hypothesis nearly 50 years after its proposal. The amplitude mode of the superconducting order parameter, which corresponds to the Higgs boson through the above analogy, is referred to as the Higgs mode of a superconductor. Its spectroscopic detection has also remained elusive for nearly half a century. In recent years, the development of ultrafast and nonlinear spectroscopic techniques enabled an effective approach for investigating the Higgs mode of superconductors. In this paper, we will introduce the historical background of the Higgs mode and review the recent developments in its spectroscopy study. We will also discuss the novel perspectives and insights that may be learnt from these studies for future high-temperature superconductivity research.
As pointed out by Nambu-Goldstone theorem, the breaking of continuous symmetry gives rise to massless or gapless bosonic excitations. In superconductors, continuous local U(1) gauge symmetry is broken. The gapless excitation thus created is the collective phase mode of the superconducting order parameter. In 1962, Philip Anderson pointed out that the Coulomb interaction between Cooper pairs lifts this gapless mode to the superconducting plasma frequency. Therefore, in a superconducting fluid there are no bosonic excitations below the binding energy of the Cooper pairs (2Δ). Anderson’s mechanism also implies that the massless photon, which mediates electromagnetic interaction, becomes massive in a superconductor. This mechanism provides a microscopic theory for the dissipationless charge transport (in conjunction with Landau’s criterion for superfluidity) as well as the Meissner effect inside a superconductor. Jumping into particle physics, in 1964 in order to explain why the gauge bosons for electroweak interaction, namely the W±, Z bosons, are massive, Peter Higgs, François Englert, Tom Kibble and colleagues proposed the existence of a field (presently referred to as the Higgs field) in nature. This matter field couples to the massless W±, Z bosons and generates mass via the Higgs mechanism. Due to their conceptual similarities, these two mechanisms are collectively referred to as the Anderson-Higgs mechanism nowadays. In 2013, the scalar excitation of the Higgs field, namely the Higgs boson, was detected at the Large Hadron Collider, providing the final proof for the Higgs hypothesis nearly 50 years after its proposal. The amplitude mode of the superconducting order parameter, which corresponds to the Higgs boson through the above analogy, is referred to as the Higgs mode of a superconductor. Its spectroscopic detection has also remained elusive for nearly half a century. In recent years, the development of ultrafast and nonlinear spectroscopic techniques enabled an effective approach for investigating the Higgs mode of superconductors. In this paper, we will introduce the historical background of the Higgs mode and review the recent developments in its spectroscopy study. We will also discuss the novel perspectives and insights that may be learnt from these studies for future high-temperature superconductivity research.
2025, 74(11): 117601.
doi: 10.7498/aps.74.20250224
Abstract:
High-pressure extreme conditions are crucial for realizing novel states and regulating material properties, while magnetic resonance technology is a widely used method to characterize microscopic magnetic structures and magnetic properties. The integration of these two fields offers new opportunities for cutting-edge research in condensed matter physics and materials science. However, conventional magnetic resonance is limited by several factors, such as low spin polarization and low signal detection efficiency, which makes in-situ measurement of micrometer-sized samples under ultra-high pressure a challenge. Recent advances in quantum sensing with color centers in solids, in particular, the development of quantum sensors based on nitrogen vacancy (NV) centers in diamond, provide an innovative solution for magnetic resonance and in-situ quantum sensing under high pressure. This article summarizes the effects of high-pressure conditions on the spin and optical properties, as well as on the magnetic resonance of diamond NV centers. In addition, this article reviews recent advances in high-pressure quantum sensing through applications such as magnetic imaging, pressure detection, and the study of the superconducting Meissner effect under high pressure.
High-pressure extreme conditions are crucial for realizing novel states and regulating material properties, while magnetic resonance technology is a widely used method to characterize microscopic magnetic structures and magnetic properties. The integration of these two fields offers new opportunities for cutting-edge research in condensed matter physics and materials science. However, conventional magnetic resonance is limited by several factors, such as low spin polarization and low signal detection efficiency, which makes in-situ measurement of micrometer-sized samples under ultra-high pressure a challenge. Recent advances in quantum sensing with color centers in solids, in particular, the development of quantum sensors based on nitrogen vacancy (NV) centers in diamond, provide an innovative solution for magnetic resonance and in-situ quantum sensing under high pressure. This article summarizes the effects of high-pressure conditions on the spin and optical properties, as well as on the magnetic resonance of diamond NV centers. In addition, this article reviews recent advances in high-pressure quantum sensing through applications such as magnetic imaging, pressure detection, and the study of the superconducting Meissner effect under high pressure.
2025, 74(11): 118702.
doi: 10.7498/aps.74.20250325
Abstract:
Transcytolemmal water exchange is a critical process for maintaining cellular homeostasis and function, serving as a potential biological marker for tumor proliferation, prognosis, and cellular states. The use of magnetic resonance imaging (MRI) to measure transcytolemmal water exchange can be traced back to the 1960s, when researchers first measured the residence time of intracellular water molecules in erythrocyte suspensions. Meanwhile, the multi-exponential nature of nuclear magnetic resonance signals in biological tissues was discovered. Studies suggested that transcytolemmal water exchange could be one of the factors explaining this characteristic, marking the beginning of research into measuring transcytolemmal water exchange by using magnetic resonance techniques. After decades of development, the current MRI techniques for measuring transcytolemmal water exchange can be broadly classified into two types: relaxation time based and diffusion based magnetic resonance measurement methods. This review introduces the development of these technologies, and discusses the principles, mathematical/biophysical models, results, and validation of representative methods. Regarding relaxation-based MR techniques, this review systematically organizes MRI methods to quantify transcytolemmal water exchange through chronological developments of three biological substrates: ex vivo cell suspensions, ex vivo biological tissues, and in vivo biological tissues. The modeling section emphasizes two frameworks, including the two-site-exchange model and the three-site-two-exchange shutter-speed model. Regarding diffusion-based MR techniques, this review introduces the research progress of diffusion-encoding and modeling for water exchange measurement. The diffusion-encoding methods are introduced according to single diffusion encoding sequences and the double diffusion encoding sequences. For modeling, it covers three types, including the Kärger model based on the two-component Gaussian diffusion assumption, the modified Kärger model incorporating restricted diffusion effects, and first-order reaction kinetic model. Additionally, comparative studies among different diffusion-based methodologies are also discussed. Finally, this review evaluates their respective clinical applications, advantages, and limitations. The future prospects for technological development in this field are also proposed.
Transcytolemmal water exchange is a critical process for maintaining cellular homeostasis and function, serving as a potential biological marker for tumor proliferation, prognosis, and cellular states. The use of magnetic resonance imaging (MRI) to measure transcytolemmal water exchange can be traced back to the 1960s, when researchers first measured the residence time of intracellular water molecules in erythrocyte suspensions. Meanwhile, the multi-exponential nature of nuclear magnetic resonance signals in biological tissues was discovered. Studies suggested that transcytolemmal water exchange could be one of the factors explaining this characteristic, marking the beginning of research into measuring transcytolemmal water exchange by using magnetic resonance techniques. After decades of development, the current MRI techniques for measuring transcytolemmal water exchange can be broadly classified into two types: relaxation time based and diffusion based magnetic resonance measurement methods. This review introduces the development of these technologies, and discusses the principles, mathematical/biophysical models, results, and validation of representative methods. Regarding relaxation-based MR techniques, this review systematically organizes MRI methods to quantify transcytolemmal water exchange through chronological developments of three biological substrates: ex vivo cell suspensions, ex vivo biological tissues, and in vivo biological tissues. The modeling section emphasizes two frameworks, including the two-site-exchange model and the three-site-two-exchange shutter-speed model. Regarding diffusion-based MR techniques, this review introduces the research progress of diffusion-encoding and modeling for water exchange measurement. The diffusion-encoding methods are introduced according to single diffusion encoding sequences and the double diffusion encoding sequences. For modeling, it covers three types, including the Kärger model based on the two-component Gaussian diffusion assumption, the modified Kärger model incorporating restricted diffusion effects, and first-order reaction kinetic model. Additionally, comparative studies among different diffusion-based methodologies are also discussed. Finally, this review evaluates their respective clinical applications, advantages, and limitations. The future prospects for technological development in this field are also proposed.
2025, 74(11): 118703.
doi: 10.7498/aps.74.20250235
Abstract:
Diffusion-weighted magnetic resonance imaging (DWI) holds significant value in neuroscience and clinical disease diagnosis. The most commonly used single-shot echo-planar imaging (EPI) for DWI is affected by static magnetic field (B0) inhomogeneity and\begin{document}$\rm T_2/T_2^*$\end{document} decay, leading to geometric distortion, low signal-to-noise ratio (SNR), etc. To solve these problems, researchers have developed more advanced high-resolution diffusion MRI techniques. This article comprehensively reviews these imaging methods. In the context of echo-planar imaging (EPI), this review covers multi-shot EPI-based DWI techniques, including readout-segmented EPI (RS-EPI), interleaved EPI (iEPI), point spread function-encoded EPI (PSF-EPI), and echo-planar time-resolved imaging (EPTI). These methods effectively reduce or eliminate geometric distortions while improving SNR and spatial resolution. Additionally, the combination of multi-shot EPI with simultaneous multi-slice (SMS) acquisition can shorten scan time, which is also briefly discussed in this article. Compared with EPI, spiral imaging offers higher SNR and sampling efficiency but is more sensitive to B0 inhomogeneity. In the spiral imaging section, we review single-shot spiral DWI and multi-shot spiral DWI, as well as their integration with SMS techniques. This article emphasizes the concepts, acquisition strategies, and reconstruction methods of these imaging techniques. Finally, we discuss the challenges and future directions of high-resolution diffusion imaging, including 3D DWI, body DWI, magnetic field probes, ultra-high gradient systems, and ultra-high-field MRI systems.
Diffusion-weighted magnetic resonance imaging (DWI) holds significant value in neuroscience and clinical disease diagnosis. The most commonly used single-shot echo-planar imaging (EPI) for DWI is affected by static magnetic field (B0) inhomogeneity and
2025, 74(11): 110702.
doi: 10.7498/aps.74.20250220
Abstract:
This paper focuses on standardized fabrications of atomic vapor cells with multipass cells. For this purpose, we build a vacuum system that enables the sealing of the multipass-cavity-assisted cell under vacuum. Alkali atoms are prepared inside a glass holder, and the tip of the holder is broken by controlled collisions under vacuum. Atoms are then transferred to a cell glass body part by heating. Once enough atoms accumulate inside the glass part, buffer and quenching gases are filled into the system, and the glass body part is moved to contact the silicon wafer which is bonded with a Herriott-cavity. Then the cavity part and the glass part are sealed together using the anodic bonding technique. The resulting vapor cells provide enhanced measurement sensitivity and improved device standardization, which allows for seamless replacements of each other in practical applications. The performances of these cells are tested, including a test in a double-resonance alkali-metal atomic magnetometer. A magnetic field sensitivity of 95 fT/Hz1/2 is achieved in a frequency range from 10 to 20 Hz with a multipass cell filled with 400 Torr (1 Torr = 1.33×102 Pa) N2 and natural Rb atoms at 100 ℃. The technology and cells developed in this work are expected to have wide applications in atomic devices, especially in He magnetometers and nuclear-spin atomic co-magnetometers, which have special requirements for cell qualities.
This paper focuses on standardized fabrications of atomic vapor cells with multipass cells. For this purpose, we build a vacuum system that enables the sealing of the multipass-cavity-assisted cell under vacuum. Alkali atoms are prepared inside a glass holder, and the tip of the holder is broken by controlled collisions under vacuum. Atoms are then transferred to a cell glass body part by heating. Once enough atoms accumulate inside the glass part, buffer and quenching gases are filled into the system, and the glass body part is moved to contact the silicon wafer which is bonded with a Herriott-cavity. Then the cavity part and the glass part are sealed together using the anodic bonding technique. The resulting vapor cells provide enhanced measurement sensitivity and improved device standardization, which allows for seamless replacements of each other in practical applications. The performances of these cells are tested, including a test in a double-resonance alkali-metal atomic magnetometer. A magnetic field sensitivity of 95 fT/Hz1/2 is achieved in a frequency range from 10 to 20 Hz with a multipass cell filled with 400 Torr (1 Torr = 1.33×102 Pa) N2 and natural Rb atoms at 100 ℃. The technology and cells developed in this work are expected to have wide applications in atomic devices, especially in He magnetometers and nuclear-spin atomic co-magnetometers, which have special requirements for cell qualities.
2025, 74(11): 117401.
doi: 10.7498/aps.74.20250271
Abstract:
Quantum sensing utilizes the quantum resources of well-controlled quantum systems to measure small signals with high sensitivity, and has great potential in both fundamental science and concrete applications. Interacting quantum systems have attracted increasing interest in the field of precise measurements, owing to their potential to generate quantum-correlated states and exhibit rich many-body dynamics. These features provide a novel avenue for exploiting quantum resources in sensing applications. Although previous studies have shown that using such systems can improve sensitivity, they mainly focused on measuring individual physical quantities. In experiment, the challenge of using interacting quantum systems to achieve high-precision measurements of multiple physical parameters simultaneously has not been explored to a large extent. In this study, we demonstrate a first realisation of interaction-based multiparameter sensing by using strongly interacting nuclear spins under ultra-low magnetic field conditions. We find that, as the interaction strength among nuclear spins becomes significantly larger than their Larmor frequencies, a different regime emerges where the strongly interacting spins can be simultaneously sensitive to all components of a multidimensional field, such as a three-dimensional magnetic field. Moreover, we observe that the strong interactions between nuclear spins can increase their quantum coherence times to as long as several seconds, thereby improving measurement precision. Our sensor successfully achieves precision measurement of three-dimensional vector magnetic fields with a field sensitivity reaching the order of 10–11 T and an angular resolution as high as 0.2 rad. Importantly, this approach eliminates the need for external reference fields, thereby avoiding calibration errors and technical noise commonly encountered in traditional magnetometry. Experimentally optimized protocol further enhances the sensitivity of the interacting spin-based sensor by up to five orders of magnitude compared with non-interacting or classical schemes. These results demonstrate the enormous potential of interacting spin systems as a powerful platform for high-precision multi-parameter quantum sensing. The techniques developed here pave the way for a new generation of quantum sensors that use intrinsic spin interactions to exceed the traditional sensitivity limits, presenting a promising route toward ultra-sensitive, calibration-free magnetometry in complex environments.
Quantum sensing utilizes the quantum resources of well-controlled quantum systems to measure small signals with high sensitivity, and has great potential in both fundamental science and concrete applications. Interacting quantum systems have attracted increasing interest in the field of precise measurements, owing to their potential to generate quantum-correlated states and exhibit rich many-body dynamics. These features provide a novel avenue for exploiting quantum resources in sensing applications. Although previous studies have shown that using such systems can improve sensitivity, they mainly focused on measuring individual physical quantities. In experiment, the challenge of using interacting quantum systems to achieve high-precision measurements of multiple physical parameters simultaneously has not been explored to a large extent. In this study, we demonstrate a first realisation of interaction-based multiparameter sensing by using strongly interacting nuclear spins under ultra-low magnetic field conditions. We find that, as the interaction strength among nuclear spins becomes significantly larger than their Larmor frequencies, a different regime emerges where the strongly interacting spins can be simultaneously sensitive to all components of a multidimensional field, such as a three-dimensional magnetic field. Moreover, we observe that the strong interactions between nuclear spins can increase their quantum coherence times to as long as several seconds, thereby improving measurement precision. Our sensor successfully achieves precision measurement of three-dimensional vector magnetic fields with a field sensitivity reaching the order of 10–11 T and an angular resolution as high as 0.2 rad. Importantly, this approach eliminates the need for external reference fields, thereby avoiding calibration errors and technical noise commonly encountered in traditional magnetometry. Experimentally optimized protocol further enhances the sensitivity of the interacting spin-based sensor by up to five orders of magnitude compared with non-interacting or classical schemes. These results demonstrate the enormous potential of interacting spin systems as a powerful platform for high-precision multi-parameter quantum sensing. The techniques developed here pave the way for a new generation of quantum sensors that use intrinsic spin interactions to exceed the traditional sensitivity limits, presenting a promising route toward ultra-sensitive, calibration-free magnetometry in complex environments.
2025, 74(11): 110701.
doi: 10.7498/aps.74.20250181
Abstract:
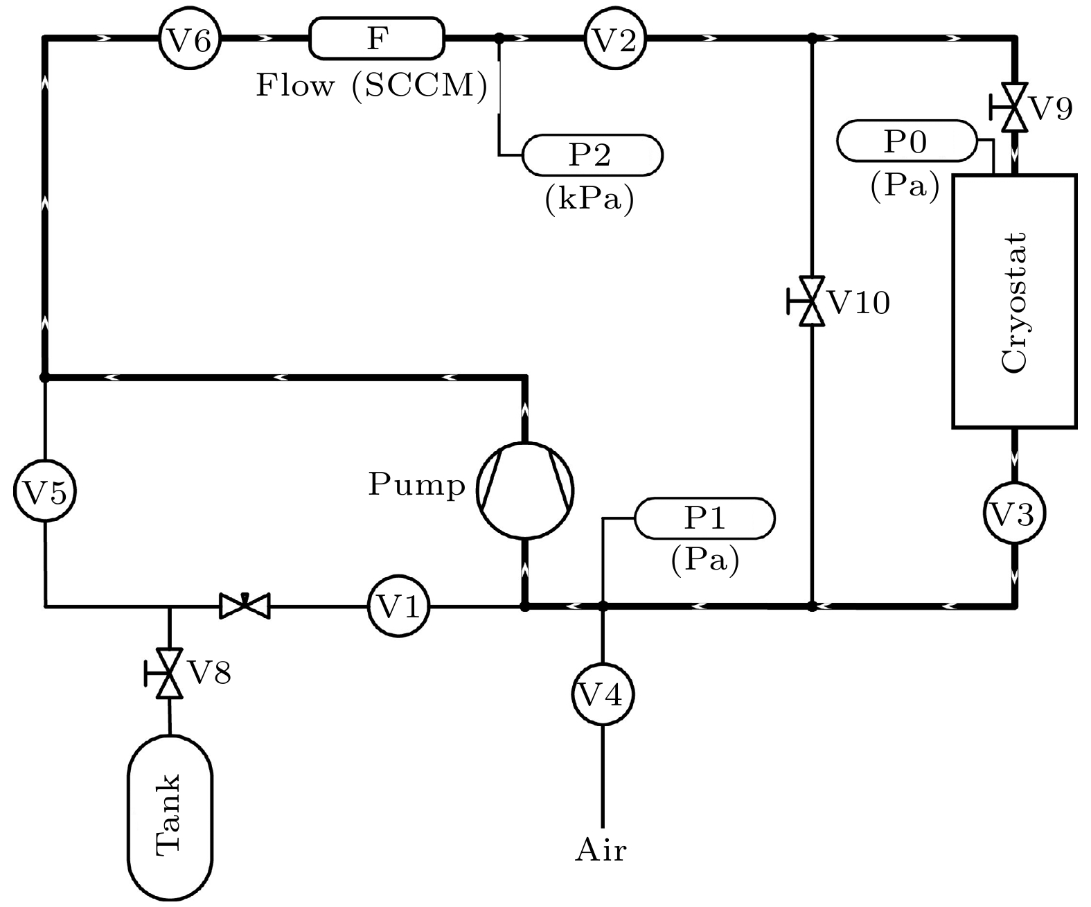
A 1-K cryogenic system can provide a stable and necessary low-temperature environment for some fields such as quantum computing, condensed matter physics research, and cryogenic scientific instruments. Specifically, in the field of basic research, 1 K is an ideal condition for studying quantum phenomena in low-temperature physics, such as quantum Hall effect and topological phase transition; in the field of technical applications, 1 K is a necessary condition for some quantum devices, such as superconducting quantum interferometers and single-photon detectors, to achieve high-sensitivity operation; in the field of ultra-low temperature technology, 1 K is the pre-cooling stage of refrigeration technologies, such as dilution refrigerators, and is also the basis for further achieving mK temperature ranges and lower temperatures. At present, in most of domestic 1-K systems, GM (Gifford-McMahon) cryocoolers are used for pre-cooling. These systems encounter some difficulties in achieving lower vibration control, lower electrical noise interference, lower pre-cooling temperature, and higher liquefaction efficiency. The 1-K systems based on pulse tube cryocoolers pre-cooling have inherent advantages in solving these problems. In this work, a 4-K GM-type pulse tube cryocooler is first developed by using a domestic helium compressor and a developed rotary valve, and the cold-end heat exchanger and the room-temperature phase shifters are redesigned in order to achieve a minimum cooling temperature of 2.14 K, and provide 1.5 W at 4.2 K and 45 W at 45 K cooling capacity simultaneously. With the home-made pulse tube cryocooler as the pre-cooling stage, a 1-K cryogenic system is further constructed. By designing key components such as JT flow resistance, combined thermal switch, and anti-superflow structure, a minimum cooling temperature of 1.1 K is achieved, with a cooling capacity of 100 mW at 1.6 K. This study lays an important foundation for subsequently developing dilution refrigerators with larger cooling capacity.
A 1-K cryogenic system can provide a stable and necessary low-temperature environment for some fields such as quantum computing, condensed matter physics research, and cryogenic scientific instruments. Specifically, in the field of basic research, 1 K is an ideal condition for studying quantum phenomena in low-temperature physics, such as quantum Hall effect and topological phase transition; in the field of technical applications, 1 K is a necessary condition for some quantum devices, such as superconducting quantum interferometers and single-photon detectors, to achieve high-sensitivity operation; in the field of ultra-low temperature technology, 1 K is the pre-cooling stage of refrigeration technologies, such as dilution refrigerators, and is also the basis for further achieving mK temperature ranges and lower temperatures. At present, in most of domestic 1-K systems, GM (Gifford-McMahon) cryocoolers are used for pre-cooling. These systems encounter some difficulties in achieving lower vibration control, lower electrical noise interference, lower pre-cooling temperature, and higher liquefaction efficiency. The 1-K systems based on pulse tube cryocoolers pre-cooling have inherent advantages in solving these problems. In this work, a 4-K GM-type pulse tube cryocooler is first developed by using a domestic helium compressor and a developed rotary valve, and the cold-end heat exchanger and the room-temperature phase shifters are redesigned in order to achieve a minimum cooling temperature of 2.14 K, and provide 1.5 W at 4.2 K and 45 W at 45 K cooling capacity simultaneously. With the home-made pulse tube cryocooler as the pre-cooling stage, a 1-K cryogenic system is further constructed. By designing key components such as JT flow resistance, combined thermal switch, and anti-superflow structure, a minimum cooling temperature of 1.1 K is achieved, with a cooling capacity of 100 mW at 1.6 K. This study lays an important foundation for subsequently developing dilution refrigerators with larger cooling capacity.
2025, 74(11): 110201.
doi: 10.7498/aps.74.20250225
Abstract:
Schrödinger-type equations represent a fundamentally important class of differential equations. Research on high-dimensional variable-coefficient Schrödinger-type equations as important theoretical and practical value, providing critical insights into the dynamics of complex wave phenomena. In this paper, we employ similarity transformations to derive a novel class of soliton solutions for the (n + 1)-dimensional (2m + 1)th-order variable-coefficient nonlinear Schrödinger equation. By extending similarity transformations from lower-dimensional to higher dimensionnal equations, we establish the intrinsic relationships among the equation’s coefficients. Furthermore, utilizing the solutions of the stationary Schrödinger equation and using the balancing-coefficient method, we construct both bright and dark soliton solutions for the (n + 1)-dimensional (2m + 1)th-order variable-coefficient nonlinear Schrödinger equation. Finally, for specific cases, we present graphical representations of the bright and dark soliton solutions and conduct a systematic analysis of their spatial structures and propagation characteristics. Our results indicate that bright solitons exhibit a single-peak structure, while dark solitons form trough-like profiles, further confirming the stability of soliton wave propagation.
Schrödinger-type equations represent a fundamentally important class of differential equations. Research on high-dimensional variable-coefficient Schrödinger-type equations as important theoretical and practical value, providing critical insights into the dynamics of complex wave phenomena. In this paper, we employ similarity transformations to derive a novel class of soliton solutions for the (n + 1)-dimensional (2m + 1)th-order variable-coefficient nonlinear Schrödinger equation. By extending similarity transformations from lower-dimensional to higher dimensionnal equations, we establish the intrinsic relationships among the equation’s coefficients. Furthermore, utilizing the solutions of the stationary Schrödinger equation and using the balancing-coefficient method, we construct both bright and dark soliton solutions for the (n + 1)-dimensional (2m + 1)th-order variable-coefficient nonlinear Schrödinger equation. Finally, for specific cases, we present graphical representations of the bright and dark soliton solutions and conduct a systematic analysis of their spatial structures and propagation characteristics. Our results indicate that bright solitons exhibit a single-peak structure, while dark solitons form trough-like profiles, further confirming the stability of soliton wave propagation.
2025, 74(11): 110301.
doi: 10.7498/aps.74.20241539
Abstract:
Quantum entanglement is a unique phenomenon of quantum mechanics and the core of many quantum technologies. Although entanglement is often observed in small-scale systems, detecting weak entanglement in large or noisy systems remains a major challenge, as experimental flaws can easily destroy fragile quantum correlations. A new weak entanglement detection criterion based on quantum steering has recently been proposed as a potential alternative to traditional entanglement witnesses. In this work, we provide a theoretical analysis by comparing the detection capabilities of the steering-based criterion with those of traditional entanglement witnesses under realistic measurement errors. The results show that the steering-based approach offers improved sensitivity for detecting weak entanglement. We further experimentally verify the feasibility of this steering-based criterion by using a linear optical setup. The experimental results align well with theoretical predictions, confirming the practicality and reliability of the method. These findings provide the steering-based criterion as a promising and accessible tool for detecting weak entanglement, and are expected to have potential applications in quantum communication, quantum computing, and other areas of quantum information science.
Quantum entanglement is a unique phenomenon of quantum mechanics and the core of many quantum technologies. Although entanglement is often observed in small-scale systems, detecting weak entanglement in large or noisy systems remains a major challenge, as experimental flaws can easily destroy fragile quantum correlations. A new weak entanglement detection criterion based on quantum steering has recently been proposed as a potential alternative to traditional entanglement witnesses. In this work, we provide a theoretical analysis by comparing the detection capabilities of the steering-based criterion with those of traditional entanglement witnesses under realistic measurement errors. The results show that the steering-based approach offers improved sensitivity for detecting weak entanglement. We further experimentally verify the feasibility of this steering-based criterion by using a linear optical setup. The experimental results align well with theoretical predictions, confirming the practicality and reliability of the method. These findings provide the steering-based criterion as a promising and accessible tool for detecting weak entanglement, and are expected to have potential applications in quantum communication, quantum computing, and other areas of quantum information science.
2025, 74(11): 110302.
doi: 10.7498/aps.74.20241604
Abstract:
The dynamical behaviors of Bose-Einstein condensates (BECs) depend largely on the nonlinear interactions between BEC atoms. The advancement of experimental techniques enables the rapid and effective modulation of the nonlinear interactions through Feshbach resonance technique. At present, both the nonlinear time-varying interaction and nonlinear space-varying interaction have been realized, respectively, thus making it possible to simultaneously modulate the nonlinear interactions in time and space through the combination of techniques. It will provide more options to conduct various studies by manipulating the BECs. Therefore, BECs with time- and space-varying interactions must possess unique advantages in studying BEC dynamics. This paper focuses on the chaotic spatiotemporal dynamics of BECs with nonlinear time- and space-varying interactions in moving optical lattices. When the intensities of the moving optical lattice potential and the modulation of the nonlinear interaction are small, the system satisfies the perturbation conditions and the Melnikov-function method is used in the theoretical analyses to obtain the Melnikov spatiotemporal chaotic criterion of the system. When the system does not meet the perturbation conditions, numerical simulations show that for a BEC with an attractive atomic interaction, increasing the modulation intensity of the nonlinear interaction can deepen the degree of spatiotemporal chaos in the system. In certain parameter regions, the modulation frequency of the nonlinear interaction can have a significant influence on the spatiotemporal dynamical behavior of the system. Further numerical research results show that larger chemical potentials can suppress the spatiotemporal chaos not only in the attractive BEC but also in the repulsive BEC. Based on the above research results, spatiotemporal chaos in BEC system can be avoided or triggered off in experiments as needed.
2025, 74(11): 110501.
doi: 10.7498/aps.74.20250177
Abstract:
Kapitza’s pendulum is an inverted pendulum that is dynamically stabilized by rapidly driving its pivot point. Many applications of Kapitza stabilization in quantum systems have been proposed, such as optical molasses, the stability of optical resonators, preparation of molecular ions, the breaking of translation symmetry, the periodically driven sine-Gordon model, polariton Rabi oscillation, and the stabilization of bright solitons in a Bose-Einstein condensate. In particular, Kapitza stabilization can be used to trap particles. The most notable example of such an application is the Paul trap. Recently, the Kapitza trap was created by superimposing time-tuned focused laser beams to produce a periodically driven harmonic potential for ultracold atomic gases. This work opens up new possibilities to study Floquet systems of ultracold atomic gases. So we consider the periodically driven harmonic potential, and investigate the properties of soliton in ultracold atomic gases by numerical simulations. It is found interestingly that when a soliton is located at the center of the harmonic potential, a resonance phenomenon of soliton amplitude oscillation occurs at a specific driven frequency. In addition, the oscillation amplitude increases with the increase of the trapping frequency of the harmonic potential, and the resonance frequency increases with theaugment of soliton initial amplitude. The change of driven frequency and initial phase has a significant effect on soliton motion when the soliton is located at the edge of the harmonic potential. When the initial phase is zero, there is a characteristic driven frequency. For the case where the driven frequency is equal to the characteristic frequency, soliton motion exhibits periodic oscillations. For the case where the driven frequency is slightly lower than the characteristic frequency, the resonance of soliton oscillation can be found. When the driven frequency is slightly higher than the characteristic frequency, the anti-resonance of soliton oscillation can be found. In addition, it is found that the characteristic driven frequency increases linearly with the increase of the trapping frequency of the harmonic potential. When the initial phase is not equal to zero, the irregular oscillation, quasi-periodic oscillation, and periodic oscillation can be observed with the increase of driven frequency. When the driven frequency is equal to a specific value, the resonance of soliton oscillation can also obtained. Furthermore, the fast driving has no effect on the motion trajectory of solitons. These results can help to precisely control ultracold atomic gases.
2025, 74(11): 112102.
doi: 10.7498/aps.74.20250095
Abstract:
The atomic nucleus is an extremely complex quantum many- body system composed of nucleons, and its shape is determined by the number of nucleons and their interactions. The study of atomic nuclear shapes is one of the most fascinating topics in nuclear physics, providing rich insights into the microscopic details of nuclear structure. Physicists have observed significant shape coexistence phenomena and stable triaxial deformation in isotopes of Zn, Ge, Se, and Kr. This paper aims to delve deeper into the influences of shape coexistence and triaxiality on the ground-state properties of atomic nuclei, as well as to verify new magic numbers. We employ the density-dependent meson-exchange model within the framework of the relativistic Hartree-Bogoliubov (RHB) theory to systematically study the ground-state properties of even-even Zn, Ge, Se, and Kr isotopes with neutron numbers N = 32–42. The calculated potential energy surfaces clearly demonstrate the presence of shape coexistence and triaxial characteristics in theseisotopes. By analyzing the ground-state energy, deformation parameters, two-neutron separation energy, neutron radius, proton radius, and charge radius of the atomic nucleus, we discuss the closure of nuclear shells. Our results reveal that at N = 32, there is anotable abrupt change in the two-neutron separation energy values of 62Zn and 64Ge. At N = 34, a significant decrease in the two-neutron separation energy values of 68Se and 70Kr is observed, accompanied by an abrupt change in their charge radii. Meanwhile, at N = 40, clear signs of shell closure are observed. The maximum specific binding energy may be correlated with the emergence of spherical nuclear structures. The shell closure not only enhances nucleon binding energy but also suppresses nuclear deformation through symmetry constraints. Our findings support N = 40 as a new magic number, and some results also suggest that N = 32 and N = 34 can be new magic numbers. Notably, triaxial deformation plays a crucial role here. Furthermore, we explore the potential correlation between triaxiality and shape coexistence in the ground-state properties of atomic nuclei and analyze the physical mechanisms behind these changes. The discrepancies between current theoretical predictions and experimental data reflect the limitations of modeling higher-order many-body correlations (e.g. three-nucleon forces) and highlight challenges in experimental measurements for extreme nuclear regions(including neutron-rich and near-proton-drip-line regions). Future studies will combine tensor force corrections, large-scale shell model calculations, and high-precision data from next-generation radioactive beam facilities (e.g. FRIB and HIAF) to clarify the interplay among nuclear force parameterization, proton-neutron balance, and emergent symmetry, thereby providing a more comprehensive theoretical framework for studying the nuclear structures under extreme conditions.
2025, 74(11): 112301.
doi: 10.7498/aps.74.20240907
Abstract:
An unified fission model (UFM) has been improved by considering the nuclear deformation effect and introducing an analytical expression of preformation factor. The improved version of the UFM by taking into consideration the nuclear deformation effect is named IMUFM1. Based on the IMUFM1, the further improved version is termed IMUFM2, which incorporates an analytical expression of the preformation factor. Within the UFM, the IMUFM1 and the IMUFM2, the α decay half-lives of heavy and superheavy nuclei with\begin{document}$ Z \geqslant 92 $\end{document} are systematically calculated. The calculated standard deviation between the calculation results and the experimental data shows that the accuracy of the IMUFM1 is improved by 2.45% compared with that of the UFM. The accuracy of the IMUFM2 will be further improved by 32.09% compared with that of the IMUFM1, which implies that the nuclear deformation effect and the preformation factor are both important in prediction. Then, the α decay half-lives of Z = 118–120 isotopes are predicted from the IMUFM1 and the IMUFM2 by inputting the α decay energy values that are extracted from the sinite-range droplet model (FRDM), the Weizsäcker-Skyrme-4 (WS4) model and the Koura-Tachibaba-Uno-Yamads (KTUY) formula, respectively. The observed evolution of the α decay half-lives indicates that the evolution trends obtained from the above-mentioned three mass models are consistent with each other and the shell effects occur at N = 178 and 184, but their orders of magnitude, obtained from different mass models, are different from each other. Meanwhile, the comparison of half-lives between α decay and spontaneous fission shows that the dominant decay modes of the superheavy nuclei with N < 186 are α decay. Finally, the decay modes of 296Og, 297119 and 298120 α decay chains are predicted within the IMUFM1 and the IMUFM2 by using these three mass models, showing that the predictions from the WS4 mass model and KTUY mass model are more consistent with the experimental measurements. Form the FRDM2012 mass model, the predictions of 288Fl, 285Nh and 286Fl within the IMUFM1 mass model are not consistent with the experimental measurements, however, the prediction of 288Fl from the IMUFM2 is good agreement with the experimental measurement, which once again verifies the rationality and reliability of the IMUFM2. This study may be helpful for identifying new nuclide in future experiments.
An unified fission model (UFM) has been improved by considering the nuclear deformation effect and introducing an analytical expression of preformation factor. The improved version of the UFM by taking into consideration the nuclear deformation effect is named IMUFM1. Based on the IMUFM1, the further improved version is termed IMUFM2, which incorporates an analytical expression of the preformation factor. Within the UFM, the IMUFM1 and the IMUFM2, the α decay half-lives of heavy and superheavy nuclei with
2025, 74(11): 113201.
doi: 10.7498/aps.74.20250262
Abstract:
The enriched neodymium-150 (Nd-150) isotope has important applications in fields such as nuclear industry and basic scientific research. The Nd isotope separation can be conducted by atomic vapor laser isotope separation (AVLIS), where the target isotope is selectively ionized through the λ1 = 596 nm → λ2 = 579 nm → λ3 = 640 nm photoionization scheme, and non-target isotopes remain neutral due to the frequency-detuned excitation. Subsequently, an external electric field is applied to extract the ions from the laser-produced plasma. The Nd-150 abundance in the product cannot meet the requirement of the application, attributed to the nearly negligible isotope shift of the λ2 = 579 nm transition, thus resulting in the excess ionization of non-target isotopes. A new high-selectivity photoionization scheme is desirable to address this limitation, and its expected parameter values can be determined through numerical calculations prior to the time-consuming atomic spectroscopy experiments. In this study, a three-step selective photoionization model is established based on the density matrix theory, with the consideration of the hyperfine structures and magnetic sublevels. This model allows the flexible adjustments of atomic parameters (e.g. branching ratio, isotope shift, hyperfine constant) and laser parameters (e.g. frequency, power density, bandwidth, polarization), while the ionization probabilities of magnetic sublevel transitions can be quantitatively predicted. For the existing schemes, the branching ratios are determined by comparing literature data with numerical results, and the Nd-150 abundance values under different laser bandwidths are evaluated. Further, an alternative scheme is numerically explored on the assumption that the first transition remains unchanged and the second transition has a more significant isotope shift and a smaller branching ratio, and the Nd-150 abundance values under different combinations of isotope shifts, hyperfine structures, and laser bandwidths are evaluated, with all the natural Nd isotopes included. From the numerical results, a scheme with the angular momentum of the second excited state J3 = 6, the isotope shift between Nd-148 and Nd-150 IS23,148 ≥ 300 MHz, and a lower reduced dipole matrix element of the second transition reaching approximately 30% of that of λ2 = 579 nm, can produce the high-abundance Nd-150 (>95%, equivalent to that of the electromagnetic separation method) under the bandwidths: b12 ≤ 0.5 GHz and b23 ≤ 1.0 GHz, and parallel linear-polarized lasers. Using the lasers with narrower bandwidth can achieve higher abundance, which is superior to the electromagnetic separation method. The expected high-abundance Nd-150 can be attributed to the combined effects of multi-factors: the larger isotope shift between Nd-150 and Nd-148 than that between other adjacent isotope pairs, the insignificant hyperfine splitting of odd isotopes, and the match between narrow-bandwidth lasers and Nd I spectroscopic parameters. These parameter values can serve as benchmarks helpful for experimental parameter selection in the forthcoming high-precision spectroscopy experiments.
The enriched neodymium-150 (Nd-150) isotope has important applications in fields such as nuclear industry and basic scientific research. The Nd isotope separation can be conducted by atomic vapor laser isotope separation (AVLIS), where the target isotope is selectively ionized through the λ1 = 596 nm → λ2 = 579 nm → λ3 = 640 nm photoionization scheme, and non-target isotopes remain neutral due to the frequency-detuned excitation. Subsequently, an external electric field is applied to extract the ions from the laser-produced plasma. The Nd-150 abundance in the product cannot meet the requirement of the application, attributed to the nearly negligible isotope shift of the λ2 = 579 nm transition, thus resulting in the excess ionization of non-target isotopes. A new high-selectivity photoionization scheme is desirable to address this limitation, and its expected parameter values can be determined through numerical calculations prior to the time-consuming atomic spectroscopy experiments. In this study, a three-step selective photoionization model is established based on the density matrix theory, with the consideration of the hyperfine structures and magnetic sublevels. This model allows the flexible adjustments of atomic parameters (e.g. branching ratio, isotope shift, hyperfine constant) and laser parameters (e.g. frequency, power density, bandwidth, polarization), while the ionization probabilities of magnetic sublevel transitions can be quantitatively predicted. For the existing schemes, the branching ratios are determined by comparing literature data with numerical results, and the Nd-150 abundance values under different laser bandwidths are evaluated. Further, an alternative scheme is numerically explored on the assumption that the first transition remains unchanged and the second transition has a more significant isotope shift and a smaller branching ratio, and the Nd-150 abundance values under different combinations of isotope shifts, hyperfine structures, and laser bandwidths are evaluated, with all the natural Nd isotopes included. From the numerical results, a scheme with the angular momentum of the second excited state J3 = 6, the isotope shift between Nd-148 and Nd-150 IS23,148 ≥ 300 MHz, and a lower reduced dipole matrix element of the second transition reaching approximately 30% of that of λ2 = 579 nm, can produce the high-abundance Nd-150 (>95%, equivalent to that of the electromagnetic separation method) under the bandwidths: b12 ≤ 0.5 GHz and b23 ≤ 1.0 GHz, and parallel linear-polarized lasers. Using the lasers with narrower bandwidth can achieve higher abundance, which is superior to the electromagnetic separation method. The expected high-abundance Nd-150 can be attributed to the combined effects of multi-factors: the larger isotope shift between Nd-150 and Nd-148 than that between other adjacent isotope pairs, the insignificant hyperfine splitting of odd isotopes, and the match between narrow-bandwidth lasers and Nd I spectroscopic parameters. These parameter values can serve as benchmarks helpful for experimental parameter selection in the forthcoming high-precision spectroscopy experiments.
2025, 74(11): 113202.
doi: 10.7498/aps.74.20250168
Abstract:
Complex multi-body interactions between ions and surrounding charged particles exist in hot and dense plasmas, and they can screen the Coulomb potential between the nucleus and electrons and significantly change the atomic structures and dynamic properties, thereby further affecting macroscopic plasma properties such as radiation opacity and the equation of state. Using the atomic-state-dependent (ASD) screening model, we investigate the photoionization dynamics of Fe25+ ions in hot and dense plasma. The photoionization cross section for all transition channels and total cross sections of n ≤ 2 states for Fe25+ ions are studied in detail, and the low-energy characteristics induced by plasma screening are also investigated. Compared with the classical Debye Hückel model, the ASD model introduces degeneracy effects through inelastic collision processes, resulting in higher plasma density requirements for bound electrons to merge into the continuum. Near the threshold, the photoionization cross section obeys the Wigner threshold law after considering the screening effect. As the energy increases, the cross sections show low-energy characteristics such as shape resonance, Cooper minimum, low-energy enhancement, and Combet-Farnoux minimum, which can significantly increase or reduce the cross section of the corresponding energy region. For example, the low-energy enhancement in the 2p→εs1/2 channel increases the cross section by several orders of magnitude, drastically changing the properties of the photoelectron spectrum. It is significant to study the low-energy characteristics for understanding the physical properties of the photoionization cross section. Fe is an important element in astrophysics. The cross section results in the medium and high energy regions calculated by the ASD model in this work can provide theoretical and data support for investigating hot and dense plasmas in astrophysics and laboratory.
Complex multi-body interactions between ions and surrounding charged particles exist in hot and dense plasmas, and they can screen the Coulomb potential between the nucleus and electrons and significantly change the atomic structures and dynamic properties, thereby further affecting macroscopic plasma properties such as radiation opacity and the equation of state. Using the atomic-state-dependent (ASD) screening model, we investigate the photoionization dynamics of Fe25+ ions in hot and dense plasma. The photoionization cross section for all transition channels and total cross sections of n ≤ 2 states for Fe25+ ions are studied in detail, and the low-energy characteristics induced by plasma screening are also investigated. Compared with the classical Debye Hückel model, the ASD model introduces degeneracy effects through inelastic collision processes, resulting in higher plasma density requirements for bound electrons to merge into the continuum. Near the threshold, the photoionization cross section obeys the Wigner threshold law after considering the screening effect. As the energy increases, the cross sections show low-energy characteristics such as shape resonance, Cooper minimum, low-energy enhancement, and Combet-Farnoux minimum, which can significantly increase or reduce the cross section of the corresponding energy region. For example, the low-energy enhancement in the 2p→εs1/2 channel increases the cross section by several orders of magnitude, drastically changing the properties of the photoelectron spectrum. It is significant to study the low-energy characteristics for understanding the physical properties of the photoionization cross section. Fe is an important element in astrophysics. The cross section results in the medium and high energy regions calculated by the ASD model in this work can provide theoretical and data support for investigating hot and dense plasmas in astrophysics and laboratory.
2025, 74(11): 114201.
doi: 10.7498/aps.74.20250174
Abstract:
Infrared polarization radiation of aircraft targets after being transmitted through high-temperature exhaust plumes is an important basis for infrared detection equipment to detect, identify, track and warn aircraft. At present, most of the studies on the transmission characteristics of gas polarized radiation focus on the visible wavelength band, and the research object is mainly the atmospheric environment. The study of infrared polarization radiation transmission characteristics in the special gas environment of high-temperature exhaust plume is still insufficient. In this paper, the Monte Carlo method is used to model the transmission of infrared polarized light in a high-temperature exhaust plume, and the absorption coefficients of H2O in 2.5−3.3 μm band and CO2 in 4−5 μm band are calculated using the HITRAN database. The multiple scattering process of photons in the exhaust plume space is simulated, and the changes of the cosine of motion direction and cosine of vibration direction of the photons in the collision events are analyzed at the microscopic level. Additionally, the photon characteristics are statistically analyzed based on the principles of calculating polarization and transmittance. Based on the simulation results, the changes of radiative transmittance and polarization at different transmission distances are compared with each other, and the effects of exhaust plume temperature, pressure, gas component concentration, and detection wavelength on the transmission characteristics of infrared polarized light are analyzed as well. The experimental results demonstrate that the error between the calculated radiative transmittance in this study and the HITRAN database is within 2%. The effects of temperature and pressure on the transmission characteristics of polarized light become increasingly significant as the distance increases. The pressure is negatively correlated with transmittance and polarization, while the effect of temperature is related to the gas type and the temperature range. The radiant transmittance and polarization degree decay exponentially with the absorption coefficient and transmission distance of the gas in the exhaust plume space. Different detection wavelengths also lead to differences in the transmission characteristics of polarized light.
Infrared polarization radiation of aircraft targets after being transmitted through high-temperature exhaust plumes is an important basis for infrared detection equipment to detect, identify, track and warn aircraft. At present, most of the studies on the transmission characteristics of gas polarized radiation focus on the visible wavelength band, and the research object is mainly the atmospheric environment. The study of infrared polarization radiation transmission characteristics in the special gas environment of high-temperature exhaust plume is still insufficient. In this paper, the Monte Carlo method is used to model the transmission of infrared polarized light in a high-temperature exhaust plume, and the absorption coefficients of H2O in 2.5−3.3 μm band and CO2 in 4−5 μm band are calculated using the HITRAN database. The multiple scattering process of photons in the exhaust plume space is simulated, and the changes of the cosine of motion direction and cosine of vibration direction of the photons in the collision events are analyzed at the microscopic level. Additionally, the photon characteristics are statistically analyzed based on the principles of calculating polarization and transmittance. Based on the simulation results, the changes of radiative transmittance and polarization at different transmission distances are compared with each other, and the effects of exhaust plume temperature, pressure, gas component concentration, and detection wavelength on the transmission characteristics of infrared polarized light are analyzed as well. The experimental results demonstrate that the error between the calculated radiative transmittance in this study and the HITRAN database is within 2%. The effects of temperature and pressure on the transmission characteristics of polarized light become increasingly significant as the distance increases. The pressure is negatively correlated with transmittance and polarization, while the effect of temperature is related to the gas type and the temperature range. The radiant transmittance and polarization degree decay exponentially with the absorption coefficient and transmission distance of the gas in the exhaust plume space. Different detection wavelengths also lead to differences in the transmission characteristics of polarized light.
2025, 74(11): 114202.
doi: 10.7498/aps.74.20250154
Abstract:
When the wall temperature of the thermal protection or insulation materials on the surface of an aircraft exceeds their tolerance limits under the heating of supersonic aerodynamic heat energy, degradation damage phenomena such as high-temperature thermochemical ablation and mechanical erosion will occur in the surface area. The ablation diffusion products (ablation particles) generated are ejected into the surrounding plasma flow field and suspended around the aircraft, forming a hypersonic plasma flow field with ablation diffusion substances. The presence of ablation diffusion substances can significantly affect the physical and electromagnetic characteristics of the original plasma flow field. To solve this problem, this study establishes a coupled electromagnetic model of an ablative plasma flow field surrounding a blunt-nosed cone aircraft and analyzes the antenna radiation characteristics in the wake region of the ablative flow field. The research method consists of several key steps. Firstly, the plasma flow field around the blunt-nosed cone is simulated using ANSYS FLUENT, a computational fluid dynamics (CFD) software. This step provides the fundamental flow field parameters such as electron density, temperature, and pressure distributions. Secondly, ablation particles, generated from thermal protection material degradation, are uniformly dispersed into the plasma flow. Then, the ablative plasma flow field is obtained. Thirdly, an X-band horn antenna is designed in ANSYS HFSS and loaded into the center of the wake region of the ablative plasma flow field. Based on the above models, the ray-tracing method is employed to quantitatively evaluate the attenuation of antenna radiation as it propagates through the wake region. The numerical results demonstrate that the plasma flow field enveloping the aircraft induces significant attenuation of antenna radiation energy. It is more noteworthy that the presence of ablation particles within the flow field substantially amplifies this energy dissipation effect. Both the ablation particle density and size distribution are identified as dominant factors controlling radiative energy loss, exhibiting proportional relationships with the attenuation of the incident field. This study systematically proves the influences of ablation particle density and size on initial field energy attenuation. This research can provide a reference for solving the problem of electromagnetic wave propagation that causes the information transmission bottleneck of near-space hypersonic aircraft. It can also serves as a theoretical basis for further in-depth research on technologies such as target detection, identification, thermal protection/insulation materials, and system design of hypersonic aircraft.
When the wall temperature of the thermal protection or insulation materials on the surface of an aircraft exceeds their tolerance limits under the heating of supersonic aerodynamic heat energy, degradation damage phenomena such as high-temperature thermochemical ablation and mechanical erosion will occur in the surface area. The ablation diffusion products (ablation particles) generated are ejected into the surrounding plasma flow field and suspended around the aircraft, forming a hypersonic plasma flow field with ablation diffusion substances. The presence of ablation diffusion substances can significantly affect the physical and electromagnetic characteristics of the original plasma flow field. To solve this problem, this study establishes a coupled electromagnetic model of an ablative plasma flow field surrounding a blunt-nosed cone aircraft and analyzes the antenna radiation characteristics in the wake region of the ablative flow field. The research method consists of several key steps. Firstly, the plasma flow field around the blunt-nosed cone is simulated using ANSYS FLUENT, a computational fluid dynamics (CFD) software. This step provides the fundamental flow field parameters such as electron density, temperature, and pressure distributions. Secondly, ablation particles, generated from thermal protection material degradation, are uniformly dispersed into the plasma flow. Then, the ablative plasma flow field is obtained. Thirdly, an X-band horn antenna is designed in ANSYS HFSS and loaded into the center of the wake region of the ablative plasma flow field. Based on the above models, the ray-tracing method is employed to quantitatively evaluate the attenuation of antenna radiation as it propagates through the wake region. The numerical results demonstrate that the plasma flow field enveloping the aircraft induces significant attenuation of antenna radiation energy. It is more noteworthy that the presence of ablation particles within the flow field substantially amplifies this energy dissipation effect. Both the ablation particle density and size distribution are identified as dominant factors controlling radiative energy loss, exhibiting proportional relationships with the attenuation of the incident field. This study systematically proves the influences of ablation particle density and size on initial field energy attenuation. This research can provide a reference for solving the problem of electromagnetic wave propagation that causes the information transmission bottleneck of near-space hypersonic aircraft. It can also serves as a theoretical basis for further in-depth research on technologies such as target detection, identification, thermal protection/insulation materials, and system design of hypersonic aircraft.
2025, 74(11): 114203.
doi: 10.7498/aps.74.20250043
Abstract:
The second-order auto-correlation technology based on Hanbury Brown-Twiss (HBT) can obtain the Fourier spectrum information of a target even under the conditions of incoherent source illumination and near-field detection, which has better advantages in the fields of moving-target imaging, imaging in scattering medium, and X-ray imaging. However, a great number of measurements are required and the imaging resolution is also restricted by the pixel scale of the detector for high-quality Fourier spectrum image for HBT. At present, many relevant data processing methods and reconstruction algorithms can reduce the number of measurements required for the acquisition of high-quality spectral information, but the time of image reconstruction required by these methods is usually long and cannot improve the imaging resolution of the system. In recent years, Fourier ptychography based on real-space image detection has proven that higher-resolution imaging can be obtained through spectral ptychography and frequency extension. In this paper, by combining the idea of Fourier ptychography with HBT, a processing method based on multi-point parallel correlation reconstruction and spectral ptychography is proposed, which attempts to obtain high-quality spectral information of the target and achieve super-resolution imaging with few measurements. The proof-of-principle schematic of super-resolution imaging method based on autocorrelation and spectral ptychography is obtained. The corresponding super-resolution reconstruction framework is displayed, which mainly consists of three steps: multi-point parallel correlation reconstruction, spectral ptychography, and real-space image reconstruction based on phase-retrieval algorithm. Firstly, based on the physical mechanism, Fourier spectrum images of the target at different detection points are obtained through multi-point parallel correlation reconstruction. Secondly, according to the idea of spectrum ptychography, the frequency shifted spectrum obtained by multi-point parallel correlation reconstruction is aligned to form an extended spectrum. Finally, the target’s real-space image is reconstructed by phase-retrieval algorithm. The super-resolution imaging method based on auto-correlation and spectral ptychography is experimentally verified by using the setup. At the number of measurements N = 500, the experimental results are obtained on different pixel scales of the detector. The results indicate that the imaging resolution increases with the pixel scale of the detector increasing. However, when the number of measurements is small, both the Fourier spectrum and the real-space image obtained by single point detection are poor. When the multi-point parallel correlation reconstruction and spectral ptychography are adopted, the signal-to-noise ratio of the reconstructed Fourier spectrum can be significantly improved, and its spectral bandwidth can be expanded to twice that of the original spectrum at the same parameters. In addition, the experiments also show that for a 50×50 spectral image, even with 200 measurements (i.e. a sampling rate of 8%), high-quality super-resolution imaging can still be obtained. All in all, the proposed method provides important insights into super-resolution microscopy imaging and high-resolution imaging of moving target.
2025, 74(11): 114204.
doi: 10.7498/aps.74.20250147
Abstract:
A quantum shortcut to adiabaticity scheme based on physics-informed neural networks is proposed in this work. Compared with traditional shortcut to adiabaticity technology, our method innovatively integrates machine learning methods by employing parameterized physics-informed neural networks to solve parameterized differential equations. The neural networks serve as an approximating function for quantum adiabatic evolution processes, while incorporating parameter-dependent differential equations and various physical constraints as components of the loss function. Through networks training, we effectively simulate quantum system dynamics and derive the driving control field for population inversion. Numerical simulations show that the quantum system can achieve rapid population inversion within significantly reduced time while maintaining high fidelity and exceptional robustness against parameter fluctuations. The neural networks exhibit remarkable computational capabilities, particularly suitable for generating control functions in complex quantum systems. Compared with conventional counter-diabatic driving and transitionless quantum driving methods, this PINN-based framework not only achieves better control performance but also provides the improved practicality for experimental implementations. The success of this method demonstrates its promising applications in quantum control tasks, including but not limited to quantum state preparation, quantum gate optimization, and adiabatic quantum computing acceleration.
A quantum shortcut to adiabaticity scheme based on physics-informed neural networks is proposed in this work. Compared with traditional shortcut to adiabaticity technology, our method innovatively integrates machine learning methods by employing parameterized physics-informed neural networks to solve parameterized differential equations. The neural networks serve as an approximating function for quantum adiabatic evolution processes, while incorporating parameter-dependent differential equations and various physical constraints as components of the loss function. Through networks training, we effectively simulate quantum system dynamics and derive the driving control field for population inversion. Numerical simulations show that the quantum system can achieve rapid population inversion within significantly reduced time while maintaining high fidelity and exceptional robustness against parameter fluctuations. The neural networks exhibit remarkable computational capabilities, particularly suitable for generating control functions in complex quantum systems. Compared with conventional counter-diabatic driving and transitionless quantum driving methods, this PINN-based framework not only achieves better control performance but also provides the improved practicality for experimental implementations. The success of this method demonstrates its promising applications in quantum control tasks, including but not limited to quantum state preparation, quantum gate optimization, and adiabatic quantum computing acceleration.
2025, 74(11): 114205.
doi: 10.7498/aps.74.20241674
Abstract:
This research focuses on advanced noise suppression technologies for high-precision measurement systems, particularly addressing the limitations of classical noise reducing approaches. The noise level of laser sources is a crucial factor that directly affects the measurement sensitivity in applications such as gravitational wave detection and biomedical imaging. Classical feedback control technologies are effective but often encounter a bottleneck resulting from the classical noise suppression limits. To cope with these challenges, a novel method integrating quantum squeezed light with classical feedback control systems to reduce intensity noise is proposed in this work. By employing an amplitude-squeezed light field, a quantum-enhanced feedback control model is developed, thereby theoretically examining the influence of both the feedback loop gain and the degree of squeezing on the noise suppression performance. The results show that the injection of squeezed light significantly reduces the intensity noise, approaching the shot noise limit (SNL), thereby improving the system sensitivity beyond the classical noise reduction boundaries. Specifically, –10 dB squeezed state injection into the feedback system yields an additional noise suppression of approximately 8.97 dB, exceeding what is achievable using classical feedback alone. This demonstrates that the potential of the proposed method can enhance measurement precision close to the quantum noise limits without increasing the laser power. The analysis highlights the asymmetric noise suppression effects between the inner feedback loop and outer feedback loop. Although the outer loop benefits significantly from the squeezed light injection and achieves noise levels that are unattainable by classical feedback methods, the inner loop shows relatively minor improvements. This asymmetry is attributed to the inherent characteristics of quantum squeezing and the limitations of the feedback loop design. Further investigation into the individual noise components reveals that the primary contributors to the intensity noise include input noise, photodetector noise, and beam splitter-induced vacuum fluctuations. The injection of squeezed light effectively mitigates these vacuum fluctuations, which are typically a major noise source in high-precision laser systems. Theoretical research results show that the use of squeezed light in feedback control systems can effectively enhance noise suppression, equivalent to a nine fold increase in detected optical power, without the physical drawbacks of increasing laser power such as thermal noise. In conclusion, this study provides a theoretical validation of combining quantum squeezed states with classical feedback control to exceed classical noise suppression limits. The integration of a –10 dB squeezed state demonstrates a significant noise reduction, showing that this hybrid approach could revolutionize noise management in precision measurement applications. The results pave the way for further exploring quantum-enhanced control technologies in fields such as gravitational wave detection, quantum communication, and advanced optical sensing, providing a pathway for improving sensitivity and noise suppression without increasing additional power requirements.
This research focuses on advanced noise suppression technologies for high-precision measurement systems, particularly addressing the limitations of classical noise reducing approaches. The noise level of laser sources is a crucial factor that directly affects the measurement sensitivity in applications such as gravitational wave detection and biomedical imaging. Classical feedback control technologies are effective but often encounter a bottleneck resulting from the classical noise suppression limits. To cope with these challenges, a novel method integrating quantum squeezed light with classical feedback control systems to reduce intensity noise is proposed in this work. By employing an amplitude-squeezed light field, a quantum-enhanced feedback control model is developed, thereby theoretically examining the influence of both the feedback loop gain and the degree of squeezing on the noise suppression performance. The results show that the injection of squeezed light significantly reduces the intensity noise, approaching the shot noise limit (SNL), thereby improving the system sensitivity beyond the classical noise reduction boundaries. Specifically, –10 dB squeezed state injection into the feedback system yields an additional noise suppression of approximately 8.97 dB, exceeding what is achievable using classical feedback alone. This demonstrates that the potential of the proposed method can enhance measurement precision close to the quantum noise limits without increasing the laser power. The analysis highlights the asymmetric noise suppression effects between the inner feedback loop and outer feedback loop. Although the outer loop benefits significantly from the squeezed light injection and achieves noise levels that are unattainable by classical feedback methods, the inner loop shows relatively minor improvements. This asymmetry is attributed to the inherent characteristics of quantum squeezing and the limitations of the feedback loop design. Further investigation into the individual noise components reveals that the primary contributors to the intensity noise include input noise, photodetector noise, and beam splitter-induced vacuum fluctuations. The injection of squeezed light effectively mitigates these vacuum fluctuations, which are typically a major noise source in high-precision laser systems. Theoretical research results show that the use of squeezed light in feedback control systems can effectively enhance noise suppression, equivalent to a nine fold increase in detected optical power, without the physical drawbacks of increasing laser power such as thermal noise. In conclusion, this study provides a theoretical validation of combining quantum squeezed states with classical feedback control to exceed classical noise suppression limits. The integration of a –10 dB squeezed state demonstrates a significant noise reduction, showing that this hybrid approach could revolutionize noise management in precision measurement applications. The results pave the way for further exploring quantum-enhanced control technologies in fields such as gravitational wave detection, quantum communication, and advanced optical sensing, providing a pathway for improving sensitivity and noise suppression without increasing additional power requirements.
2025, 74(11): 114206.
doi: 10.7498/aps.74.20250348
Abstract:
In the mid-infrared spectral range of 2–5 μm, ultrafast laser sources are indispensable for a number of scientific and industrial applications. In these applications, some unique properties of mid-infrared light are utilized, such as molecular overtone and combined tone absorption for sensitive gas detection, minimal atmospheric attenuation for efficient free-space optical communication, phase-matching extension in nonlinear optical processes for high-order harmonic generation, and non-invasive molecular vibration spectroscopy for biomedical imaging. However, the generation of high-power, tunable mid-infrared lasers is hindered by the complex spectral phase of supercontinuum sources, the demanding resonator design of optical parametric oscillators, the limited tuning range of rare-earth-doped fiber lasers, and the power limitations of intrapulse difference-frequency generation. To cope with these challenges, this study employs a difference-frequency generation (DFG) scheme in which a high-power dual-wavelength ultrafast fiber laser system is utilized. The system comprises an Er-doped fiber laser operating at 1556 nm and a Yb-doped fiber amplifier extending the spectrum to 1030 nm. The 1.03-μm pump pulses are amplified to 31.5 W with a pulse energy value of 0.95 μJ and a duration of 260 fs, while the 1.55-μm signal pulses are amplified to 4.6 W, featuring 136 nJ in energy and 290 fs in width. A key innovation is the spectral broadening of the signal pulses via the SESS (SPM-Enabled Spectral Selection) technique in dispersion-shifted fiber, achieving tunable sidebands from 1.3 to 1.9 μm with average power values of 200–400 mW. The DFG process occurs in a 3-mm fan-out PPLN crystal, where the pump and signal pulses are temporally synchronized and focused into 200-μm spots. By solving the three-wave coupling equations with the split-step Fourier method, we reveal that the idle light energy exhibits linear, exponential, and saturation regimes with respect to pump energy and signal energy. Experimental optimization of the pulse delay between the pump beam and signal beam enhances the idle light energy, achieving a central wavelength of 3.06 μm with 3.06-W average power and 92-nJ pulse energy at a 33.3-MHz repetition rate. Moreover, by tuning the signal wavelength from 1.3 to 1.9 μm and adjusting the PPLN poling period, we generate tunable mid-infrared radiation across 2–5 μm, maintaining average power above 1 W throughout the range. At a specific wavelength like 3.28 μm, the output power reaches 1.87 W, with the power gradually decreasing towards longer wavelengths due to crystal phase-matching limitations. The physical significance of these results is profound. The high-power, broadly tunable mid-infrared source can realize high-sensitivity gas detection with an accuracy of a few parts per billion. Real-time combustion diagnostics can be carried out through simultaneous multi-species monitoring, and desktop harmonics can be generated for attosecond pulse synthesis. Furthermore, this study elucidates the nonlinear energy transfer mechanisms in PPLN crystals, providing some rules for designing future high-power mid-infrared systems. The experimental demonstration not only advances the power frontier of this spectral region but also establishes a robust platform for exploring various cutting-edge scientific and industrial applications.
2025, 74(11): 114207.
doi: 10.7498/aps.74.20250306
Abstract:
The channel capacity of the hypergeometric-Gaussian type-II (HyGG-II) beam propagating in ocean turbulence is investigated in this work. A method of utilizing a focusing mirror to enhance the channel capacity is further proposed. Comparison among focused HyGG-II beam, unfocused HyGG-II beam and Laguerre Gaussian beam is also carried out. The results indicate that the employment of focusing mirrors is effective in enhancing the channel capacity, however, the corresponding transmission distance range is restricted to about 100 m. Optimal enhancement is observed near the convergence point of the HyGG-II beam focused by mirrors. By increasing the wavelength and adjusting the focal length of the focusing mirror or the waist radius of the HyGG-II beam, the channel capacity can be further improved. Moreover, when the HyGG-II beam is transmitted in oceanic turbulence characterized by a smaller dissipation rate of kinetic energy per unit mass and a larger dissipation rate of mean-squared temperature, the enhancement effect of the focusing mirrors on the channel capacity is more pronounced. Compared with Laguerre Gaussian beams, HyGG-II beams exhibit superior channel capacity at the same transmission distance, no matter whether focusing mirrors are used. The findings can serve as a reference for designing underwater wireless optical communication systems based on the HyGG-II-beam.
The channel capacity of the hypergeometric-Gaussian type-II (HyGG-II) beam propagating in ocean turbulence is investigated in this work. A method of utilizing a focusing mirror to enhance the channel capacity is further proposed. Comparison among focused HyGG-II beam, unfocused HyGG-II beam and Laguerre Gaussian beam is also carried out. The results indicate that the employment of focusing mirrors is effective in enhancing the channel capacity, however, the corresponding transmission distance range is restricted to about 100 m. Optimal enhancement is observed near the convergence point of the HyGG-II beam focused by mirrors. By increasing the wavelength and adjusting the focal length of the focusing mirror or the waist radius of the HyGG-II beam, the channel capacity can be further improved. Moreover, when the HyGG-II beam is transmitted in oceanic turbulence characterized by a smaller dissipation rate of kinetic energy per unit mass and a larger dissipation rate of mean-squared temperature, the enhancement effect of the focusing mirrors on the channel capacity is more pronounced. Compared with Laguerre Gaussian beams, HyGG-II beams exhibit superior channel capacity at the same transmission distance, no matter whether focusing mirrors are used. The findings can serve as a reference for designing underwater wireless optical communication systems based on the HyGG-II-beam.
2025, 74(11): 114301.
doi: 10.7498/aps.74.20250161
Abstract:
The dimensions of flextensional transducers are much smaller than the wavelength, thereby hindering the generation of directional beams by compact underwater acoustic transducers. To address the complexities of amplitude and phase modulation in circuit-driven traditional directional flextensional transducers, a directional flextensional transducer structure is proposed in this work. By implementing an asymmetric composite shell configuration combining concave and convex curved beams, the low-frequency directional radiation is achieved while simplifying peripheral driving circuits, thereby improving the operational convenience and cost-effectiveness. Through an analysis of the vibration characteristics and radiation mechanisms, this study elucidates the principle of directional generation. The concave and convex beams of the flextensional transducer exhibit an intrinsic operational characteristic of opposite-phase normal displacement in their vibration modes. By adjusting structural parameters, the amplitude output from the two beams under a single actuator drive can satisfy a specific differential relationship, effectively resulting in the modal superposition of a monopole and a dipole, thereby achieving directional radiation. By using a Lorentzian resonance fitting function and a linear fitting function, the relationship between the frequency-dependent amplitude ratio and phase difference of sound pressure for the concave and convex beams is established, forming an unequal amplitude, unequal phase dual-spherical source radiation model for the transducer, thereby providing a theoretical framework for controlling the directivity of the transducer. Through numerical simulations, the effects of the transducer sidewall parameters, as well as the thicknesses and curvature radii of the concave and convex beams, on the transducer’s resonance frequency, transmitting voltage response, front-to-back sound pressure ratio, and directivity are analyzed. Sensitivity ranking of the structural parameters is also presented. Finally, the optimization of transducer’s performance is discussed and compared with that in other existing research, showing the advantages of this design. Specifically, the transducer achieves a maximum transmitting voltage response of 145.9 dB within the operating frequency band from 1240 Hz to 1660 Hz. Under single-circuit drive, a cardioid-shaped directional beam with a maximum front-to-back sound pressure ratio of 27 dB is produced. Furthermore, the shear stress on the active material is significantly reduced, effectively preventing fatigue failure of the active material during high-power emission. This provides a more convenient method for achieving low-frequency underwater acoustic directional emission.
The dimensions of flextensional transducers are much smaller than the wavelength, thereby hindering the generation of directional beams by compact underwater acoustic transducers. To address the complexities of amplitude and phase modulation in circuit-driven traditional directional flextensional transducers, a directional flextensional transducer structure is proposed in this work. By implementing an asymmetric composite shell configuration combining concave and convex curved beams, the low-frequency directional radiation is achieved while simplifying peripheral driving circuits, thereby improving the operational convenience and cost-effectiveness. Through an analysis of the vibration characteristics and radiation mechanisms, this study elucidates the principle of directional generation. The concave and convex beams of the flextensional transducer exhibit an intrinsic operational characteristic of opposite-phase normal displacement in their vibration modes. By adjusting structural parameters, the amplitude output from the two beams under a single actuator drive can satisfy a specific differential relationship, effectively resulting in the modal superposition of a monopole and a dipole, thereby achieving directional radiation. By using a Lorentzian resonance fitting function and a linear fitting function, the relationship between the frequency-dependent amplitude ratio and phase difference of sound pressure for the concave and convex beams is established, forming an unequal amplitude, unequal phase dual-spherical source radiation model for the transducer, thereby providing a theoretical framework for controlling the directivity of the transducer. Through numerical simulations, the effects of the transducer sidewall parameters, as well as the thicknesses and curvature radii of the concave and convex beams, on the transducer’s resonance frequency, transmitting voltage response, front-to-back sound pressure ratio, and directivity are analyzed. Sensitivity ranking of the structural parameters is also presented. Finally, the optimization of transducer’s performance is discussed and compared with that in other existing research, showing the advantages of this design. Specifically, the transducer achieves a maximum transmitting voltage response of 145.9 dB within the operating frequency band from 1240 Hz to 1660 Hz. Under single-circuit drive, a cardioid-shaped directional beam with a maximum front-to-back sound pressure ratio of 27 dB is produced. Furthermore, the shear stress on the active material is significantly reduced, effectively preventing fatigue failure of the active material during high-power emission. This provides a more convenient method for achieving low-frequency underwater acoustic directional emission.
2025, 74(11): 115201.
doi: 10.7498/aps.74.20250040
Abstract:
Dense plasma focus (DPF) device is a pulsed high current discharge device, which is widely used in particle accelerator, controlled nuclear fusion, space propulsion, and pulsed neutron source. However, existing models for DPF dynamics, including semi-empirical snowplow approximations and particle-in-cell (PIC) methods, face limitations in balancing computational efficiency and comprehensive physical descriptions. In contrast, magnetohydrodynamic (MHD) models can comprehensively analyze the macroscopic phenomena (e.g. sheath motion, current distribution, fluid instabilities) and the influence of parameters (e.g. electrode geometry, gas pressure, and driving current waveforms) on DPF performance. Although MHD cannot self-consistently resolve kinetic behaviors like high-energy particle beams or neutron production during pinch phases, it remains highly valuable for investigating macroscopic DPF physics when quantitative neutron yield analysis is unnecessary. Therefore, a two-temperature MHD model coupled with an external RLC circuit is developed in this paper, which combines electron-ion thermal nonequilibrium, resistive effects, and plasma transport coefficients derived from Braginskii formulations. The model is rigorously validated based on experimental data from two benchmark DPF devices (UNU and UDMPF1), demonstrating high consistency in current waveform, voltage profile, and radial implosion trajectory. The research shows that the DPF plasma sheath is continuously accelerated along the axial direction under the action of the Lorentz force. When it moves to the end of the inner electrode, due to Z-pinch effect, the plasma sheath bends radially inward and is further compressed onto the axis of symmetry, finally forming a high-temperature and high-density plasma region in front of the inner electrode end, the so-called plasma focus. For the UNU device, simulations reveal distinct plasma evolution phases. One is the axial acceleration (0–2.5 μs), where the current sheath reaches a speed of up to 90 km/s under the dominance of Lorentz force, with ion temperatures rising from 1 eV to 100 eV, and the other is the radial implosion (2.78–2.90 μs), during which plasma density increases by an order of magnitude (reaching to ~1024 m–3) and ion temperature surges to ~1 keV through magnetically driven compression. Further studies also find that for large DPF devices, with the inductance reduced and the capacitance increased, the circuit current is easily saturated. However, increasing the circuit voltage has a more significant effect on the increase of current. This paper shows that for large DPF devices, the ratio of anode radius to cathode radius needs to be as small as possible, which can increase the peak current and pinch current of DPF while keeping other parameters unchanged.
Dense plasma focus (DPF) device is a pulsed high current discharge device, which is widely used in particle accelerator, controlled nuclear fusion, space propulsion, and pulsed neutron source. However, existing models for DPF dynamics, including semi-empirical snowplow approximations and particle-in-cell (PIC) methods, face limitations in balancing computational efficiency and comprehensive physical descriptions. In contrast, magnetohydrodynamic (MHD) models can comprehensively analyze the macroscopic phenomena (e.g. sheath motion, current distribution, fluid instabilities) and the influence of parameters (e.g. electrode geometry, gas pressure, and driving current waveforms) on DPF performance. Although MHD cannot self-consistently resolve kinetic behaviors like high-energy particle beams or neutron production during pinch phases, it remains highly valuable for investigating macroscopic DPF physics when quantitative neutron yield analysis is unnecessary. Therefore, a two-temperature MHD model coupled with an external RLC circuit is developed in this paper, which combines electron-ion thermal nonequilibrium, resistive effects, and plasma transport coefficients derived from Braginskii formulations. The model is rigorously validated based on experimental data from two benchmark DPF devices (UNU and UDMPF1), demonstrating high consistency in current waveform, voltage profile, and radial implosion trajectory. The research shows that the DPF plasma sheath is continuously accelerated along the axial direction under the action of the Lorentz force. When it moves to the end of the inner electrode, due to Z-pinch effect, the plasma sheath bends radially inward and is further compressed onto the axis of symmetry, finally forming a high-temperature and high-density plasma region in front of the inner electrode end, the so-called plasma focus. For the UNU device, simulations reveal distinct plasma evolution phases. One is the axial acceleration (0–2.5 μs), where the current sheath reaches a speed of up to 90 km/s under the dominance of Lorentz force, with ion temperatures rising from 1 eV to 100 eV, and the other is the radial implosion (2.78–2.90 μs), during which plasma density increases by an order of magnitude (reaching to ~1024 m–3) and ion temperature surges to ~1 keV through magnetically driven compression. Further studies also find that for large DPF devices, with the inductance reduced and the capacitance increased, the circuit current is easily saturated. However, increasing the circuit voltage has a more significant effect on the increase of current. This paper shows that for large DPF devices, the ratio of anode radius to cathode radius needs to be as small as possible, which can increase the peak current and pinch current of DPF while keeping other parameters unchanged.
2025, 74(11): 115202.
doi: 10.7498/aps.74.20250111
Abstract:
Pattern discharge is a common mode in dielectric barrier discharge (DBD) and has broad application prospects in various industrial fields, such as material surface treatment, environmental monitoring, and biomedical applications. In this work, a mixed gas of 75% argon and 25% air is used to generate a pattern discharge. A double-gap boundary composed of hexagonal configuration and square configuration is employed, and the gas pressure is fixed at 20 kPa. By varying the applied voltage amplitude, single-ring pattern, square-point-line pattern, square lattice pattern, and annular-lattice pattern are obtained for the first time. The discharge characteristics and their temporal correlation are studied using both optical method and electrical method. The results show that the discharge patterns exhibit multiple discharges in each half of the voltage cycle, and these discharges are temporally correlated with each other. Time-resolved discharge images of the square lattice pattern are captured using an enhanced charge-coupled device (ICCD). The experimental results reveal that multiple discharges in a half-voltage cycle correspond to the ignition process of the pattern in the radial direction from the outside to the inside. The morphology of the square lattice pattern observed by the naked eye is actually the result of the temporal superposition of luminescence from points at different positions in the evolution process. The formation mechanism of this pattern is analyzed through electric field simulations and theoretical calculations. Plasma parameters are diagnosed by collecting the emission spectrum of the square dot-lattice pattern. The results show that the electron density gradually decreases radially from the outer region to the inner region, while the electron temperature and molecular vibrational temperature increase radially from the outer region to the inner region, and the molecular rotational temperature remains almost unchanged. The temporal evolution of the square lattice pattern is shown in the following figures, where the current waveform marks the timing of each frame of ICCD imaging for the complete square lattice pattern.
Pattern discharge is a common mode in dielectric barrier discharge (DBD) and has broad application prospects in various industrial fields, such as material surface treatment, environmental monitoring, and biomedical applications. In this work, a mixed gas of 75% argon and 25% air is used to generate a pattern discharge. A double-gap boundary composed of hexagonal configuration and square configuration is employed, and the gas pressure is fixed at 20 kPa. By varying the applied voltage amplitude, single-ring pattern, square-point-line pattern, square lattice pattern, and annular-lattice pattern are obtained for the first time. The discharge characteristics and their temporal correlation are studied using both optical method and electrical method. The results show that the discharge patterns exhibit multiple discharges in each half of the voltage cycle, and these discharges are temporally correlated with each other. Time-resolved discharge images of the square lattice pattern are captured using an enhanced charge-coupled device (ICCD). The experimental results reveal that multiple discharges in a half-voltage cycle correspond to the ignition process of the pattern in the radial direction from the outside to the inside. The morphology of the square lattice pattern observed by the naked eye is actually the result of the temporal superposition of luminescence from points at different positions in the evolution process. The formation mechanism of this pattern is analyzed through electric field simulations and theoretical calculations. Plasma parameters are diagnosed by collecting the emission spectrum of the square dot-lattice pattern. The results show that the electron density gradually decreases radially from the outer region to the inner region, while the electron temperature and molecular vibrational temperature increase radially from the outer region to the inner region, and the molecular rotational temperature remains almost unchanged. The temporal evolution of the square lattice pattern is shown in the following figures, where the current waveform marks the timing of each frame of ICCD imaging for the complete square lattice pattern.
2025, 74(11): 115203.
doi: 10.7498/aps.74.20250065
Abstract:
Divertor detachment is a critical technique for managing the thermal load on the divertor of the HL-3 tokamak, an important device in magnetic confinement fusion research. However, existing studies on detachment have largely overlooked the complex multi-species particle dynamics in the scrape-off layer (SOL) and divertor regions, particularly the interactions involving hydrogen isotopes (e.g, deuterium), externally injected impurities (e.g, neon), and intrinsic impurities (e.g, carbon). This study aims to address this problem by employing the newly developed multi-species particle transport code SD1D to investigate the effects of carbon impurities and neutral particles on two detachment scenarios in HL-3: plasma density ramp-up and neon injection into the divertor. The SD1D code models the transport, collision, and radiation processes of various particles, including deuterium ions, atoms, and molecules, as well as carbon and neon impurities, along the magnetic field lines from the SOL upstream to the divertor target. The study focuses on understanding how carbon impurities and neutral particles affect the detachment mechanisms under different conditions. The results reveal that carbon impurities generated in the divertor significantly enhance the detachment in the density ramp-up scenario by increasing the density of deuterium atoms, molecules, and ions near the target plate, thereby increasing the total radiation power. This effect lowers the density threshold required for detachment and reduces the peak current on the target plate. However, carbon impurities have a minimal influence on detachment achieved through neon injection, as they do not significantly change the density of deuterium species or the total radiation power in this scenario. Furthermore, this study highlights the distinct roles of neutral particles in the two detachment mechanisms. In the density ramp-up scenario, the increased plasma density promotes the recycling process in the divertor, generating a substantial population of neutral particles. The energy loss and momentum loss resulting from plasma-neutral interactions are crucial for achieving detachment. In contrast, neon injection directly reduces the saturation current on the target plate, suppressing the recycling process and diminishing the importance of neutral particles. In conclusion, this work demonstrates that carbon impurities play a significant role in facilitating detachment during plasma density ramp-up but have limited influence on detachment via neon injection. The findings underscore the importance of considering multi-species particle dynamics, including neutral particles and impurities, in understanding and optimizing divertor detachment strategies. Future work will involve validating the SD1D model based on experimental data from HL-3 to further refine its predictiveness.
2025, 74(11): 116101.
doi: 10.7498/aps.74.20250368
Abstract:
Amorphous alloys have become a research hotpot in the field of materials science due to their unique long-range disordered structure and excellent physical properties. However, the complex microstructural evolution and electronic transport mechanisms of amorphous alloys under thermal effects still need in depth investigating. In this work, Ni40Fe35B15Si7P3 and Ni50Fe25B15Si7P3 amorphous alloy ribbons are prepared by the melt-spinning technique, and the as-cast samples are subjected to annealing treatments within the supercooled liquid region. The results show that annealing within the supercooled liquid region enhances the short-range order, reduces the free volume, and increases the atomic packing density of the alloys. The volume fractions of the local quasi-crystalline clusters in the annealed samples increase to 26%-34%. Furthermore, the increases in scattering centers and the release of internal stresses induced by the supercooled liquid region annealing lead to an increase in the electrical resistivity of the alloys. Specifically, the resistivity of the Ni40Fe35B15Si7P3 alloy increases from 131.8 μΩ·cm to 217.0 μΩ·cm, a increase of 64.6%. Under an applied magnetic field, the deflection of electron trajectories due to the Lorentz force and the magnetostriction effect further increases the resistivity of the alloys. Additionally, thermal activation releases the bound electrons and enhances their scattering, resulting in an increase in the carrier concentration and a decrease in the carrier mobility of the annealed alloys. This study demonstrates that annealing can effectively control the short-range order and free volume distribution of amorphous alloys, thereby influencing their electronic transport properties. The findings provide an experimental basis for designing high-performance amorphous alloy electronic devices.
Amorphous alloys have become a research hotpot in the field of materials science due to their unique long-range disordered structure and excellent physical properties. However, the complex microstructural evolution and electronic transport mechanisms of amorphous alloys under thermal effects still need in depth investigating. In this work, Ni40Fe35B15Si7P3 and Ni50Fe25B15Si7P3 amorphous alloy ribbons are prepared by the melt-spinning technique, and the as-cast samples are subjected to annealing treatments within the supercooled liquid region. The results show that annealing within the supercooled liquid region enhances the short-range order, reduces the free volume, and increases the atomic packing density of the alloys. The volume fractions of the local quasi-crystalline clusters in the annealed samples increase to 26%-34%. Furthermore, the increases in scattering centers and the release of internal stresses induced by the supercooled liquid region annealing lead to an increase in the electrical resistivity of the alloys. Specifically, the resistivity of the Ni40Fe35B15Si7P3 alloy increases from 131.8 μΩ·cm to 217.0 μΩ·cm, a increase of 64.6%. Under an applied magnetic field, the deflection of electron trajectories due to the Lorentz force and the magnetostriction effect further increases the resistivity of the alloys. Additionally, thermal activation releases the bound electrons and enhances their scattering, resulting in an increase in the carrier concentration and a decrease in the carrier mobility of the annealed alloys. This study demonstrates that annealing can effectively control the short-range order and free volume distribution of amorphous alloys, thereby influencing their electronic transport properties. The findings provide an experimental basis for designing high-performance amorphous alloy electronic devices.
2025, 74(11): 116301.
doi: 10.7498/aps.74.20250406
Abstract:
Multiferroic materials have attracted considerable attention due to their novel quantum phenomena, including magnetoelectric coupling and topological domains, which are derived from the cross-coupling mechanism between ferroelectric order and magnetic order. However, the discovery of intrinsic multiferroic materials exhibiting magnetoelectric coupling remains limited, as ferroelectricity typically originates from the d0 electronic configuration, while ferromagnetism relies on partially filled dn state. Based on first principles calculations, this work demonstrates that electronic structure of PbTiO3 perovskite can be engineered by introducing an Aurivillius-type interface layer, which induces localized magnetic moments at the interface. The results reveal that when the system maintains strong electric polarization (up to 116.88 μC/cm2), the interfacial charge changes the electron occupancy of oxygen atoms, thereby resulting in interface magnetism and magnetoelectric coupling in PbTiO3. Notably, this multiferroic state exhibits pronounced interface localization, with the magnetic moment decaying rapidly as the layer thickness increases. Importantly, the emergent magnetism is asymmetric, resulting in a net positive spontaneous magnetization of 2.0μB. This observation indicates the emergence of ferrimagnetism at the interface. Furthermore, the interfacial region displays p-type conductivity behavior, exhibiting characteristics of two-dimensional hole gas (2DHG), and the density of holes and the density of charge carriers at the interface are several times higher than those in typical heterostructures. Overall, our work proposes a novel mechanism for designing multiferroic and providing a promising strategy for developing magnetoelectric-coupled multiferroic devices.
Multiferroic materials have attracted considerable attention due to their novel quantum phenomena, including magnetoelectric coupling and topological domains, which are derived from the cross-coupling mechanism between ferroelectric order and magnetic order. However, the discovery of intrinsic multiferroic materials exhibiting magnetoelectric coupling remains limited, as ferroelectricity typically originates from the d0 electronic configuration, while ferromagnetism relies on partially filled dn state. Based on first principles calculations, this work demonstrates that electronic structure of PbTiO3 perovskite can be engineered by introducing an Aurivillius-type interface layer, which induces localized magnetic moments at the interface. The results reveal that when the system maintains strong electric polarization (up to 116.88 μC/cm2), the interfacial charge changes the electron occupancy of oxygen atoms, thereby resulting in interface magnetism and magnetoelectric coupling in PbTiO3. Notably, this multiferroic state exhibits pronounced interface localization, with the magnetic moment decaying rapidly as the layer thickness increases. Importantly, the emergent magnetism is asymmetric, resulting in a net positive spontaneous magnetization of 2.0μB. This observation indicates the emergence of ferrimagnetism at the interface. Furthermore, the interfacial region displays p-type conductivity behavior, exhibiting characteristics of two-dimensional hole gas (2DHG), and the density of holes and the density of charge carriers at the interface are several times higher than those in typical heterostructures. Overall, our work proposes a novel mechanism for designing multiferroic and providing a promising strategy for developing magnetoelectric-coupled multiferroic devices.
2025, 74(11): 116302.
doi: 10.7498/aps.74.20250350
Abstract:
Amorphous hafnia (a-HfO2) has attracted considerable attention due to its excellent dielectric properties and broad applicability in the electronic industry. Considering that the self-heating is becoming the bottleneck for the performance and reliability of microelectronic devices, it is necessary to clarify the thermal transport mechanism in a-HfO2. The microstructures of a-HfO2 can be significantly changed during the fabrication process, whose effects on thermal transport remain to be revealed. Here, we conduct a comprehensive investigation of thermal transport in a-HfO2 based on the quasi-harmonic Green-Kubo (QHGK) theory combined with hydrodynamic extrapolation. The calculation scheme fully considers the contributions from low-frequency vibrational modes, overcoming the drawbacks of finite size in the single QHGK method and molecular dynamics simulation. It is found that the thermal conductivity (κ) of a-HfO2 is weakly related to its degree of order. The amorphous structures with slower quenching speed and higher degree of order have higher thermal conductivities due to their slightly larger relaxation times. Modal analyses show that the mid- and low-frequency vibrational modes have significant contributions to thermal transport in a-HfO2, which is the main reason for the underestimation of the κ in other methods. Based on the anharmonic dynamic structure factor, we further separate the contributions of two fundamental heat carriers in amorphous materials: propagons and diffusons. It is found that diffusons dominate the κ in all a-HfO2 structures. Nevertheless, the contribution of the propagons is non-negligible, accounting for more than 20% and increasing with the degree of structural ordering. This study provides new insights into the microscopic mechanisms and guidance for manipulating thermal transport in a-HfO2.
Amorphous hafnia (a-HfO2) has attracted considerable attention due to its excellent dielectric properties and broad applicability in the electronic industry. Considering that the self-heating is becoming the bottleneck for the performance and reliability of microelectronic devices, it is necessary to clarify the thermal transport mechanism in a-HfO2. The microstructures of a-HfO2 can be significantly changed during the fabrication process, whose effects on thermal transport remain to be revealed. Here, we conduct a comprehensive investigation of thermal transport in a-HfO2 based on the quasi-harmonic Green-Kubo (QHGK) theory combined with hydrodynamic extrapolation. The calculation scheme fully considers the contributions from low-frequency vibrational modes, overcoming the drawbacks of finite size in the single QHGK method and molecular dynamics simulation. It is found that the thermal conductivity (κ) of a-HfO2 is weakly related to its degree of order. The amorphous structures with slower quenching speed and higher degree of order have higher thermal conductivities due to their slightly larger relaxation times. Modal analyses show that the mid- and low-frequency vibrational modes have significant contributions to thermal transport in a-HfO2, which is the main reason for the underestimation of the κ in other methods. Based on the anharmonic dynamic structure factor, we further separate the contributions of two fundamental heat carriers in amorphous materials: propagons and diffusons. It is found that diffusons dominate the κ in all a-HfO2 structures. Nevertheless, the contribution of the propagons is non-negligible, accounting for more than 20% and increasing with the degree of structural ordering. This study provides new insights into the microscopic mechanisms and guidance for manipulating thermal transport in a-HfO2.
2025, 74(11): 116401.
doi: 10.7498/aps.74.20250292
Abstract:
Active matter can form various collective motions. In dry and repulsive systems, a uniform polar fluid emerges in the presence of an aligning mechanism. Theoretical studies have shown that in active systems with attractive interactions, particles can achieve spontaneous velocity alignment and form clusters through the synergistic effect of self-propulsion and attraction. However, so far, the influence of attractions on collective behavior has not been well addressed experimentally. In this work, an electric-field driven Quincke system, where an electrohydrodynamic (EHD) long-range attraction is present, is used to investigate the influence of attraction on the collective behavior. It is found that the long-range attraction can significantly increase the interaction time during collision, thereby enhancing velocity alignment. The aligned particles can form dynamic polar clusters. Moreover, in the presence of a long-range attraction, a uniform polar fluid is unstable: density fluctuation leads to denser polar clusters which share the same direction of collective motion with the polar fluid. Our findings show that the attraction between active individuals can significantly change the microscopic and macroscopic dynamics of active systems and provide insights into understanding chemotactic attraction phenomena in biological systems.
Active matter can form various collective motions. In dry and repulsive systems, a uniform polar fluid emerges in the presence of an aligning mechanism. Theoretical studies have shown that in active systems with attractive interactions, particles can achieve spontaneous velocity alignment and form clusters through the synergistic effect of self-propulsion and attraction. However, so far, the influence of attractions on collective behavior has not been well addressed experimentally. In this work, an electric-field driven Quincke system, where an electrohydrodynamic (EHD) long-range attraction is present, is used to investigate the influence of attraction on the collective behavior. It is found that the long-range attraction can significantly increase the interaction time during collision, thereby enhancing velocity alignment. The aligned particles can form dynamic polar clusters. Moreover, in the presence of a long-range attraction, a uniform polar fluid is unstable: density fluctuation leads to denser polar clusters which share the same direction of collective motion with the polar fluid. Our findings show that the attraction between active individuals can significantly change the microscopic and macroscopic dynamics of active systems and provide insights into understanding chemotactic attraction phenomena in biological systems.
2025, 74(11): 116402.
doi: 10.7498/aps.74.20250270
Abstract:
In order to further investigate the non-reciprocity of light propagation in the defective atomic lattices, and due to its effective application in designing novel photonic devices, such as all-optical diodes and isolators, which are powerful tools for information processing and quantum simulation, we innovatively propose to use the Fibonacci sequence to modulate the arrangement of empty lattice cells that form a quasi periodic defective atomic lattices. In the electromagnetically induced transparency window, the probe light is almost not absorbed under the control of a strong coupling field (see Fig. 1). The numerical simulation indicates that a wide nonreciprocal reflection band can be achieved by modulating the number of filled lattice cells, Fibonacci sequence, the period number in a single quasi period (see Fig. 2). These results provide more degrees of freedom for regulating nonreciprocal reflection with wide bandwidth and high contrast, and have potential applications in quantum computing and information processing.
In order to further investigate the non-reciprocity of light propagation in the defective atomic lattices, and due to its effective application in designing novel photonic devices, such as all-optical diodes and isolators, which are powerful tools for information processing and quantum simulation, we innovatively propose to use the Fibonacci sequence to modulate the arrangement of empty lattice cells that form a quasi periodic defective atomic lattices. In the electromagnetically induced transparency window, the probe light is almost not absorbed under the control of a strong coupling field (see Fig. 1). The numerical simulation indicates that a wide nonreciprocal reflection band can be achieved by modulating the number of filled lattice cells, Fibonacci sequence, the period number in a single quasi period (see Fig. 2). These results provide more degrees of freedom for regulating nonreciprocal reflection with wide bandwidth and high contrast, and have potential applications in quantum computing and information processing.
2025, 74(11): 117101.
doi: 10.7498/aps.74.20250152
Abstract:
The preparation technology of powder metallurgy is an important way to prepare Bi2Te3-based bulk materials with excellent mechanical properties and thermoelectric properties. However, the loss of sample orientation during the preparation of powder metallurgy results in low thermoelectric properties of the materials. The development of high-performance Bi2Te3-based thermoelectric materials with strong plate texture and fine grains is the focus of research on high-performance Bi2Te3-based thermoelectric materials. In this paper, a series of p-type Bi2Te3-based materials is prepared by vertical corner extrusion preparation technology. The influences of extrusion temperature on the microstructure and texture characteristics of the material and its influence on the thermoelectric properties of the material are systematically studied. In the vertical corner extrusion process, grains preferentially grow along the minimum resistance direction perpendicular to the pressure, that is, along the extrusion direction, thereby further enhancing the (00l) texture of the original hot-pressed sample; in the direction parallel to the pressure, due to friction with the inner wall of the die in the extrusion process, this frictional resistance will promote the inversion of the grains, so that the grains are arranged in a directional manner to reduce the frictional resistance, thus forming the (110) texture, which is not present in the original hot-pressed sample, in the extruded sample, and finally completing the transition from the hot-pressed sample to the plate texture of the extruded sample. When the extrusion temperature is low, the atomic diffusion rate is low, which limits the dynamic recrystallization of the grain, the grain growth process, and the grain deflection speed. With the increase of the extrusion temperature, these processes can be carried out rapidly, thus forming a more obvious plate texture characteristic. The 773 K extruded sample achieves high orientation factors of F(00l) = 0.51 and F(110) = 0.30 in the directions perpendicular to the pressure and parallel to the pressure, respectively, and the carrier mobility is as high as 345.4 cm2·V–1·s–1 at room temperature, which is comparable to the carrier mobility of the zone melt sample, showing excellent electrical transport performance. The power factor reaches 4.43 mW·m–1·K–2 at room temperature. At the same time, the sum of lattice thermal conductivity and bipolar thermal conductivity of the 773 K extruded sample decreases to a minimum value of 0.78 W·m–1·K–1 at 323 K. Finally, the 773 K extruded sample obtains a maximum ZT value of 1.13 at 323 K, which is nearly 70% higher than that of the hot-pressed sample. This research provides a new way for preparing high-performance strong plate textures and fine-grained Bi2Te3-based thermoelectric materials, and lays an important foundation for fabricating micro thermoelectric devices.
The preparation technology of powder metallurgy is an important way to prepare Bi2Te3-based bulk materials with excellent mechanical properties and thermoelectric properties. However, the loss of sample orientation during the preparation of powder metallurgy results in low thermoelectric properties of the materials. The development of high-performance Bi2Te3-based thermoelectric materials with strong plate texture and fine grains is the focus of research on high-performance Bi2Te3-based thermoelectric materials. In this paper, a series of p-type Bi2Te3-based materials is prepared by vertical corner extrusion preparation technology. The influences of extrusion temperature on the microstructure and texture characteristics of the material and its influence on the thermoelectric properties of the material are systematically studied. In the vertical corner extrusion process, grains preferentially grow along the minimum resistance direction perpendicular to the pressure, that is, along the extrusion direction, thereby further enhancing the (00l) texture of the original hot-pressed sample; in the direction parallel to the pressure, due to friction with the inner wall of the die in the extrusion process, this frictional resistance will promote the inversion of the grains, so that the grains are arranged in a directional manner to reduce the frictional resistance, thus forming the (110) texture, which is not present in the original hot-pressed sample, in the extruded sample, and finally completing the transition from the hot-pressed sample to the plate texture of the extruded sample. When the extrusion temperature is low, the atomic diffusion rate is low, which limits the dynamic recrystallization of the grain, the grain growth process, and the grain deflection speed. With the increase of the extrusion temperature, these processes can be carried out rapidly, thus forming a more obvious plate texture characteristic. The 773 K extruded sample achieves high orientation factors of F(00l) = 0.51 and F(110) = 0.30 in the directions perpendicular to the pressure and parallel to the pressure, respectively, and the carrier mobility is as high as 345.4 cm2·V–1·s–1 at room temperature, which is comparable to the carrier mobility of the zone melt sample, showing excellent electrical transport performance. The power factor reaches 4.43 mW·m–1·K–2 at room temperature. At the same time, the sum of lattice thermal conductivity and bipolar thermal conductivity of the 773 K extruded sample decreases to a minimum value of 0.78 W·m–1·K–1 at 323 K. Finally, the 773 K extruded sample obtains a maximum ZT value of 1.13 at 323 K, which is nearly 70% higher than that of the hot-pressed sample. This research provides a new way for preparing high-performance strong plate textures and fine-grained Bi2Te3-based thermoelectric materials, and lays an important foundation for fabricating micro thermoelectric devices.
2025, 74(11): 118201.
doi: 10.7498/aps.74.20250096
Abstract:
Under the dual background of deep adjustment of global energy pattern and severe challenges of environmental problems, solid oxide fuel cell (SOFC) has become the focus of research on efficient and clean energy conversion technology due to its many excellent characteristics. The electrochemical performance of SOFC is affected by various factors such as gas flow pattern (co-flow, counter-flow, cross-flow), flow rate (cathode and anode channel gases), and operating voltage. Accurately analysing the variation of electrochemical indexes with each factor is the basis for proposing the design scheme of high efficiency reaction of the cell. Therefore, a three-dimensional multi-field coupling model of SOFC is established in this study, and the model parameters and boundary conditions covering electrochemistry, gas flow, substance diffusion, etc. are set to study the influence of the coupling between factors on the electrochemical performance of the cell. These results show that with the decrease of operating voltage, the electrochemical reaction rate of the cell increases significantly, the gas mole fraction gradient increases, and the inhomogeneity of the electrolyte current density distribution is enhanced. Under low-voltage operating conditions, the cross-flow flow pattern shows better electrochemical performance advantages, and its power density profile takes the lead in different current density intervals. With the increase of the flow rate of the flow channel gas, the output power density curve of the cell shows an overall upward trend, and then the driving effect of the flow rate increase on the power density increase is gradually weakened due to the saturated cathodic reaction. This study reveals the influence of the coupling of flow pattern, flow rate and voltage on the electrochemical performance of SOFC, and provides guidance for the commercial application of SOFC.
Under the dual background of deep adjustment of global energy pattern and severe challenges of environmental problems, solid oxide fuel cell (SOFC) has become the focus of research on efficient and clean energy conversion technology due to its many excellent characteristics. The electrochemical performance of SOFC is affected by various factors such as gas flow pattern (co-flow, counter-flow, cross-flow), flow rate (cathode and anode channel gases), and operating voltage. Accurately analysing the variation of electrochemical indexes with each factor is the basis for proposing the design scheme of high efficiency reaction of the cell. Therefore, a three-dimensional multi-field coupling model of SOFC is established in this study, and the model parameters and boundary conditions covering electrochemistry, gas flow, substance diffusion, etc. are set to study the influence of the coupling between factors on the electrochemical performance of the cell. These results show that with the decrease of operating voltage, the electrochemical reaction rate of the cell increases significantly, the gas mole fraction gradient increases, and the inhomogeneity of the electrolyte current density distribution is enhanced. Under low-voltage operating conditions, the cross-flow flow pattern shows better electrochemical performance advantages, and its power density profile takes the lead in different current density intervals. With the increase of the flow rate of the flow channel gas, the output power density curve of the cell shows an overall upward trend, and then the driving effect of the flow rate increase on the power density increase is gradually weakened due to the saturated cathodic reaction. This study reveals the influence of the coupling of flow pattern, flow rate and voltage on the electrochemical performance of SOFC, and provides guidance for the commercial application of SOFC.
2025, 74(11): 118501.
doi: 10.7498/aps.74.20250120
Abstract:
As a thyristor-like device, integrated gate commutated thyristor (IGCT) is more applicable to the high-voltage and high-power fields due to the lower on-state voltage drop, and a combination of transparent anode and hard drive enables IGCT to turn off faster and more reliably. However, with an increase in power capacity of IGCT, the reliability of IGCT is becoming an increasing concern. Based on the multi-cell structure model, the turn-off characteristics and robustness of IGCT under over-stress conditions are studied in this work. The results show that during GCT turning off, the modulation of free carriers to the electric field in the space charge region makes the dynamic avalanche effect occur at the anode-cathode voltage much lower than the rated blocking voltage of the device, and the avalanche-induced current filament effect may occur due to the distortion of electric field, resulting in negative differential resistance effect at strong dynamic avalanche. In comparison, the behavioral characteristics of current filament at different stages of turn-off behave differently. During the voltage rising period when IGCT turns off, the avalanche-induced current filament can move rapidly, which will not cause the temperature to rise too much and has little influence on the robustness of the device. In contrast, when the anode-cathode voltage rises close to the static avalanche breakdown voltage, the switching self-clamping mode (SSCM) will occur, and the device will operate in its static avalanche breakdown mode. If the device operates on the negative differential resistance (NDR) branch of its static avalanche breakdown characteristic curve, a very slow moving current filament driven only by temperature rise will appear. This makes the power consumption that is required to be borne by the entire device undertaken only by the area where the current filament is located, thus resulting in a very high local current density and a large local temperature rise, and the device is easy to re-trigger or thermally break down. The static avalanche breakdown characteristics of IGCT determine the nature of the current filament under SSCM. The larger the common-base current gain αpnp of the parasitic pnp transistor of IGCT, the stronger the avalanche-induced current filament under SSCM is and the slower its movement speed, thereby significantly reducing the robustness of the device. Therefore, in order to improve the robustness of the device under SSCM, more precise control of αpnp is required during the designing of GCT chips.
2025, 74(11): 118701.
doi: 10.7498/aps.74.20250080
Abstract:
Cold atmospheric plasma (CAP) is considered to be a highly promising cancer treatment method, due to its “selective” anti-cancer effect. However, the physical theoretical explanation about this effect and the microscopic interactive mechanisms between CAP and tumors are still lacking. In this work, the CAP-induced electric field-caused electroporation (EP) processes of the cell membrane are modeled based on molecular dynamics. Additionally, the umbrella sampling method is utilized to compute the free energy profile of the intracellular permeation processes of the reactive oxygen species (ROS) through EP-formed pore-like structures at different EP stages. Comparative results are shown as follows. 1) Cancer cell membranes with lower cholesterol components show lower EP-generation threshold and faster EP-formation, and 2) lower free-energy barrier and earlier occurrence of free-energy barrier reduction are shown in all EP stages in cancer cell membrane. The above results explain the difference between cancer cells and normal cells when affected by CAP. Our work delves into the formation of CAP-induced EP and the transport of ROS through EP-formed pore-like structures, which contributes to a better understanding of the microscopic mechanisms of the “selective” anti-cancer effect of CAP, and provides important references for developing CAP-based cancer treatment methods, and devices, thereby facilitating the translation of CAP into clinical applications.
Cold atmospheric plasma (CAP) is considered to be a highly promising cancer treatment method, due to its “selective” anti-cancer effect. However, the physical theoretical explanation about this effect and the microscopic interactive mechanisms between CAP and tumors are still lacking. In this work, the CAP-induced electric field-caused electroporation (EP) processes of the cell membrane are modeled based on molecular dynamics. Additionally, the umbrella sampling method is utilized to compute the free energy profile of the intracellular permeation processes of the reactive oxygen species (ROS) through EP-formed pore-like structures at different EP stages. Comparative results are shown as follows. 1) Cancer cell membranes with lower cholesterol components show lower EP-generation threshold and faster EP-formation, and 2) lower free-energy barrier and earlier occurrence of free-energy barrier reduction are shown in all EP stages in cancer cell membrane. The above results explain the difference between cancer cells and normal cells when affected by CAP. Our work delves into the formation of CAP-induced EP and the transport of ROS through EP-formed pore-like structures, which contributes to a better understanding of the microscopic mechanisms of the “selective” anti-cancer effect of CAP, and provides important references for developing CAP-based cancer treatment methods, and devices, thereby facilitating the translation of CAP into clinical applications.








