2025 Vol. 74, No. 3
column
- SPECIAL TOPIC—Dynamics of atoms and molecules at extremes
- INSTRUMENTATION AND MEASUREMENT
- DATA PAPER
- GENERAL
- NUCLEAR PHYSICS
- ELECTROMAGNETISM, OPTICS, ACOUSTICS, HEAT TRANSFER, CLASSICAL MECHANICS, AND FLUID DYNAMICS
- CONDENSED MATTER: STRUCTURAL, MECHANICAL, AND THERMAL PROPERTIES
- CONDENSED MATTER: ELECTRONIC STRUCTURE, ELECTRICAL, MAGNETIC, AND OPTICAL PROPERTIES
- INTERDISCIPLINARY PHYSICS AND RELATED AREAS OF SCIENCE AND TECHNOLOGY
Display Method:
2025, 74(3): 033201.
doi: 10.7498/aps.74.20241321
Abstract:
The laser-produced Sn plasma light source is a critical component in advanced extreme ultraviolet (EUV) lithography. The power and stability of EUV radiation within a 2% bandwidth centered at 13.5 nm are key indicators that determine success of the entire lithography process .The plasma state parameter distributions and the EUV radiation spectrum for a laser-produced Sn plasma light source are numerically simulated in this work. The radiative opacity of Sn plasma within the 12–16 nm range is calculated using a detailed-level-accounting model in the local thermodynamic equilibrium approximation. Next, the temperature distribution and the electron density distribution of plasma generated by nanosecond laser pulses interacting with both a Sn planar solid target and a liquid droplet target are simulated using the radiation hydrodynamics code for laser-produced plasma, RHDLPP. By combining the radiative opacity data with the plasma state data, the spectral simulation subroutine SpeIma3D is employed to model the spatially resolved EUV spectra for the planar target plasma and the angle-resolved EUV spectra for the droplet target plasma at a 60-degree observation angle. The variation of in-band radiation intensity at 13.5 nm within the 2% bandwidth as a function of observation angle is also analyzed for the droplet-target plasma. The simulated plasma state parameter distributions and EUV spectral results closely match existing experimental data, demonstrating the ability of RHDLPP code to model laser-produced Sn plasma EUV light sources. These findings provide valuable support for the development of EUV lithography and EUV light sources.
The laser-produced Sn plasma light source is a critical component in advanced extreme ultraviolet (EUV) lithography. The power and stability of EUV radiation within a 2% bandwidth centered at 13.5 nm are key indicators that determine success of the entire lithography process .The plasma state parameter distributions and the EUV radiation spectrum for a laser-produced Sn plasma light source are numerically simulated in this work. The radiative opacity of Sn plasma within the 12–16 nm range is calculated using a detailed-level-accounting model in the local thermodynamic equilibrium approximation. Next, the temperature distribution and the electron density distribution of plasma generated by nanosecond laser pulses interacting with both a Sn planar solid target and a liquid droplet target are simulated using the radiation hydrodynamics code for laser-produced plasma, RHDLPP. By combining the radiative opacity data with the plasma state data, the spectral simulation subroutine SpeIma3D is employed to model the spatially resolved EUV spectra for the planar target plasma and the angle-resolved EUV spectra for the droplet target plasma at a 60-degree observation angle. The variation of in-band radiation intensity at 13.5 nm within the 2% bandwidth as a function of observation angle is also analyzed for the droplet-target plasma. The simulated plasma state parameter distributions and EUV spectral results closely match existing experimental data, demonstrating the ability of RHDLPP code to model laser-produced Sn plasma EUV light sources. These findings provide valuable support for the development of EUV lithography and EUV light sources.
2025, 74(3): 033301.
doi: 10.7498/aps.74.20241400
Abstract:
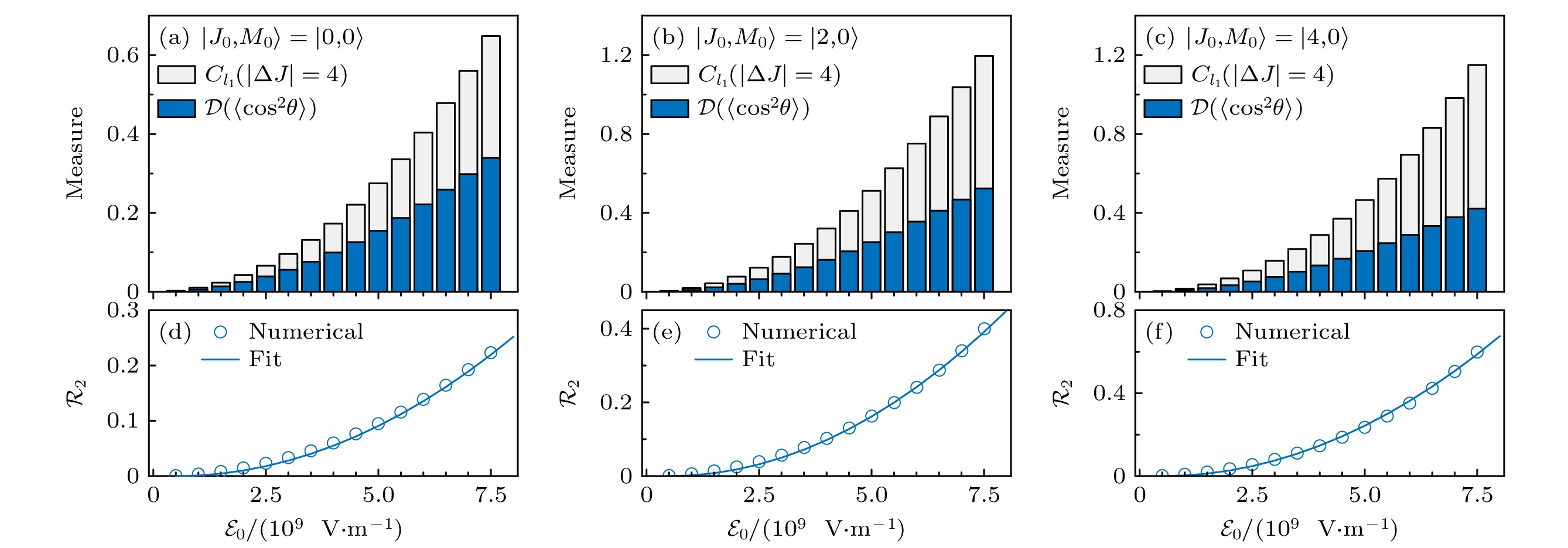
Femtosecond laser-induced excitation of molecular rotational states can lead to phenomena such as alignment and orientation, which fundamentally stem from the coherence between the induced rotational states. In recent years, the quantitative study of coherence in the field of quantum information has received widespread attention. Different kinds of coherence measures have been proposed and investigated. In this work, the quantitative correlation is investigated in detail between the intrinsic coherence measurement and the degree of molecular alignment induced by femtosecond laser pulses at finite temperatures. By examining the molecular alignment induced by ultrafast non-resonant laser pulses, a quantitative relationship is established between the\begin{document}$l_1$\end{document} norm coherence measure \begin{document}$C_{l_1}(\rho)$\end{document} and the alignment amplitude \begin{document}${\cal{D}}\langle \cos^2 \theta \rangle$\end{document} . Here, \begin{document}$C_{l_1}(\rho)$\end{document} represents the sum of the absolute values of all off-diagonal elements of the density matrix ρ, \begin{document}${\cal{D}}\langle \cos^2 \theta \rangle$\end{document} represents the difference between the maximum alignment and the minimum alignment. A quadratic relationship \begin{document}$ C_{l_1} = (a + b{\cal{E}}^2_0)\times $\end{document} \begin{document}$ {\cal{D}}\langle \cos^2 \theta \rangle$\end{document} between the the \begin{document}$l_1$\end{document} norm coherence measure and \begin{document}${\cal{D}}\langle \cos^2 \theta \rangle$\end{document} with respect to the electric field intensity \begin{document}${\cal{E}}_0$\end{document} is obtained. This relationship is validated through numerical simulations of the CO molecule, and the ratio coefficients a and b for different temperatures are obtained. Furthermore, a mapping relationship between this ratio and the pulse intensity area is established. The findings of this study provide an alternative method for experimentally detecting the coherence measure within femtosecond laser-excited rotational systems, thereby extending the potential applicability of molecular rotational states to the study of the coherence measure in the field of quantum resources. This will facilitate the interdisciplinary integration of ultrafast strong-field physics and quantum information.
Femtosecond laser-induced excitation of molecular rotational states can lead to phenomena such as alignment and orientation, which fundamentally stem from the coherence between the induced rotational states. In recent years, the quantitative study of coherence in the field of quantum information has received widespread attention. Different kinds of coherence measures have been proposed and investigated. In this work, the quantitative correlation is investigated in detail between the intrinsic coherence measurement and the degree of molecular alignment induced by femtosecond laser pulses at finite temperatures. By examining the molecular alignment induced by ultrafast non-resonant laser pulses, a quantitative relationship is established between the
2025, 74(3): 033401.
doi: 10.7498/aps.74.20241467
Abstract:
The electron-atom (ion) collision excitation process is one of the most common inelastic scattering processes. It is of great significance in the fields of astrophysics and laboratory plasma. The relativistic distorted-wave method is a widely used theoretical tool for studying electron-atom (ion) collisions, with the aim of obtaining scattering parameters, such as impact cross sections and rate coefficients. In recent years, we have developed a set of fully relativistic distorted-wave methods and programs of studying the electron-atom collision excitation processes. This method is based on the multi-configuration Dirac-Hartree-Fock (MCDHF) method, together with the corresponding packages GRASP 92/2K/2018 and RATIP. In the present work, continuum state wave functions, total and differential cross sections, state multipoles, integral and differential Stokes parameters of the radiation photon after the impact excitation processes of polarized electrons and atoms are calculated. The influences of electron correlation effects, Breit interaction, and plasma screening effects on the excitation cross sections are discussed. The present methods and programs possess several advantages below. 1) In the calculations of the continuum electron wave functions, the direct interaction and exchange interaction between the bound electron and the continuum electron are both included. Then, the anti-symmetrized coupling wave function, which is composed of the continuum electron wave function and the continuum ion wave function, is utilized as the wave function of the system. This method is employed to study the low-energy electron scattering process and medium energy electron scattering process. 2) In this method, the target state wave function is obtained form the MCDHF theory and the corresponding GRASP packages. The MCDHF method has the advantage of being able to consider the electron correlation effects, including valence-valence, core-valence, and core-core correlations, as well as the influence of Breit interaction and quantum electrodynamics effect on the target state wave function. Furthermore, the calculation of the collision excitation matrix elements also includes the contribution of the Breit interaction. Consequently, the present method integrates the advantages of both the MCDHF method and distorted-wave method, thus is made suitable for studying the scattering processes of highly charged ions. In addition, it facilitates the study of the influence of higher-order effects on the collision dynamics, thereby obtaining high-precision theoretical data. 3) The current method and program can also be utilized to study the scattering cross section of electron-atom collision excitation processes, as well as the influence of plasma screening effects on collision excitation. Furthermore, the state multipoles, differential Stokes parameters, integral Stokes parameters, and orientation parameters of electron-complex atom collision excitation can be studied in detail by using the present method and program.
2025, 74(3): 033402.
doi: 10.7498/aps.74.20241638
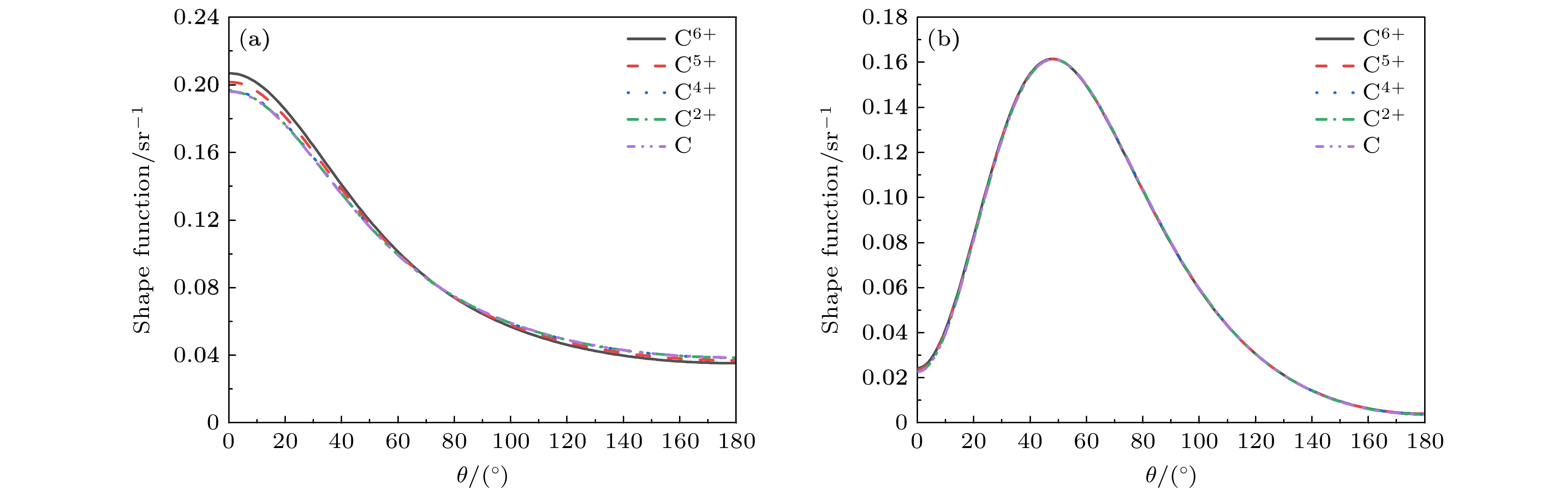
Abstract:
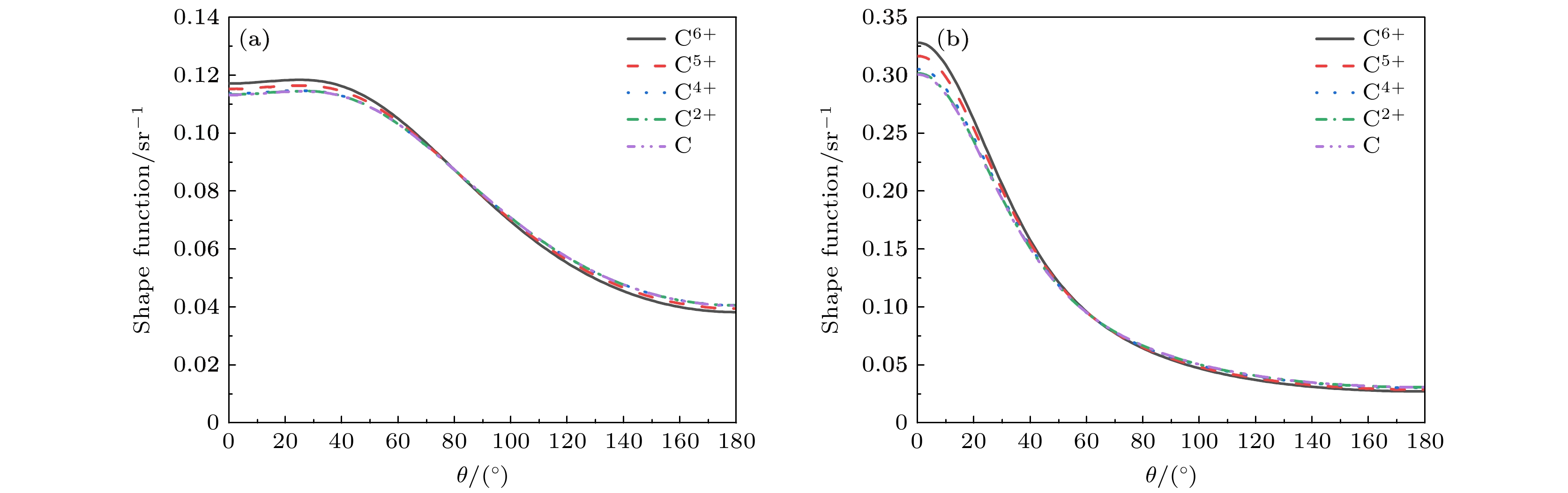
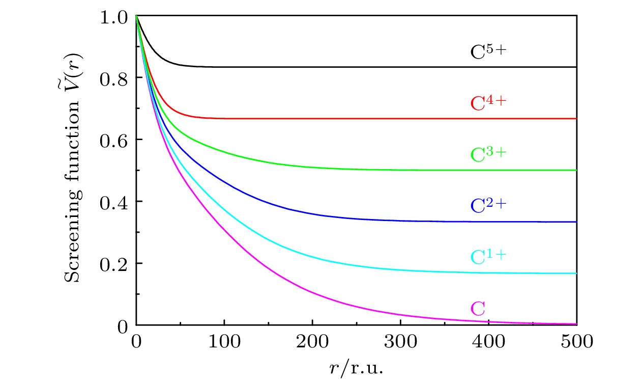
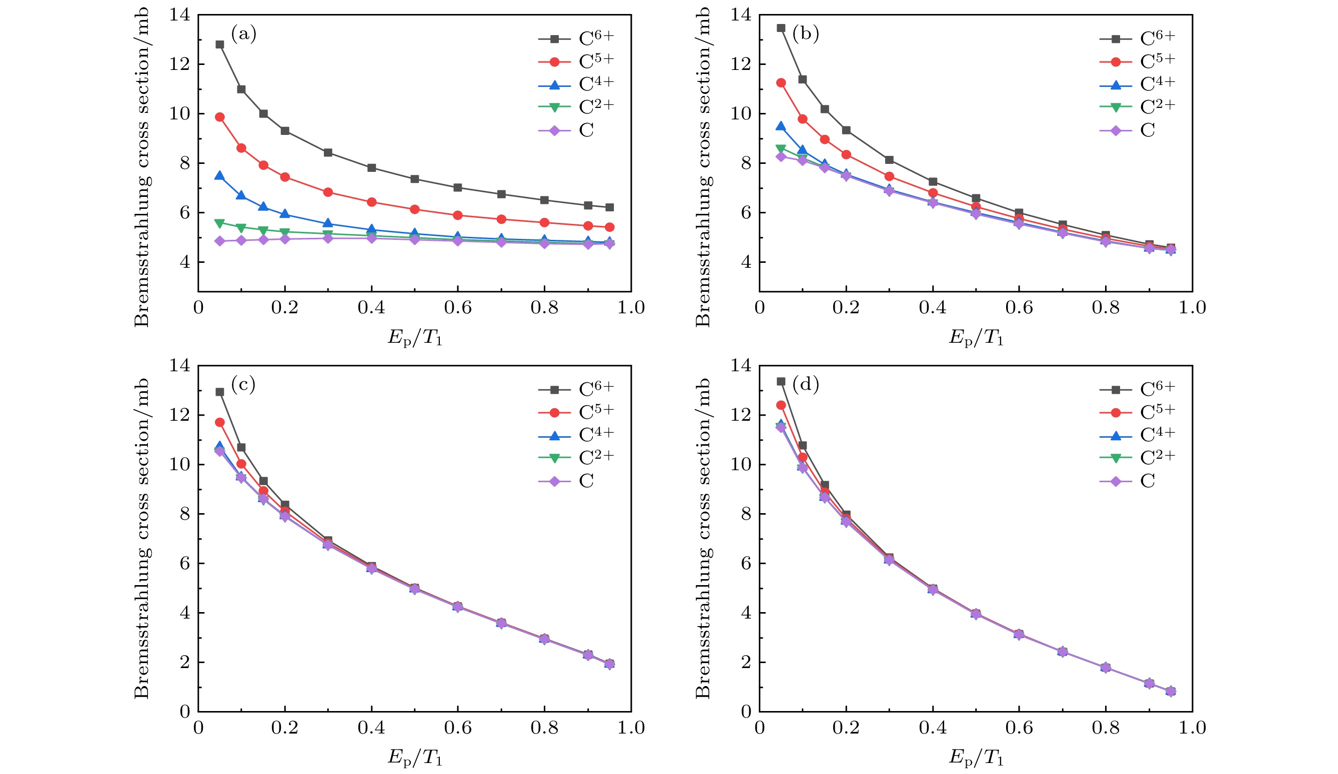
Bremsstrahlung, as an important radiation process in atomic physics, has significant applications in the fields of astrophysics, plasma physics, magnetic and inertial confinement fusion. In this work, the relativistic partial-wave expansion method is used to investigate the bremsstrahlung of neutral carbon atoms and different charged carbon ions scattered from intermediate- and high-energy relativistic electrons, with special attention paid to the electronic screening effect produced by the target electrons. The target wave function is obtained from the Dirac-Hartree-Fock self-consistent calculations, and the electron-atom scattering interaction potential is constructed in the central-field approximation. By solving the partial-wave Dirac equation, the continuum wave functions of the relativistic electron are obtained, from which the bremsstrahlung single and double differential cross sections can be calculated via the multipole free-free transitions between the incident and exit free electrons. The target electronic screening effects on the bremsstrahlung single and double differential cross sections are analyzed under a variety of conditions of incident electron energy and emitted photon energy. It is shown that the target electronic screening effect will significantly suppress the cross sections both at low incident energy and in the soft-photon region. Such a suppressing effect decreases with the incident electron energy and the emitted photon energy gradually increasing. Overall, the electronic screening effect has no significant influence on the shape function of bremsstrahlung.
Bremsstrahlung, as an important radiation process in atomic physics, has significant applications in the fields of astrophysics, plasma physics, magnetic and inertial confinement fusion. In this work, the relativistic partial-wave expansion method is used to investigate the bremsstrahlung of neutral carbon atoms and different charged carbon ions scattered from intermediate- and high-energy relativistic electrons, with special attention paid to the electronic screening effect produced by the target electrons. The target wave function is obtained from the Dirac-Hartree-Fock self-consistent calculations, and the electron-atom scattering interaction potential is constructed in the central-field approximation. By solving the partial-wave Dirac equation, the continuum wave functions of the relativistic electron are obtained, from which the bremsstrahlung single and double differential cross sections can be calculated via the multipole free-free transitions between the incident and exit free electrons. The target electronic screening effects on the bremsstrahlung single and double differential cross sections are analyzed under a variety of conditions of incident electron energy and emitted photon energy. It is shown that the target electronic screening effect will significantly suppress the cross sections both at low incident energy and in the soft-photon region. Such a suppressing effect decreases with the incident electron energy and the emitted photon energy gradually increasing. Overall, the electronic screening effect has no significant influence on the shape function of bremsstrahlung.
Analysis of dynamic response and screening effects on electron-ion energy relaxation in dense plasma
2025, 74(3): 035101.
doi: 10.7498/aps.74.20241588
Abstract:
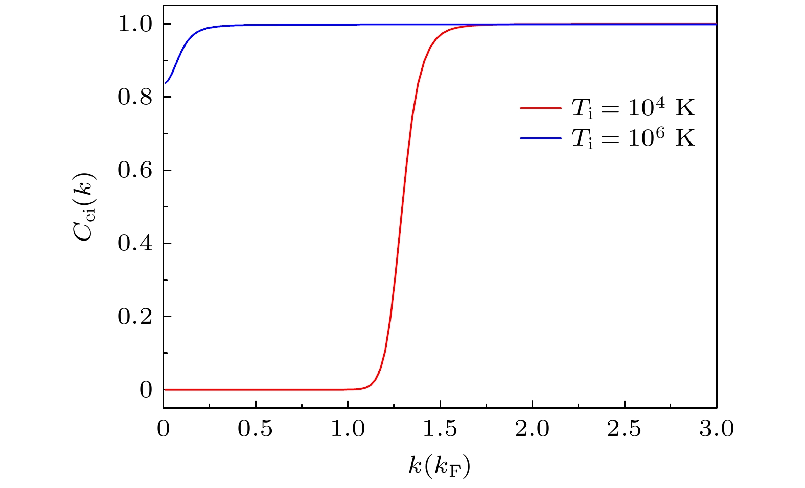
Accurate knowledge of electron-ion energy relaxation plays a vital role in non-equilibrium dense plasmas with widespread applications such as in inertial confinement fusion, in laboratory plasmas, and in astrophysics. We present a theoretical model for the energy transfer rate of electron-ion energy relaxation in dense plasmas, where the electron-ion coupled mode effect is taken into account. Based on the proposed model, other simplified models are also derived in the approximations of decoupling between electrons and ions, static limit, and long-wavelength limit. The influences of dynamic response and screening effects on electron-ion energy relaxation are analyzed in detail. Based on the models developed in the present work, the energy transfer rates are calculated under different plasma conditions and compared with each other. It is found that the behavior of electron screening in the random phase approximation is significantly different from the one in the long-wave approximation. This difference results in an important influence on the electron-ion energy relaxation and temperature equilibration in plasmas with temperature\begin{document}$T_{\rm{e}} < T_{\rm{i}}$\end{document} . The comparison of different models shows that the effects of dynamic response, such as dynamic screening and coupled-mode effect, have stronger influence on the electron-ion energy relaxation and temperature equilibration. In the case of strong degeneracy, the influence of dynamic response will result in an order of magnitude difference in the electron-ion energy transfer rate. In conclusion, it is crucial to properly consider the finite-wavelength screening of electrons and the coupling between electron and ion plasmonic excitations in order to determine the energy transfer rate of electron-ion energy relaxation in dense plasma.
Accurate knowledge of electron-ion energy relaxation plays a vital role in non-equilibrium dense plasmas with widespread applications such as in inertial confinement fusion, in laboratory plasmas, and in astrophysics. We present a theoretical model for the energy transfer rate of electron-ion energy relaxation in dense plasmas, where the electron-ion coupled mode effect is taken into account. Based on the proposed model, other simplified models are also derived in the approximations of decoupling between electrons and ions, static limit, and long-wavelength limit. The influences of dynamic response and screening effects on electron-ion energy relaxation are analyzed in detail. Based on the models developed in the present work, the energy transfer rates are calculated under different plasma conditions and compared with each other. It is found that the behavior of electron screening in the random phase approximation is significantly different from the one in the long-wave approximation. This difference results in an important influence on the electron-ion energy relaxation and temperature equilibration in plasmas with temperature
2025, 74(3): 038101.
doi: 10.7498/aps.74.20241590
Abstract:
With the continuous development of micro-scale exploration, micro/nano fabrication technologies, represented by photolithography and various etching processes, have been widely used for fabricating micro- and nanoscale structures and devices. These developments have driven innovation in fields such as integrated circuits, micro-nano optoelectronic devices, and micro-electromechanical systems, while also bringing new opportunities to fundamental scientific research, including the study of microscopic property regulation mechanisms. In recent years, as an emerging micro-nano fabrication technology, thermal scanning probe lithography (t-SPL) has shown promise and unique advantages in applications related to the fabrication and property regulation of two-dimensional materials, as well as the creation of nanoscale grayscale structures. By employing the fabrication methods such as material removal and modification, t-SPL can be used as an advanced technology for regulating two-dimensional material properties, or directly effectively regulating various properties of two-dimensional materials, thereby significantly improving the performance of two-dimensional material devices, or advancing fundamental scientific research on the micro/nano scale. This paper starts with the principles and characteristics of t-SPL, analyzes the recent research progress of the micro-nano fabrication and property modulation of two-dimensional materials, including several researches achieved by using t-SPL as the core fabrication methods, such as direct patterning, strain engineering, and reaction kinetics research of two-dimensional materials. Finally, the challenges in t-SPL technology are summarized, the corresponding possible solutions are proposed, and the promising applications of this technology are explored.
With the continuous development of micro-scale exploration, micro/nano fabrication technologies, represented by photolithography and various etching processes, have been widely used for fabricating micro- and nanoscale structures and devices. These developments have driven innovation in fields such as integrated circuits, micro-nano optoelectronic devices, and micro-electromechanical systems, while also bringing new opportunities to fundamental scientific research, including the study of microscopic property regulation mechanisms. In recent years, as an emerging micro-nano fabrication technology, thermal scanning probe lithography (t-SPL) has shown promise and unique advantages in applications related to the fabrication and property regulation of two-dimensional materials, as well as the creation of nanoscale grayscale structures. By employing the fabrication methods such as material removal and modification, t-SPL can be used as an advanced technology for regulating two-dimensional material properties, or directly effectively regulating various properties of two-dimensional materials, thereby significantly improving the performance of two-dimensional material devices, or advancing fundamental scientific research on the micro/nano scale. This paper starts with the principles and characteristics of t-SPL, analyzes the recent research progress of the micro-nano fabrication and property modulation of two-dimensional materials, including several researches achieved by using t-SPL as the core fabrication methods, such as direct patterning, strain engineering, and reaction kinetics research of two-dimensional materials. Finally, the challenges in t-SPL technology are summarized, the corresponding possible solutions are proposed, and the promising applications of this technology are explored.
2025, 74(3): 033701.
doi: 10.7498/aps.74.20241348
Abstract:
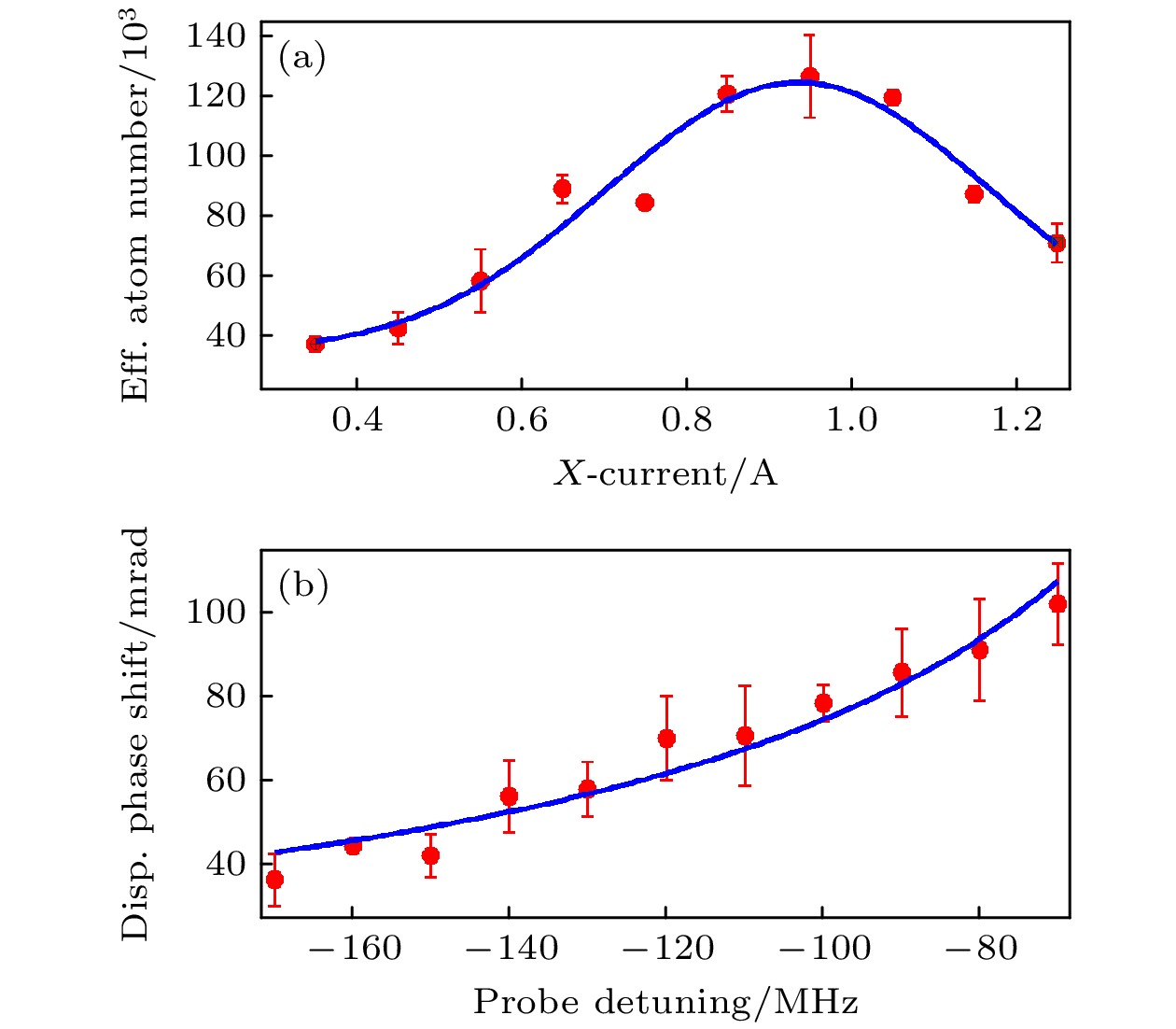
High-finesse optical cavity assisted quantum nondemolition (QND) measurement is an important method of generating high-gain spin or momentum squeezed states, which can enhance the sensitivity of atom interferometers beyond the standard quantum limit. Conventional two-mirror Fabry-Perot cavities have the drawback of a standing wave pattern, leading to inhomogeneous atom-light coupling and subsequent degradation of metrological gain. In this study, we present a novel method of achieving homogeneous quantum nondemolition measurement by using an optical ring cavity to generate momentum squeezed states in atom interferometers. We design and develop a high-finesse (\begin{document}$ {\cal{F}} = 2.4(1) \times 10^{4} $\end{document} ), high-vacuum compatible (\begin{document}$ 1\times 10^{-10} \;{\rm mbar}$\end{document} ) optical ring cavity. It utilizes the properties of traveling wave fields to address the issue of inhomogeneous atom-light interaction. A strontium cold atomic ensemble is prepared and coupled into the cavity mode; the nondemolition measurement of atom number is achieved by extracting the dispersive cavity phase shift caused by the passage of atoms through differential Pound-Drever-Hall measurement. Experimental results indicate that under a probe laser power value of 20 μW, the dispersive phase shift of the ring cavity is measured to be 40 mrad. The effective number of atoms coupled into the cavity mode is around \begin{document}$ 1 \times 10^{5} $\end{document} . The consistency between the ring cavity dispersive phase shift and QND measurement theory is verified by adjusting parameters such as matching the atomic position with the cavity mode and tuning the frequency of the probe laser. The optical ring cavity developed in this work provides an important method for generating spin or momentum squeezed states in atom interferometers. Therefore it holds promise for enhancing their sensitivity, and it is expected to be widely applied to cavity-enhanced quantum precision measurements.
High-finesse optical cavity assisted quantum nondemolition (QND) measurement is an important method of generating high-gain spin or momentum squeezed states, which can enhance the sensitivity of atom interferometers beyond the standard quantum limit. Conventional two-mirror Fabry-Perot cavities have the drawback of a standing wave pattern, leading to inhomogeneous atom-light coupling and subsequent degradation of metrological gain. In this study, we present a novel method of achieving homogeneous quantum nondemolition measurement by using an optical ring cavity to generate momentum squeezed states in atom interferometers. We design and develop a high-finesse (
2025, 74(3): 033101.
doi: 10.7498/aps.74.20241461
Abstract:
Reasonably designing high-capacity novel electrode materials is key to further enhancing the energy density of ion batteries. Graphene has been considered one of the most promising candidates for anodes in ion batteries. However, the weak interaction between pure graphene and the corresponding ions results in a low theoretical capacity. Based on this, in this work the first-principles calculation is used to assess the viability of two-dimensional Cu/NO2G, a single-atom copper-doped graphene anchored by nitrogen and oxygen, as an anode material for Li/Na/K-ion batteries. The results show that Cu/NO2G is stable in terms of thermodynamics and kinetics. It maintains good conductivity before and after the adsorption of Li/Na/K, with theoretical capacities of 1639.9 mAh/g for lithium, 2025.8 mAh/g for sodium, and 1157.6 mAh/g for potassium. In the embedding process of Li/Na/K, the lattice constant changes minimally (less than 1%), indicating excellent cycling stability. Additionally, the migration energy barriers for Li, Na, and K on the surface of Cu/NO2G are 0.339 eV, 0.209 eV, and 0.098 eV, respectively, demonstrating its superior rate performance. In summary, these results provide a solid theoretical foundation for rationally designing metal single-atom doped graphene as a novel anode material for alkali metal ion batteries. All the data presented in this paper are openly available athttps://doi.org/10.57760/sciencedb.j00213.00063 .
Reasonably designing high-capacity novel electrode materials is key to further enhancing the energy density of ion batteries. Graphene has been considered one of the most promising candidates for anodes in ion batteries. However, the weak interaction between pure graphene and the corresponding ions results in a low theoretical capacity. Based on this, in this work the first-principles calculation is used to assess the viability of two-dimensional Cu/NO2G, a single-atom copper-doped graphene anchored by nitrogen and oxygen, as an anode material for Li/Na/K-ion batteries. The results show that Cu/NO2G is stable in terms of thermodynamics and kinetics. It maintains good conductivity before and after the adsorption of Li/Na/K, with theoretical capacities of 1639.9 mAh/g for lithium, 2025.8 mAh/g for sodium, and 1157.6 mAh/g for potassium. In the embedding process of Li/Na/K, the lattice constant changes minimally (less than 1%), indicating excellent cycling stability. Additionally, the migration energy barriers for Li, Na, and K on the surface of Cu/NO2G are 0.339 eV, 0.209 eV, and 0.098 eV, respectively, demonstrating its superior rate performance. In summary, these results provide a solid theoretical foundation for rationally designing metal single-atom doped graphene as a novel anode material for alkali metal ion batteries. All the data presented in this paper are openly available at
2025, 74(3): 030701.
doi: 10.7498/aps.74.20241538
Abstract:
The ferromagnetic-mechanical system can be used as a magnetometer by monitoring its mechanical response to magnetic signals. This system can exceed the energy resolution limit (ERL) in terms of sensitivity, due to the ultra-high spin density and strong spin-lattice interactions inherent in ferromagnetic materials. A levitated ferromagnetic-mechanical system can further enhance its quality factor by eliminating clamp dissipation, thus achieving higher magnetic sensitivity. In this work, a magnetometer is proposed based on a magnetically levitated ferromagnetic torsional oscillator (FMTO), which transforms magnetic signals into torque to drive the oscillator. An optical method is then used to measure the torsional motion and extract the magnetic signal. The resonance frequency of this FMTO system can be controlled by modifying the bias field, thus providing enhanced flexibility and control. By analyzing the influence of fundamental noise, including thermal noise and quantum measurement noise (SQL), the relationship between the magnetic noise floor of the FMTO made of NdFeB and its radius is obtained. The SQL is much lower than both thermal noise and ERL, indicating that thermal noise is a dominant factor affecting the magnetic sensitivity of the FMTO. The magnetic sensitivity of the FMTO system at \begin{document}$4.2\ \rm{K}$\end{document} exceeds the ERL by three orders of magnitude, confirming the significant potential application of the FMTO system in high-precision magnetic measurements. Searching for exotic interactions is one of the most promising applications of ultra-high sensitivity magnetic sensors. It is typically achieved by measuring pseudo-magnetic fields. The accuracy of detecting exotic interactions depends on two main factors: the magnetometer’s sensitivity and the distance between the sensor and the source. The ERL presents challenges in meeting both of these factors simultaneously. Improving magnetic sensitivity typically increases the radius of the sensor, which in turn increases the distance between the sensor and the source, limiting the accuracy of detecting exotic interactions. Thus, ERL limits the accuracy of exotic interaction detection, while the FMTO, with its excellent sensitivity, is expected to significantly improve the detection of exotic interactions. If there is an exotic interaction, the BGO nuclei oscillating perpendicular to the paper will generate a pseudo-magnetic field along the vertical direction. This pseudo-magnetic field will induce torsional motion in the FMTO. The lower limit of the coupling constant for the new interaction is determined by measuring the torsional motion. Existing experiments have approached the ERL at Compton wavelengths on millimeter and micrometer scales. However, the FMTO system, with a bias field of 1 μT, exceeds the ERL by up to five orders of magnitude in sub-centimeter Compton wavelength and the existing experimental results by two to nine orders of magnitude. These results highlight the potential advantages of FMTO-based magnetometers in probing exotic interactions. All in all, in this work, a magnetometer configuration is proposed based on a levitated FMTO and its mechanical response, fundamental noise, magnetic performance, and applications in fundamental research are analyzed comprehensively.
2025, 74(3): 032101.
doi: 10.7498/aps.74.20240991
Abstract:
This work mainly investigates the properties of the low-energy quadrupole strength in Ni isotopes, especially the evolution of the pygmy quadrupole states with the increase of neutron number. And the effect of shell evolution on the pygmy resonance is also discussed in detail. Based on the Skyrme Hartree-Fock+Bardeen-Cooper-Schrieffer (HF+BCS) theory and the self-consistent quasiparticle random phase approximation (RPA) method, the evolution in the nickel isotope chain with the increase of neutron number is studied. And in the calculations, three effective Skyrme interactions, namely SGII, SLy5 and SKM*, and a density-dependent zero-range type force are adopted. The properties of the first 2+ state in Ni isotopes are studied. A good description on the experimental excited energies of the first 2+ states are achieved, and the SGII and SLy5 can well describe the reduced electric transition probabilities for\begin{document}$^{58-68}{\rm{Ni}}$\end{document} . It is found that the energy value of the first 2+ state for \begin{document}$^{68}{\rm{Ni}}$\end{document} and \begin{document}$^{78}{\rm{Ni}}$\end{document} are obviously high than those of other nuclei, reflecting the obvious shell effect. In addition to the first 2+ states, pygmy quadrupole states between 3 MeV and 5 MeV with relatively large electric transition probabilities are evidently found for \begin{document}$^{70-76}{\rm{Ni}}$\end{document} in the isoscalar quadruple strength distribution. The pygmy quadrupole states have the energy values decreasing with the number of neutrons increasing, but their strengths increase gradually. Therefore, they are more sensitive to the change in the shell structure. This is due to the fact that the gradual filling of the neutron level \begin{document}$1{{\mathrm{g}}}_{9/2}$\end{document} has a significant effect on the pygmy quadrupole states of \begin{document}$^{70-76}{\rm{Ni}}$\end{document} , and it leads to switching from proton-dominated excitations to neutron-dominated ones. The pygmy quadrupole states for \begin{document}$^{70-76}{\rm{Ni}}$\end{document} are sensitive to the proton and neutron shell gaps, so they can provide the information about the shell evolution in neutron-rich nuclei.
This work mainly investigates the properties of the low-energy quadrupole strength in Ni isotopes, especially the evolution of the pygmy quadrupole states with the increase of neutron number. And the effect of shell evolution on the pygmy resonance is also discussed in detail. Based on the Skyrme Hartree-Fock+Bardeen-Cooper-Schrieffer (HF+BCS) theory and the self-consistent quasiparticle random phase approximation (RPA) method, the evolution in the nickel isotope chain with the increase of neutron number is studied. And in the calculations, three effective Skyrme interactions, namely SGII, SLy5 and SKM*, and a density-dependent zero-range type force are adopted. The properties of the first 2+ state in Ni isotopes are studied. A good description on the experimental excited energies of the first 2+ states are achieved, and the SGII and SLy5 can well describe the reduced electric transition probabilities for
2025, 74(3): 034101.
doi: 10.7498/aps.74.20241516
Abstract:
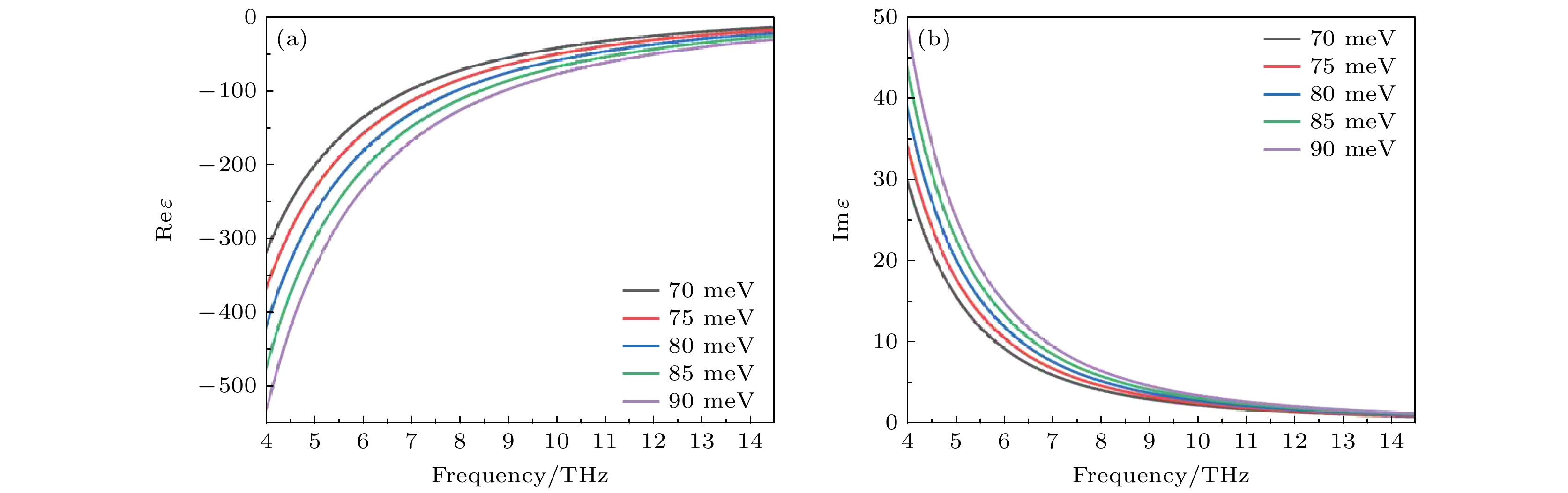
In this work, a tunable perfect absorber in the terahertz range is designed based on Dirac semimetal nanowires, featuring high sensitivity, quality factor, and dual functionality. The absorber achieves perfect absorptions across seven bands in a range of 0–14.5 THz: f1 = 5.032 THz (84.43%), f2 = 5.859 THz (96.23%), f3 = 7.674 THz (91.36%), f4 = 9.654 THz (99.02%), f5 = 11.656 THz (93.84%), f6 = 12.514 THz (98.47%), and f7 = 14.01 THz (97.32%). To ensure structural stability during design, the periodicity of the wire array structure is carefully considered. Verification of the absorber’s performance is conducted through the calculation of impedance matching. The analyses of the surface electric field and magnetic field at resonance frequency elucidate the underlying physical mechanisms governing the absorber’s characteristics. The values of quality factor (Q) for the seven resonance points are computed, with a maximum Q of 219.41. Further investigations by changing the external refractive index show that the maximum sensitivity value and the figure of merit (FOM) value are 5421.43 GHz/RIU and 35.204 RIU–1, respectively. Then, by discussing the influence of key parameters on the device, we conclude that the device can achieve the choice of dual fixed performance. Dynamic modulation capabilities are demonstrated by changing the Dirac semimetal’s Fermi energy. Additionally, by changing the incident angle of the external electromagnetic wave, it is found that the device has good stability in the medium frequency band and low frequency band, but it is greatly affected by the external incident angle in the high frequency band, thus necessitating careful consideration in practical applications. In conclusion, the proposed absorber holds significant promise for imaging, sensing, and detection applications, providing the valuable insights for designing optoelectronic devices.
In this work, a tunable perfect absorber in the terahertz range is designed based on Dirac semimetal nanowires, featuring high sensitivity, quality factor, and dual functionality. The absorber achieves perfect absorptions across seven bands in a range of 0–14.5 THz: f1 = 5.032 THz (84.43%), f2 = 5.859 THz (96.23%), f3 = 7.674 THz (91.36%), f4 = 9.654 THz (99.02%), f5 = 11.656 THz (93.84%), f6 = 12.514 THz (98.47%), and f7 = 14.01 THz (97.32%). To ensure structural stability during design, the periodicity of the wire array structure is carefully considered. Verification of the absorber’s performance is conducted through the calculation of impedance matching. The analyses of the surface electric field and magnetic field at resonance frequency elucidate the underlying physical mechanisms governing the absorber’s characteristics. The values of quality factor (Q) for the seven resonance points are computed, with a maximum Q of 219.41. Further investigations by changing the external refractive index show that the maximum sensitivity value and the figure of merit (FOM) value are 5421.43 GHz/RIU and 35.204 RIU–1, respectively. Then, by discussing the influence of key parameters on the device, we conclude that the device can achieve the choice of dual fixed performance. Dynamic modulation capabilities are demonstrated by changing the Dirac semimetal’s Fermi energy. Additionally, by changing the incident angle of the external electromagnetic wave, it is found that the device has good stability in the medium frequency band and low frequency band, but it is greatly affected by the external incident angle in the high frequency band, thus necessitating careful consideration in practical applications. In conclusion, the proposed absorber holds significant promise for imaging, sensing, and detection applications, providing the valuable insights for designing optoelectronic devices.
2025, 74(3): 034201.
doi: 10.7498/aps.74.20241349
Abstract:
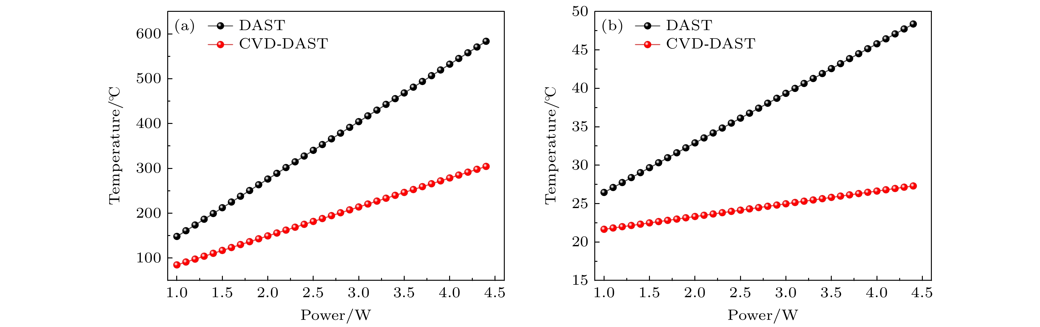
Terahertz (THz) waves have been widely investigated recently due to their ability to reflect the fingerprint characteristics of samples. As a promising method, THz technology has aroused great interest in various applications, especially biological imaging, environmental monitoring, non-destructive evaluation, spectroscopy and molecular analysis. In order to reveal the intramolecular vibration/rotation information of various compounds, the linewidths of their absorption lines are usually in a range of GHz or even MHz, and THz waves with wide tunability, narrow linewidth, high frequency accuracy, and high power stability are required. Currently, the linewidth with GHz level and low SNR at higher frequency still limit its further applications in reveal intramolecular information. In this work, the thermal distribution characteristics of DAST crystals based on diamond substrates under continuous laser pumping conditions are theoretically studied by COMSOL Multiphysics, and the effectiveness of diamond substrates in dissipating heat from DAST crystals is experimentally verified. Then, a narrow-linewidth and tunable organic-crystal continuous-wave terahertz source is demonstrated. Two narrow-linewidth continuous-wave (CW) fiber lasers are used as the pump sources for generating difference frequency. The terahertz wave is continuously tunable in a range of 1.1–3 THz. The maximum output power of 3.39 nW is obtained at 2.493 THz. The power fluctuation in 30 min is measured to be 2.19%. In addition, the generated THz wave has a high polarization extinction ratio of 9.44 dB. Using this CW-THz source for high-precision spectral detection of air with different humidity, the results correspond well with the gas absorption spectral lines in the Hitran database, proving that the CW-THz source has narrow linewidth, high frequency accuracy and stability. Therefore, it can promote the practical application of tunable CW-THz source, thus having good potential in THz high-precision spectroscopic detection and multispectral imaging.
Terahertz (THz) waves have been widely investigated recently due to their ability to reflect the fingerprint characteristics of samples. As a promising method, THz technology has aroused great interest in various applications, especially biological imaging, environmental monitoring, non-destructive evaluation, spectroscopy and molecular analysis. In order to reveal the intramolecular vibration/rotation information of various compounds, the linewidths of their absorption lines are usually in a range of GHz or even MHz, and THz waves with wide tunability, narrow linewidth, high frequency accuracy, and high power stability are required. Currently, the linewidth with GHz level and low SNR at higher frequency still limit its further applications in reveal intramolecular information. In this work, the thermal distribution characteristics of DAST crystals based on diamond substrates under continuous laser pumping conditions are theoretically studied by COMSOL Multiphysics, and the effectiveness of diamond substrates in dissipating heat from DAST crystals is experimentally verified. Then, a narrow-linewidth and tunable organic-crystal continuous-wave terahertz source is demonstrated. Two narrow-linewidth continuous-wave (CW) fiber lasers are used as the pump sources for generating difference frequency. The terahertz wave is continuously tunable in a range of 1.1–3 THz. The maximum output power of 3.39 nW is obtained at 2.493 THz. The power fluctuation in 30 min is measured to be 2.19%. In addition, the generated THz wave has a high polarization extinction ratio of 9.44 dB. Using this CW-THz source for high-precision spectral detection of air with different humidity, the results correspond well with the gas absorption spectral lines in the Hitran database, proving that the CW-THz source has narrow linewidth, high frequency accuracy and stability. Therefore, it can promote the practical application of tunable CW-THz source, thus having good potential in THz high-precision spectroscopic detection and multispectral imaging.
2025, 74(3): 034202.
doi: 10.7498/aps.74.20241319
Abstract:
The direct detection of gravitational waves has opened up a new window for understanding the universe and trailblazed multi-messenger astronomy. The frequency bands of gravitational waves generated by various astronomical events can cover a broadband range, and the detection mechanisms and schemes for gravitational waves in different frequency bands are different. For example, the ground-based gravitational wave detection has a frequency band ranging from 10 Hz to 10 kHz, which is based on Michelson interferometer. The space gravitational wave detection has a frequency band in a range of 0.1 mHz–1 Hz , which is based on space interferometer. The pulsar gravitational wave detection has a frequency band ranging from 1×10–9 Hz to 1×10–7 Hz, which is based on pulsar timing array. The next-generation ground-based gravitational wave project requires higher sensitivity to detect faint signals, necessitating an assessment system with minimal background noise to accurately measure the laser relative intensity noise. At present, the detection frequency band of ground-based gravitational wave detection devices in operation is mainly concentrated in a range of 10 Hz–10 kHz. To satisfy the detection sensitivity requirements, the laser relative intensity noise should be accurately evaluated and suppressed to ≤2.0×10–9 Hz–1/2 at 10 Hz and ≤4.0×10–7 Hz–1/2 at 10 kHz by photoelectric feedback. In this work, an evaluation and characterization system is constructed for ground-based gravitational wave band laser intensity noise, which is based on low noise and high sensitivity photoelectric detection device and combined with LabVIEW and MATLAB algorithm programming for instrument control and data processing. This low noise evaluation system is used to test the background noise of fast Fourier transform (FFT) analyzer SR760, preamplifier SR560, photoelectric detector electronic noise and intensity noise of homemade optical fiber amplifier, and then the data extraction and image processing are carried out by LabVIEW and MATLAB algorithms, and finally the ground-based gravitational wave frequency band system is evaluated. The experimental results show that the electronic noises for the preamplifier SR560 and the FFT analyzer SR760 are lower than 3.8×10–9 Hz–1/2@(10 Hz–10 kHz). The electronic noise for the photodetector is lower than\begin{document}$ 1.4 \times {10^{ - 8}}\;{\text{V}}/\sqrt {{\text{Hz}}} $\end{document} at 10 Hz and \begin{document}$ 8.1 \times {10^{ - 9}}\;{\text{V}}/\sqrt {{\text{Hz}}} $\end{document} at 10 kHz, and the accuracy of the system is calibrated and tested by the standard sinusoidal signal. Finally, the noise of commercial laser is evaluated and compared with the factory data to verify the accuracy of the evaluation system. Related research, device and system development provide hardware, software and theoretical basis for preparing high-power low-noise laser light source and gravitational wave detection, and also provide the theoretical basis and evaluation criteria for detecting the ground-based gravitational wave .
The direct detection of gravitational waves has opened up a new window for understanding the universe and trailblazed multi-messenger astronomy. The frequency bands of gravitational waves generated by various astronomical events can cover a broadband range, and the detection mechanisms and schemes for gravitational waves in different frequency bands are different. For example, the ground-based gravitational wave detection has a frequency band ranging from 10 Hz to 10 kHz, which is based on Michelson interferometer. The space gravitational wave detection has a frequency band in a range of 0.1 mHz–1 Hz , which is based on space interferometer. The pulsar gravitational wave detection has a frequency band ranging from 1×10–9 Hz to 1×10–7 Hz, which is based on pulsar timing array. The next-generation ground-based gravitational wave project requires higher sensitivity to detect faint signals, necessitating an assessment system with minimal background noise to accurately measure the laser relative intensity noise. At present, the detection frequency band of ground-based gravitational wave detection devices in operation is mainly concentrated in a range of 10 Hz–10 kHz. To satisfy the detection sensitivity requirements, the laser relative intensity noise should be accurately evaluated and suppressed to ≤2.0×10–9 Hz–1/2 at 10 Hz and ≤4.0×10–7 Hz–1/2 at 10 kHz by photoelectric feedback. In this work, an evaluation and characterization system is constructed for ground-based gravitational wave band laser intensity noise, which is based on low noise and high sensitivity photoelectric detection device and combined with LabVIEW and MATLAB algorithm programming for instrument control and data processing. This low noise evaluation system is used to test the background noise of fast Fourier transform (FFT) analyzer SR760, preamplifier SR560, photoelectric detector electronic noise and intensity noise of homemade optical fiber amplifier, and then the data extraction and image processing are carried out by LabVIEW and MATLAB algorithms, and finally the ground-based gravitational wave frequency band system is evaluated. The experimental results show that the electronic noises for the preamplifier SR560 and the FFT analyzer SR760 are lower than 3.8×10–9 Hz–1/2@(10 Hz–10 kHz). The electronic noise for the photodetector is lower than
2025, 74(3): 034203.
doi: 10.7498/aps.74.20241329
Abstract:
The Brillouin sensing technology in multimode optical fibers has received much attention due to its ability to simultaneously transmit multiple parameters, such as temperature and strain, and its higher information capacity and transmission efficiency. Additionally, lithium niobate possesses excellent electro-optical properties, so it shows potential application value in the sensing field and is expected to provide higher sensitivity and precision. Owing to the maturity of manufacturing processes, current research on fiber optic sensing focuses on silicon-based materials, however, there are fewer studies of fibers in which lithium niobate is used as the core material, thereby underestimating its application potential. In this work, the Brillouin scattering effects in lithium niobate optical fibers are investigated numerically. We simulate the intra-mode backward Brillouin scattering characteristics of the first five orders of LP modes in micrometer-sized lithium niobate fibers by means of finite-element simulation to explore its intrinsic law. First of all, the relationship between the Brillouin frequency shift and gain for the first five optical mode interactions is analyzed in detail. The results show that in the case of intra-mode backward stimulated Brillouin scattering, the peak of Brillouin frequency shift exhibits a significant redshift ranging from 20.63 GHz to 18.747 GHz. The Brillouin gain coefficient decreases from 13.503 m–1·W–1 to 4.0115 m–1·W–1 with the increase of mode order, in which mode LP01 having the strongest gain intra modal interaction means the best sensing sensitivity. In addition, compared with ordinary silica fiber, the lithium niobate fiber has Brillouin gain increased by about 5 orders of magnitude, which means that fibers with lithium niobate as the core can have higher sensing sensitivity. In addition, it is found that although there are significant differences in the Brillouin frequency shift values of each optical mode under intra modal interactions, the sound velocity of their corresponding acoustic modes is always consistent under the same acoustic mode. In data processing, it is noticed that this is because as the mode order changes, the corresponding effective refractive index decreases to ensure that each acoustic mode of the material always has the same sound velocity. These findings provide a foundation for further studying the lithium niobate fiber sensors with electro-optic properties.
2025, 74(3): 034204.
doi: 10.7498/aps.74.20240854
Abstract:
Nonlinear difference frequency generation (DFG) is a key mechanism for realizing terahertz (THz) sources. Utilization of DFG within micro- and nano-structures can circumvent the phase-matching limitations while supporting device miniaturization and integrability, thus the DFG is made a significant area of research. Enhancing the local electric fields through resonant modes in micro- and nano-structures has become a promising approach to achieving efficient and tunable THz sources across a broad wavelength range. In this work, the mechanism of DFG in high-Q-factor grating-waveguide structures for efficiently tuning THz radiation over a wide spectral range is investigated by using numerical simulations based on the finite element method (COMSOL Multiphysics). Theoretical analysis reveals that modulating the positional perturbation of one of the adjacent gratings effectively doubles the grating period, causing Brillouin zone to fold. This folding shifts the dispersion curve of the guided mode (GM) within the waveguide layer above the light cone, forming a guided mode resonance (GMR) with an ultra-high Q-factor, thereby significantly enhancing THz generation in a broad spectral range. Taking a cadmium sulfide (CdS) grating-waveguide structure for example, numerical simulations demonstrate that the THz conversion efficiency reaches an order of 10–8 W–1 when both fundamental frequency beams have an intensity of 100 kW/cm2, which is 109 times higher than the conversion efficiency of a CdS film of the same thickness. Moreover, the fundamental frequency resonance wavelength can be widely tuned by adjusting the incident angle. High-Q-factor resonance modes enable various fundamental frequency combinations by changing the incident angles of the two fundamental frequency beams, facilitating the generation of THz waves with arbitrary frequencies. This approach ultimately enables a highly efficient and tunable THz source in a wide spectral range, providing valuable insights for generating THz sources on micro- and nanophotonic platforms.
Nonlinear difference frequency generation (DFG) is a key mechanism for realizing terahertz (THz) sources. Utilization of DFG within micro- and nano-structures can circumvent the phase-matching limitations while supporting device miniaturization and integrability, thus the DFG is made a significant area of research. Enhancing the local electric fields through resonant modes in micro- and nano-structures has become a promising approach to achieving efficient and tunable THz sources across a broad wavelength range. In this work, the mechanism of DFG in high-Q-factor grating-waveguide structures for efficiently tuning THz radiation over a wide spectral range is investigated by using numerical simulations based on the finite element method (COMSOL Multiphysics). Theoretical analysis reveals that modulating the positional perturbation of one of the adjacent gratings effectively doubles the grating period, causing Brillouin zone to fold. This folding shifts the dispersion curve of the guided mode (GM) within the waveguide layer above the light cone, forming a guided mode resonance (GMR) with an ultra-high Q-factor, thereby significantly enhancing THz generation in a broad spectral range. Taking a cadmium sulfide (CdS) grating-waveguide structure for example, numerical simulations demonstrate that the THz conversion efficiency reaches an order of 10–8 W–1 when both fundamental frequency beams have an intensity of 100 kW/cm2, which is 109 times higher than the conversion efficiency of a CdS film of the same thickness. Moreover, the fundamental frequency resonance wavelength can be widely tuned by adjusting the incident angle. High-Q-factor resonance modes enable various fundamental frequency combinations by changing the incident angles of the two fundamental frequency beams, facilitating the generation of THz waves with arbitrary frequencies. This approach ultimately enables a highly efficient and tunable THz source in a wide spectral range, providing valuable insights for generating THz sources on micro- and nanophotonic platforms.
2025, 74(3): 036101.
doi: 10.7498/aps.74.20240980
Abstract:
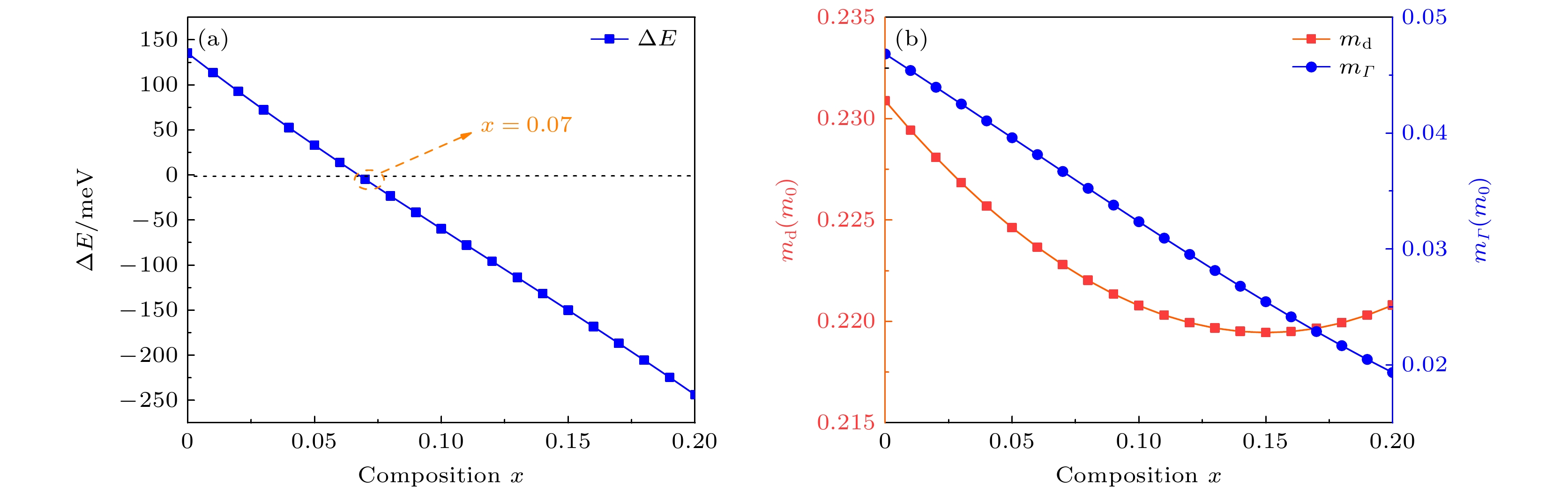
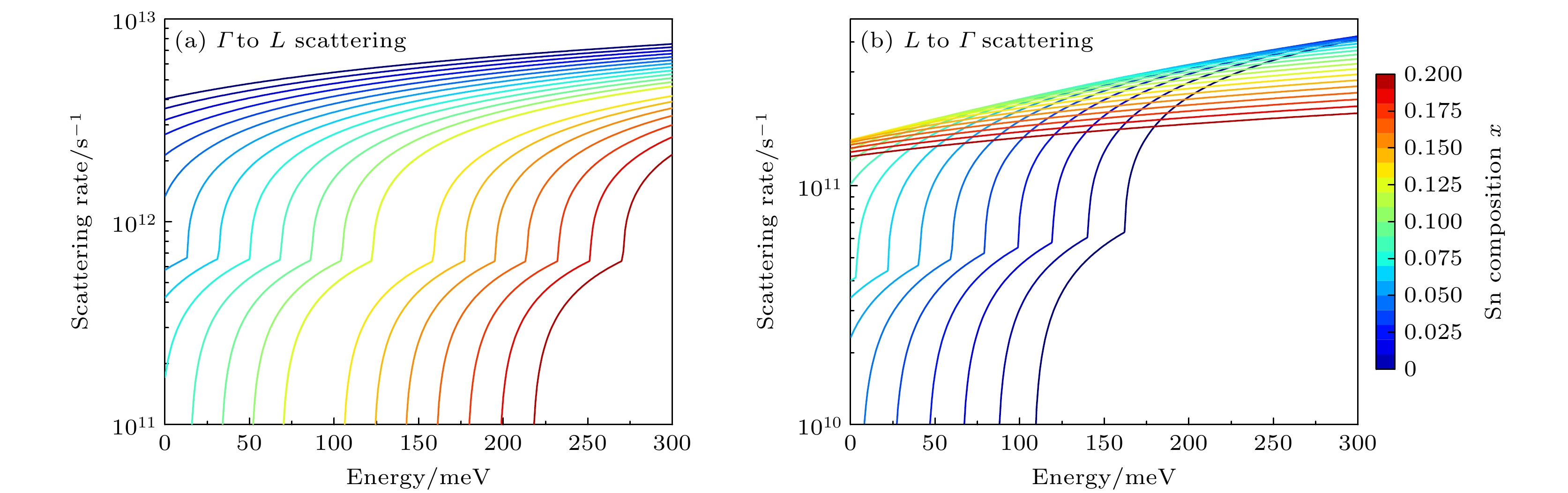
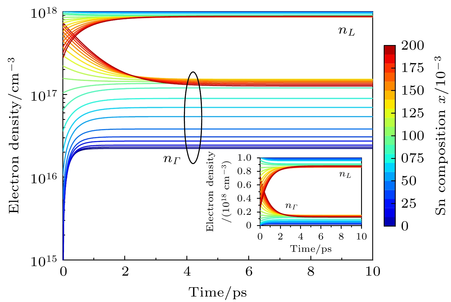
Ge1–x Snx alloys have aroused great interest in silicon photonics because of their compatiblity with complementary metal-oxide-semiconductor (CMOS) technology. As a result, they are considered potential candidate materials. Owing to the significant differences in effective mass within the valleys, the unique dual-valley structure of Γ valley and L valley in energy can improve the optoelectronic properties of Ge1–x Snx alloys. Therefore, inter-valley scattering mechanisms between the Γ and L valley in Ge1–x Snx alloys are crucial for understanding the electronic transports and optical properties of Ge1–x Snx materials. This work focuses on the theoretical analysis of inter-valley scattering mechanisms between Γ and L valley, and hence on the electron transmission dynamics in Ge1–x Snx alloys based on the phenomenological theory model. Firstly, the 30th-order k ·p perturbation theory is introduced to reproduce the band structure of Ge1–x Snx. The results show that the effective mass of L valley is always about an order of magnitude higher than that of Γ valley, which will significantly influence the electron distributions between Γ and L valley. Secondly, the scattering mechanism is modeled in Ge1–x Snx alloys. The results indicate that scattering rate RΓL is about an order of magnitude higher than RLΓ, while RΓL decreases with the increase of Sn composition and tends to saturate when Sn component is greater than 0.1. And RLΓ is almost independent of the Sn component. Thirdly, kinetic processes of carriers between Γ and L valley are proposed to analyze the electron transmission dynamics in Ge1–x Snx alloys. Numerical results indicate that the electron population ratio for Γ-valley increases and then tends to saturation with the increase of Sn composition, and is independent of the injected electron concentration. The model without the scattering mechanism indicates that the electron population ratio for Γ-valley in indirect-Ge1–x Snx alloys is independent of the injected electron concentration, while the electron population ratio for Γ-valley in direct-Ge1–x Snx alloys is dependent on the injected electron concentration, and the lower the electron concentration, the greater the electron population ratio for Γ-valley is. The results open a new way of understanding the mechanisms of electron mobility, electrical transport, and photoelectric conversion in Ge1–x Snx alloys, and can provide theoretical value for designing Ge1–x Snx alloys in the fields of microelectronics and optoelectronics.
2025, 74(3): 036201.
doi: 10.7498/aps.74.20241030
Abstract:
In nanosystems, the metallic nanowires are subjected to significant and cyclic bending deformation upon being integrated into stretchable and flexible nanoelectronic devices. The reliability and service life of these nanodevices depend fundamentally on the bending mechanical properties of the metallic nanowires that serve as the critical components. An in-depth understanding of the deformation behavior of the metallic nanowires under bending is not only essential but also imperative for designing and manufacturing high-performance nanodevices. To explore the mechanism of the bending plasticity of the metallic nanowire, the bending deformations of B2-FeAl alloy nanowires with various crystallographic orientations, sizes and cross-sectional shapes are investigated by using molecular dynamics simulation. The results show that the bending behavior of the B2-FeAl alloy nanowires is dependent on neither their size nor cross-sectional shape of the nanowire, but it is highly sensitive to its axial orientation. Specifically, both\begin{document}$\left\langle {111} \right\rangle $\end{document} - and \begin{document}$\left\langle {110} \right\rangle $\end{document} -oriented nanowires are generated through dislocation nucleation during bending, with the \begin{document}$\left\langle {111} \right\rangle $\end{document} -oriented nanowires failling shortly after yielding due to brittle fracture, while the \begin{document}$\left\langle {110} \right\rangle $\end{document} -oriented nanowires exhibit good ductility due to uniform plastic flow caused by continuous nucleation and stable motion of dislocations. Unlike the aforementioned two nanowires, the bending plasticity of the \begin{document}$\left\langle {001} \right\rangle $\end{document} -oriented nanowire is mediated by the stress-induced transition from B2 phase to L10 phase, which leads to excellent ductility and higher fracture strain. The orientation dependence of bending deformation can be understood by considering the Schmid factor. Moreover, the plastically bent nanowires with \begin{document}$\left\langle {110} \right\rangle $\end{document} and \begin{document}$\left\langle {001} \right\rangle $\end{document} orientation are able to recover to their original shape upon unloading, particularly, the plastic deformation in the \begin{document}$\left\langle {001} \right\rangle $\end{document} -oriented nanowire is recoverable completely via reverse transformation from L10 to B2 structures, exhibiting superelasticity. This work elucidates the deformation mechanism of the B2-FeAl alloy nanowires subjected to bending loads, which provides a crucial insight for designing and optimizing flexible and stretchable nanodevices based on metallic nanowires.
In nanosystems, the metallic nanowires are subjected to significant and cyclic bending deformation upon being integrated into stretchable and flexible nanoelectronic devices. The reliability and service life of these nanodevices depend fundamentally on the bending mechanical properties of the metallic nanowires that serve as the critical components. An in-depth understanding of the deformation behavior of the metallic nanowires under bending is not only essential but also imperative for designing and manufacturing high-performance nanodevices. To explore the mechanism of the bending plasticity of the metallic nanowire, the bending deformations of B2-FeAl alloy nanowires with various crystallographic orientations, sizes and cross-sectional shapes are investigated by using molecular dynamics simulation. The results show that the bending behavior of the B2-FeAl alloy nanowires is dependent on neither their size nor cross-sectional shape of the nanowire, but it is highly sensitive to its axial orientation. Specifically, both
2025, 74(3): 037501.
doi: 10.7498/aps.74.20241390
Abstract:
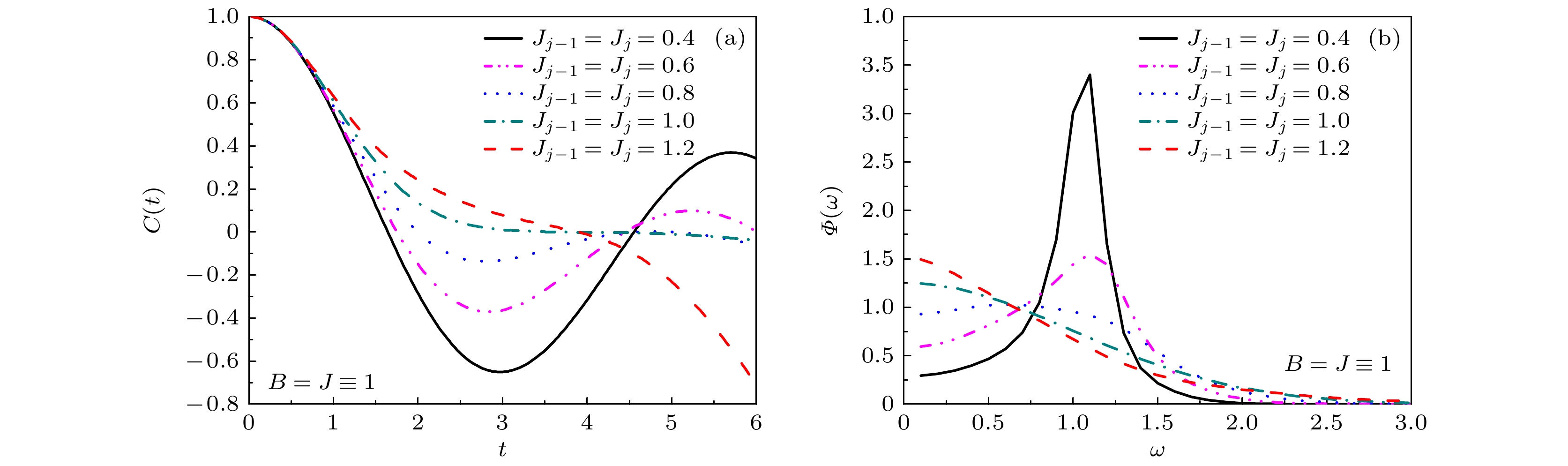
It is of considerable theoretical significance to study the effects of impurity on spin dynamics of quantum spin systems. In this paper, the dynamical properties of the one-dimensional quantum Ising model with symmetric and asymmetric link-impurity are investigated by the recursion method, respectively. The autocorrelation function \begin{document}$C\left( t \right) = \overline {\left\langle {\sigma _j^x\left( t \right)\sigma _j^x\left( 0 \right)} \right\rangle } $\end{document} and the associated spectral density \begin{document}$\varPhi \left( \omega \right) = \displaystyle\int_{ - \infty }^{ + \infty } {{\rm d}t{{\rm e}^{{\rm i}\omega t}}C\left( t \right)} $\end{document} are calculated. The Hamiltonian of the Ising model with link-impurity can be written as \begin{document}$\qquad\qquad\qquad\qquad\qquad H = - \displaystyle\frac{1}{2}({J_{j - 1}}\sigma _{j - 1}^x\sigma _j^x + {J_j}\sigma _j^x\sigma _{j + 1}^x) - \displaystyle\frac{1}{2}J\sum\limits_{i \ne j,j - 1}^N {\sigma _i^x\sigma _{i + 1}^x} - \frac{1}{2}B\sum\limits_i^N {\sigma _i^z} . $\end{document} where \begin{document}$J$\end{document} is the nearest-neighbor exchange coupling of the main spin chain, \begin{document}$ B $\end{document} denotes the external transverse magnetic field, \begin{document}$\sigma _i^\alpha \left( {\alpha = x,y,z} \right)$\end{document} are Pauli matrices at site \begin{document}$ i $\end{document} . The constant 1/2 is introduced for the convenience of theoretical deduction, and N is the number of spins. The so-called link-impurity \begin{document}$ {J_j} $\end{document} (\begin{document}$ {J_{j - 1}} $\end{document} ) is randomly introduced, which denotes the exchange coupling between the j th spin and the (j + 1)th spin (the (j – 1)th spin). The symmetric link-impurity and asymmetric link-impurity correspond to the case of \begin{document}$ {J_{j - 1}} = {J_j} $\end{document} and \begin{document}$ {J_{j - 1}} \ne {J_j} $\end{document} , respectively. The periodic boundary conditions are assumed in the theoretical calculation.After introducing the link-impurity, the original competition between \begin{document}$ B $\end{document} and \begin{document}$J$\end{document} in the pure Ising model is broken. The dynamic behavior of the system depends on synergistic effect of multiple factors, such as the mean spin coupling \begin{document}$ \bar J $\end{document} between \begin{document}$J$\end{document} and the link-impurity, the asymmetry degree between \begin{document}$ {J_{j - 1}} $\end{document} and \begin{document}$ {J_j} $\end{document} , and the strength of the external magnetic field. In calculation, the exchange couplings of the main spin chain are set to \begin{document}$J \equiv 1$\end{document} to fix the energy scale. We first consider the effects of symmetric link-impurity. The reference values can be set to \begin{document}$ {J_{j - 1}} = {J_j} \lt J $\end{document} (e.g. 0.4, 0.6 or 0.8) or \begin{document}$ {J_{j - 1}} = {J_j} \gt J $\end{document} (e.g. 1.2, 1.6, 2.0), which are called weak or strong impurity coupling. When the magnetic field \begin{document}$ B \geqslant J $\end{document} (e.g., \begin{document}$ B = 1 $\end{document} , 1.5 or 2.0), it is found that the dynamic behavior of the system exhibits a crossover from a collective-mode behavior to a central-peak behavior as the impurity strength \begin{document}$ {J_{j - 1}} = {J_j} $\end{document} increases. Interestingly, for \begin{document}$ B \lt J $\end{document} (e.g. \begin{document}$ B = 0.4 $\end{document} or 0.7), there are two crossovers that are a collective-mode-like behavior to a double-peak behavior, then to a central-peak behavior as \begin{document}$ {J_{j - 1}} = {J_j} $\end{document} increases. For the case of asymmetric link-impurity, the impurity configuration is more complex. Using the cooperation between \begin{document}$ {J_{j - 1}} $\end{document} and \begin{document}$ {J_j} $\end{document} , more freedoms of regulation can be provided and the dynamical properties are more abundant. For the case of \begin{document}$ B \leqslant J $\end{document} (e.g. \begin{document}$ B = 0.5 $\end{document} , 1.0), the system tends to exhibit a collective-mode behavior when the mean spin coupling \begin{document}$ \bar J $\end{document} is weak, and a central-peak behavior when \begin{document}$ \bar J $\end{document} are strong. However, when the asymmetry between \begin{document}$ {J_{j - 1}} $\end{document} and \begin{document}$ {J_j} $\end{document} is obvious, the system tends to exhibit a double- or multi-peak behavior. For the case of \begin{document}$ B \gt J $\end{document} (e.g. \begin{document}$ B = 1.5 $\end{document} , 2.0), when \begin{document}$ \bar J $\end{document} is weak or the asymmetry between \begin{document}$ {J_{j - 1}} $\end{document} and \begin{document}$ {J_j} $\end{document} is not obvious, the system tends to exhibit a collective-mode behavior. When \begin{document}$ \bar J $\end{document} is strong, it tends to show a central-peak behavior. However, when the asymmetry between \begin{document}$ {J_{j - 1}} $\end{document} and \begin{document}$ {J_j} $\end{document} is evident, the bispectral feature (two spectral peaks appear at \begin{document}$ {\omega _1} \ne 0 $\end{document} and \begin{document}$ {\omega _2} \ne 0 $\end{document} ) dominates the dynamics. Under the regulating effect of link-impurities, the crossover between different dynamic behaviors can be easily realized, and it is easier to stimulate new dynamic modes, such as the double-peak behavior, the collective-mode-like behavior or bispectral feature one. The results in this work indicate that using link-impurity to manipulate the dynamics of quantum spin systems may be a new try.
2025, 74(3): 037701.
doi: 10.7498/aps.74.20241643
Abstract:
The five linear primary and secondary alcohols, i.e. n-propanol, isopropanol, n-butanol, 2-butanol and 2-pentanol, have similar chain lengths and slightly different structures. In this work, dielectric spectroscopy is used to investigate the properties of monohydroxy alcohols. The dielectric spectra of isopropanol and n-butanol show an abnormal change. i.e. the relaxation peaks with the highest strength gradually increases with temperature rising in a range of about 145–175 K. The analyses indicate that the abnormal variation originates from that of the Debye dielectric relaxation strength (DDRS) in the monohydroxy alcohols at above temperatures. According to the theoretical model of the DDRS for the monohydroxy alcohol, the abnormal variation is believed to be the result of the combined effects of decrease and increase of the DDRS caused by temperature, and the transformation of the structure of the hydrogen bonding molecular chain caused by the variation of the mobility of molecules. By comparing the relaxation times of the five monohydroxy alcohols, it is found that the conditions should be more stringent to cause the above-mentioned abnormal variation. In addition, the results also show that strength parameter of Debye processes, intrinsic vibration frequency of the relaxation units and their activation energy in the high-temperature limit in secondary alcohols also rise with the increase of the number of carbon atoms, similar to the scenario in the case of primary alcohols. These results can not only provide a new breakthrough point for the investigation of exotic properties in monohydroxy alcohols but also give a reference to explore the effect of molecular chain length on their dynamics.
The five linear primary and secondary alcohols, i.e. n-propanol, isopropanol, n-butanol, 2-butanol and 2-pentanol, have similar chain lengths and slightly different structures. In this work, dielectric spectroscopy is used to investigate the properties of monohydroxy alcohols. The dielectric spectra of isopropanol and n-butanol show an abnormal change. i.e. the relaxation peaks with the highest strength gradually increases with temperature rising in a range of about 145–175 K. The analyses indicate that the abnormal variation originates from that of the Debye dielectric relaxation strength (DDRS) in the monohydroxy alcohols at above temperatures. According to the theoretical model of the DDRS for the monohydroxy alcohol, the abnormal variation is believed to be the result of the combined effects of decrease and increase of the DDRS caused by temperature, and the transformation of the structure of the hydrogen bonding molecular chain caused by the variation of the mobility of molecules. By comparing the relaxation times of the five monohydroxy alcohols, it is found that the conditions should be more stringent to cause the above-mentioned abnormal variation. In addition, the results also show that strength parameter of Debye processes, intrinsic vibration frequency of the relaxation units and their activation energy in the high-temperature limit in secondary alcohols also rise with the increase of the number of carbon atoms, similar to the scenario in the case of primary alcohols. These results can not only provide a new breakthrough point for the investigation of exotic properties in monohydroxy alcohols but also give a reference to explore the effect of molecular chain length on their dynamics.
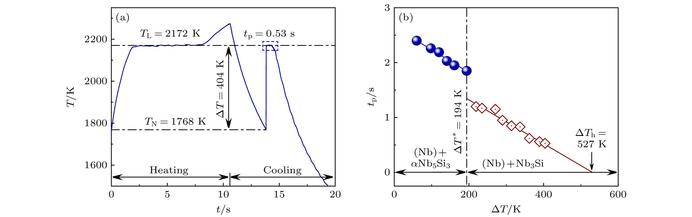
2025, 74(3): 038102.
doi: 10.7498/aps.74.20241194
Abstract:
The phase selection mechanism and eutectic growth kinetics of Nb81.7Si17.3Hf alloy are investigated by electrostatic levitation technique. The maximum undercooling of this alloy reaches 404 K (0.19TL). By analyzing the cooling curves, its hypercooling limit is obtained to be 527 K (0.24TL). A critical undercooling of 194 K is determined for the transition of solidification path. Below this undercooling threshold, (Nb) phase firstly nucleates and grows into primary dendrites, resulting in the enrichment of Si and Hf in the residual melt, which is conducive to the formation of the (Nb)+αNb5Si3 eutectics. Therefore, (Nb)+αNb5Si3 lamellar eutectics form in interdendritic space. With the increase of undercooling, the growth velocity of primary (Nb) dendritic follows a power function, while the eutectic growth velocity increases slowly. The maximum values of (Nb) dendritic reaches 89.4 mm/s. A modified LKT/BCT model is used to calculate the growth velocity of (Nb) dendrites. The results are in good agreement with the experimental values, indicating that after the LKT model is modified slightly, it can be used to describe the rapid dendrite growth behavior of the (Nb) phase in the Nb81.7Si17.3Hf alloy melt. Meanwhile, the lamellar spacing of (Nb)+αNb5Si3 eutectics notably decreases to 360 nm at 194 K undercooling. Above the critical threshold, the primary (Nb) dendrites disappear, whereas (Nb) phase and Nb3Si phase nucleate independently in the undercooled liquid and grow into anomalous eutectics. The growth velocity of anomalous eutectic exhibits a power function relationship with the increase of undercooling, with a maximum value of 115.9 mm/s. The interphase spacing of (Nb)+Nb3Si anomalous eutectics is larger than that of (Nb)+αNb5Si3 lamellar eutectics. Owing to the formation of nanosized eutectics and the increase of volume fraction of (Nb) phase, the alloy fracture toughness at 194 K reaches 21.9 MPa·m1/2, which is 3.4 times as large as that under small undercooling condition.
The phase selection mechanism and eutectic growth kinetics of Nb81.7Si17.3Hf alloy are investigated by electrostatic levitation technique. The maximum undercooling of this alloy reaches 404 K (0.19TL). By analyzing the cooling curves, its hypercooling limit is obtained to be 527 K (0.24TL). A critical undercooling of 194 K is determined for the transition of solidification path. Below this undercooling threshold, (Nb) phase firstly nucleates and grows into primary dendrites, resulting in the enrichment of Si and Hf in the residual melt, which is conducive to the formation of the (Nb)+αNb5Si3 eutectics. Therefore, (Nb)+αNb5Si3 lamellar eutectics form in interdendritic space. With the increase of undercooling, the growth velocity of primary (Nb) dendritic follows a power function, while the eutectic growth velocity increases slowly. The maximum values of (Nb) dendritic reaches 89.4 mm/s. A modified LKT/BCT model is used to calculate the growth velocity of (Nb) dendrites. The results are in good agreement with the experimental values, indicating that after the LKT model is modified slightly, it can be used to describe the rapid dendrite growth behavior of the (Nb) phase in the Nb81.7Si17.3Hf alloy melt. Meanwhile, the lamellar spacing of (Nb)+αNb5Si3 eutectics notably decreases to 360 nm at 194 K undercooling. Above the critical threshold, the primary (Nb) dendrites disappear, whereas (Nb) phase and Nb3Si phase nucleate independently in the undercooled liquid and grow into anomalous eutectics. The growth velocity of anomalous eutectic exhibits a power function relationship with the increase of undercooling, with a maximum value of 115.9 mm/s. The interphase spacing of (Nb)+Nb3Si anomalous eutectics is larger than that of (Nb)+αNb5Si3 lamellar eutectics. Owing to the formation of nanosized eutectics and the increase of volume fraction of (Nb) phase, the alloy fracture toughness at 194 K reaches 21.9 MPa·m1/2, which is 3.4 times as large as that under small undercooling condition.
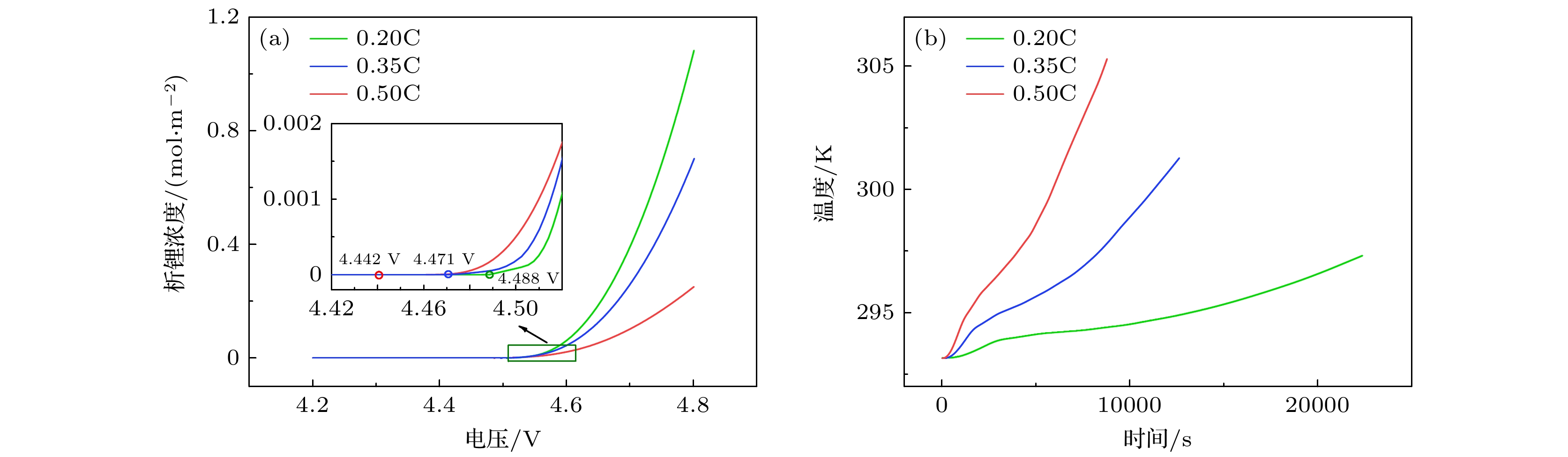
Electrochemical-thermal-mechanical overcharge model on a scale of particle for lithium-ion batteries
2025, 74(3): 038201.
doi: 10.7498/aps.74.20240984
Abstract:
During overcharging of lithium-ion batteries, lithium plating can occur on the anode surface when the maximum lithium intercalation concentration is exceeded, while the cathode is in a lithium-poor state, which can result in shortened battery lifespan and safety. In this work, the geometric structure of the positive electrode particles is designed based on the tomography data, while the negative electrode particles are represented by spheres with different sizes. The homogenization method is used, with the carbon filler, binder and electrolyte regarded as a single porous conductive adhesive domain. Based on the main mechanism of lithium-ion battery overcharge, a coupled three-dimensional electrochemical-mechanical-thermal overcharge model on a particle scale is developed for NCM cathode and graphite anode. The coupled mathematical model consists of four parts, namely the electrochemical model, the lithium plating model, the thermal model and the stress-strain model. In terms of lithium precipitation, the particle radius parameter and charging rates are investigated. The results show that the lithium plating concentration of the particles near the separator is higher, following the “principle of proximity” , namely the sequence of lithium deintercalation is related to the migration path. The surface of anode particles with small particle size is more prone to lithium precipitation due to the high maximum lithium ion concentration on the surface of the particles, the low surface lithium precipitation overpotential, and the high average Von Mises stress. At high charging rate, fast charge transfer rate and ion diffusion rate result in a low voltage at the anode, triggering off lithium precipitation. At a low rate, polarization and low temperature can lead to the precipitation of more lithium on the surface of the anode particles. In terms of stress, the spatial distribution between particles and thermal effects are investigated. The ratio of the distance from the contact surface to the center of the particle to the particle radius is calculated and defined as the contact depth (\begin{document}$ J_{\rm r} $\end{document} ), in order to better describe the law of particle contact stress. It is shown that the contact depth between particles is inversely proportional to the stress on the contact area. When the heat generation effect is considered, the temperature of the battery rises faster with the increase of the charging rate. The electrochemical parameters related to temperature and the lithium concentration diffusion gradient increase significantly, and the influence of temperature on the particle stress is also more significant. The relevant results can provide theoretical basis and guidance for designing battery and optimizing charge strategies.
During overcharging of lithium-ion batteries, lithium plating can occur on the anode surface when the maximum lithium intercalation concentration is exceeded, while the cathode is in a lithium-poor state, which can result in shortened battery lifespan and safety. In this work, the geometric structure of the positive electrode particles is designed based on the tomography data, while the negative electrode particles are represented by spheres with different sizes. The homogenization method is used, with the carbon filler, binder and electrolyte regarded as a single porous conductive adhesive domain. Based on the main mechanism of lithium-ion battery overcharge, a coupled three-dimensional electrochemical-mechanical-thermal overcharge model on a particle scale is developed for NCM cathode and graphite anode. The coupled mathematical model consists of four parts, namely the electrochemical model, the lithium plating model, the thermal model and the stress-strain model. In terms of lithium precipitation, the particle radius parameter and charging rates are investigated. The results show that the lithium plating concentration of the particles near the separator is higher, following the “principle of proximity” , namely the sequence of lithium deintercalation is related to the migration path. The surface of anode particles with small particle size is more prone to lithium precipitation due to the high maximum lithium ion concentration on the surface of the particles, the low surface lithium precipitation overpotential, and the high average Von Mises stress. At high charging rate, fast charge transfer rate and ion diffusion rate result in a low voltage at the anode, triggering off lithium precipitation. At a low rate, polarization and low temperature can lead to the precipitation of more lithium on the surface of the anode particles. In terms of stress, the spatial distribution between particles and thermal effects are investigated. The ratio of the distance from the contact surface to the center of the particle to the particle radius is calculated and defined as the contact depth (
2025, 74(3): 038501.
doi: 10.7498/aps.74.20241498
Abstract:
Magnetic sensors are widely used in the fields of navigation, transportation, robotics, automation, and medical equipment, and the performance requirements of sensors are getting higher and higher. In this work, a bimodal magnetic sensor with two operating modes, which has the advantages of large range and low noise, is proposed. The sensor consists of a 640 μH core-wound inductor in series with a 100 pF capacitor. When the external magnetic field changes, the magnetization state of the iron core in the inductor will change, the inductance value will change accordingly. The resonant frequency and impedance value of the sensor will also change with the magnetic field. In this work, the giant magnetic impedance characteristics of an RLC series circuit are analyzed, and the relationship between magnetic permeability, inductance value, and external magnetic field is established, and the series resonant frequency of the circuit is simulated to calculate the characteristics of the circuit with respect to the inductance variation. Then, two testing systems are set up to test the relationship between resonance frequency and magnetic field, as well as the noise characteristics of the sensor. In the impedance mode, the effects of capacitance, drive signal frequency, and static bias magnetic field on the sensor noise floor are first analyzed to determine the optimal parameters of the sensor. When the series capacitance of the sensor is 100 pF, the drive signal frequency will be 1 MHz and the static bias magnetic field will be 7.66 Oe. The sensor has the optimal performance with an equivalent noise floor of about\begin{document}$ {200}\;{\text{pT/}}\sqrt {{\text{Hz}}} @1 \;{\text{Hz}} $\end{document} , an impedance rate of change sensitivity of 160.6%/Oe, and a linear range of about 2 Oe. In the frequency mode, the sensor operates linearly up to 25 Oe. A logistic regression model is used to fit the resonant frequency to the magnetic field variation, and the fitted value reaches 0.9974. When the static bias magnetic field is about 7.66 Oe, the sensor sensitivity will be about 47 kHz/Oe. Moreover, compared with other common types of magnetic sensors on the market, this sensor has the commercial component cost of only ¥10, and excellent performance, and huge market potential.
Magnetic sensors are widely used in the fields of navigation, transportation, robotics, automation, and medical equipment, and the performance requirements of sensors are getting higher and higher. In this work, a bimodal magnetic sensor with two operating modes, which has the advantages of large range and low noise, is proposed. The sensor consists of a 640 μH core-wound inductor in series with a 100 pF capacitor. When the external magnetic field changes, the magnetization state of the iron core in the inductor will change, the inductance value will change accordingly. The resonant frequency and impedance value of the sensor will also change with the magnetic field. In this work, the giant magnetic impedance characteristics of an RLC series circuit are analyzed, and the relationship between magnetic permeability, inductance value, and external magnetic field is established, and the series resonant frequency of the circuit is simulated to calculate the characteristics of the circuit with respect to the inductance variation. Then, two testing systems are set up to test the relationship between resonance frequency and magnetic field, as well as the noise characteristics of the sensor. In the impedance mode, the effects of capacitance, drive signal frequency, and static bias magnetic field on the sensor noise floor are first analyzed to determine the optimal parameters of the sensor. When the series capacitance of the sensor is 100 pF, the drive signal frequency will be 1 MHz and the static bias magnetic field will be 7.66 Oe. The sensor has the optimal performance with an equivalent noise floor of about
2025, 74(3): 038502.
doi: 10.7498/aps.74.20241033
Abstract:
Ferrimagnetic materials exhibit ultrafast dynamic behaviors similar to those of antiferromagnetic materials near the angular momentum compensation point, where a non-zero net spin density is maintained. This unique feature makes their magnetic structures detectable and manipulable by using traditional magnetic techniques, thus positioning ferrimagnetic materials as promising candidates for next-generation high-performance spintronic devices. However, effectively controlling the dynamics of ferrimagnetic domain walls remains a significant challenge in current spintronics research. In this work, based on the classic Heisenberg spin model, Landau-Lifshitz-Gilbert (LLG) simulation is used to investigate the dynamic behaviors of ferrimagnetic domain walls driven by sinusoidal wave periodic magnetic field and square wave periodic magnetic field, respectively. The results show that these two types of oscillating magnetic fields induce distinct domain wall motion modes. Specifically, the domain wall surface, which has non-zero net spin angular momentum, oscillates in response to the external magnetic field. It is found that the domain wall velocity decreases as the net spin angular momentum increases. Moreover, the displacement of the ferrimagnetic domain wall driven by a sinusoidal magnetic field increases monotonically with time, while the displacement driven by a square wave magnetic field follows a more tortuous trajectory over time. Under high-frequency field conditions, the domain wall displacement shows more pronounced linear growth, and the domain wall surface rotates linearly with time. In this work, how material parameters, such as net spin angular momentum, anisotropy, and the damping coefficient, influence domain wall dynamics is also explored. Specifically, increasing the anisotropy parameter (dz) or the damping coefficient (α) results in a reduction of domain wall velocity. Furthermore, the study demonstrates that, compared with the square wave magnetic fields, the sinusoidal magnetic fields drive the domain wall more efficiently, leading domain wall to move faster. By adjusting the frequency and waveform of the periodic magnetic field, the movement of ferrimagnetic domain walls can be precisely controlled, enabling fine-tuned regulation of both domain wall velocity and position. Our findings show that sinusoidal magnetic fields, even at the same intensity, offer higher driving efficiency. The underlying physical mechanisms are discussed in detail, providing valuable insights for guiding the design and experimental development of domain wall-based spintronic devices.
2025, 74(3): 038801.
doi: 10.7498/aps.74.20240941
Abstract:
The ideal solar cell defined by the Shockley-Queisser (S-Q) theory is an important milestone in the analysis of photovoltaic devices based on some assumptions. One or more of the above assumptions are gradually avoided, and even exceed or approach the S-Q efficiency limit, so the development and improvement of S-Q theory is necessary. Heterojunction solar cells are one of the hot research fields in photovoltaics. In order to address the hindering effect of energy band discontinuity in the spatial barrier region of heterojunction solar cells on the transport of photogenerated carriers, the assumptions of S-Q theory based on the original S-Q theory of photovoltaic cells are revised in this work. The carrier mobility in the barrier region is assumed to be finite, and the infinite mobility in the S-Q model is abandoned. But the mobility in the N-type and the P-type neutral region are still infinite. The lumped relationship between carrier mobility and resistance in the barrier region is derived. Therefore, the physical process of charge transport is described in detail in this paper based on the continuity equation for semiconductors by considering the effect of absorption coefficients to prevent the quasi-Fermi level from crossing the conduction or valence band. Thus, the revised S-Q theoretical limit model of heterojunction solar cell is constructed. The diode equivalent circuit diagram is deduced and the photovoltaic conversion efficiency is evaluated eventually. The loss effects of charge transmission and band gap mismatch on the performance of heterojunction solar cells are analyzed in detail. The calculation results under the condition of 5780 K blackbody radiation and 300 K cell temperature with N-type wide bandgap (EH) and P-type narrow bandgap (EL) materials show that the highest conversion efficiency is about 31% with a hole resistance of 0.01 Ω·cm2 and electronic resistance of 0.01 Ω·cm2. The calculations show that the electronic resistance has a more negative and complicated effect on solar cell performance than hole resistance. When Re and Rh are small, the best conversion efficiency is in a range between 1.22 eV and 1.32 eV of the narrow bandgap. Increasing Re can increase the open circuit voltage of solar cells, but there are losses in efficiency and fill factor of solar cells. When Re is large enough, for example, Re = 1000 Ω·cm2, the open circuit voltage of solar cells is not limited by EL and can exceed the bandgap limit of the narrow bandgap material. Increasing Rh will also reduce efficiency, but the effect is not so great as Re. The change of absorption coefficient can cause the photogenerated current of L and H branches to change, and the radiation recombination losses of both branches can be regulated.
The ideal solar cell defined by the Shockley-Queisser (S-Q) theory is an important milestone in the analysis of photovoltaic devices based on some assumptions. One or more of the above assumptions are gradually avoided, and even exceed or approach the S-Q efficiency limit, so the development and improvement of S-Q theory is necessary. Heterojunction solar cells are one of the hot research fields in photovoltaics. In order to address the hindering effect of energy band discontinuity in the spatial barrier region of heterojunction solar cells on the transport of photogenerated carriers, the assumptions of S-Q theory based on the original S-Q theory of photovoltaic cells are revised in this work. The carrier mobility in the barrier region is assumed to be finite, and the infinite mobility in the S-Q model is abandoned. But the mobility in the N-type and the P-type neutral region are still infinite. The lumped relationship between carrier mobility and resistance in the barrier region is derived. Therefore, the physical process of charge transport is described in detail in this paper based on the continuity equation for semiconductors by considering the effect of absorption coefficients to prevent the quasi-Fermi level from crossing the conduction or valence band. Thus, the revised S-Q theoretical limit model of heterojunction solar cell is constructed. The diode equivalent circuit diagram is deduced and the photovoltaic conversion efficiency is evaluated eventually. The loss effects of charge transmission and band gap mismatch on the performance of heterojunction solar cells are analyzed in detail. The calculation results under the condition of 5780 K blackbody radiation and 300 K cell temperature with N-type wide bandgap (EH) and P-type narrow bandgap (EL) materials show that the highest conversion efficiency is about 31% with a hole resistance of 0.01 Ω·cm2 and electronic resistance of 0.01 Ω·cm2. The calculations show that the electronic resistance has a more negative and complicated effect on solar cell performance than hole resistance. When Re and Rh are small, the best conversion efficiency is in a range between 1.22 eV and 1.32 eV of the narrow bandgap. Increasing Re can increase the open circuit voltage of solar cells, but there are losses in efficiency and fill factor of solar cells. When Re is large enough, for example, Re = 1000 Ω·cm2, the open circuit voltage of solar cells is not limited by EL and can exceed the bandgap limit of the narrow bandgap material. Increasing Rh will also reduce efficiency, but the effect is not so great as Re. The change of absorption coefficient can cause the photogenerated current of L and H branches to change, and the radiation recombination losses of both branches can be regulated.
2025, 74(3): 038802.
doi: 10.7498/aps.74.20241361
Abstract:
Double perovskite materials have received significant attention in the photovoltaic field due to their low cost, environmental friendliness, and lead-free composition, which make them ideal candidates for next-generation solar cell applications. In this work, the photovoltaic performance of solar cells using Cs2AgBiI6 as the light-absorbing layer is systematically investigated through simulations using Silvaco ATLAS software. Based on the previously reported single hole transport layer device architecture, namely ITO/ZnO/Cs2AgBiI6/HTL/Au, a new dual hole transport layer structure ITO/ZnO/Cs2AgBiI6/HTL1/HTL2/Au is proposed. Different dual hole transport layer combinations are explored, and their influence on the internal physical mechanism and the device performance are analyzed and optimized in detail. The simulation results show that the devices using Cu2O/NiO and NiO/Si respectively as dual hole transport layer significantly improve charge extraction and generate a negative electric field at the interface, thereby reducing recombination losse and accelerating the transport of hole carriers. These two configurations exhibit substantially higher efficiencies than those configurations with a single hole transport layer, confirming the advantages of the dual hole transport layer structure. Additionally, devices using Cu2O/CZTS and MoO3/CZTS as dual hole transport layer show better performance than the reference structure using Spiro-OMeTAD/CZTS, indicating the potential for further improvement by optimizing material selection and layer properties. Of the various dual hole transport layer combinations tested, the structure utilizing Cu2O/CZTS achieves the highest simulated power conversion efficiency (PCE) of 22.85%. By optimizing the thickness of each functional layer, the efficiency can be further increased to 25.62%, and the optimal layer thickness is determined to be 40 nm for ZnO, 850 nm for Cs2AgBiI6, 140 nm for Cu2O, and 150 nm for CZTS. Furthermore, the effects of environmental and material parameters, such as temperature and hole transport layer doping concentration, on device performance are investigated. This study lays a theoretical foundation for the design and enhancement of double perovskite solar cells. By demonstrating the potential that the dual hole transport layer structures can significantly improve device efficiency, their value in advancing environmentally friendly and lead-free photovoltaic technologies becomes very prominent. The insights gained from this research pave the way for developing high-performance double perovskite solar cells with optimized architectures and material properties.
Double perovskite materials have received significant attention in the photovoltaic field due to their low cost, environmental friendliness, and lead-free composition, which make them ideal candidates for next-generation solar cell applications. In this work, the photovoltaic performance of solar cells using Cs2AgBiI6 as the light-absorbing layer is systematically investigated through simulations using Silvaco ATLAS software. Based on the previously reported single hole transport layer device architecture, namely ITO/ZnO/Cs2AgBiI6/HTL/Au, a new dual hole transport layer structure ITO/ZnO/Cs2AgBiI6/HTL1/HTL2/Au is proposed. Different dual hole transport layer combinations are explored, and their influence on the internal physical mechanism and the device performance are analyzed and optimized in detail. The simulation results show that the devices using Cu2O/NiO and NiO/Si respectively as dual hole transport layer significantly improve charge extraction and generate a negative electric field at the interface, thereby reducing recombination losse and accelerating the transport of hole carriers. These two configurations exhibit substantially higher efficiencies than those configurations with a single hole transport layer, confirming the advantages of the dual hole transport layer structure. Additionally, devices using Cu2O/CZTS and MoO3/CZTS as dual hole transport layer show better performance than the reference structure using Spiro-OMeTAD/CZTS, indicating the potential for further improvement by optimizing material selection and layer properties. Of the various dual hole transport layer combinations tested, the structure utilizing Cu2O/CZTS achieves the highest simulated power conversion efficiency (PCE) of 22.85%. By optimizing the thickness of each functional layer, the efficiency can be further increased to 25.62%, and the optimal layer thickness is determined to be 40 nm for ZnO, 850 nm for Cs2AgBiI6, 140 nm for Cu2O, and 150 nm for CZTS. Furthermore, the effects of environmental and material parameters, such as temperature and hole transport layer doping concentration, on device performance are investigated. This study lays a theoretical foundation for the design and enhancement of double perovskite solar cells. By demonstrating the potential that the dual hole transport layer structures can significantly improve device efficiency, their value in advancing environmentally friendly and lead-free photovoltaic technologies becomes very prominent. The insights gained from this research pave the way for developing high-performance double perovskite solar cells with optimized architectures and material properties.








