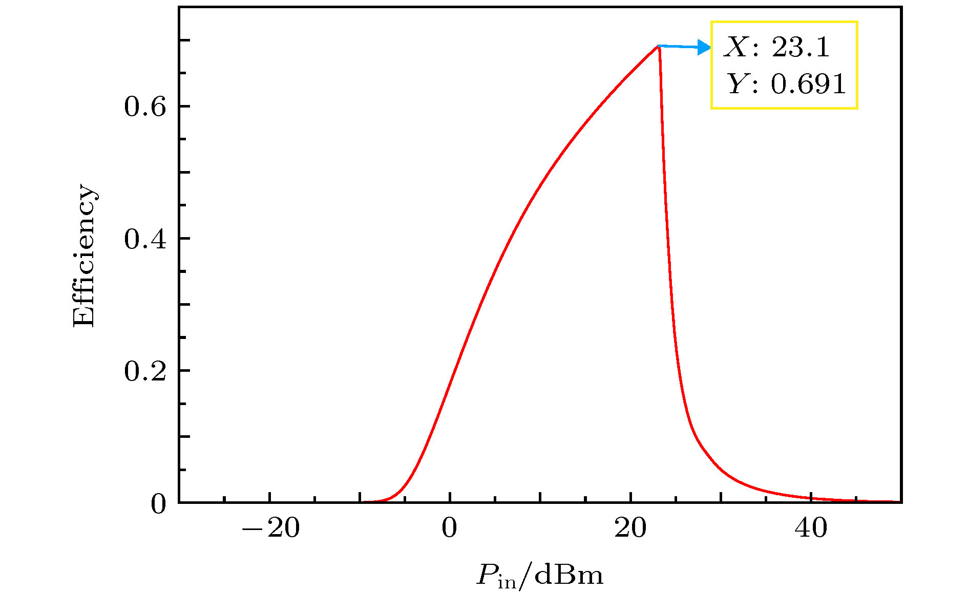
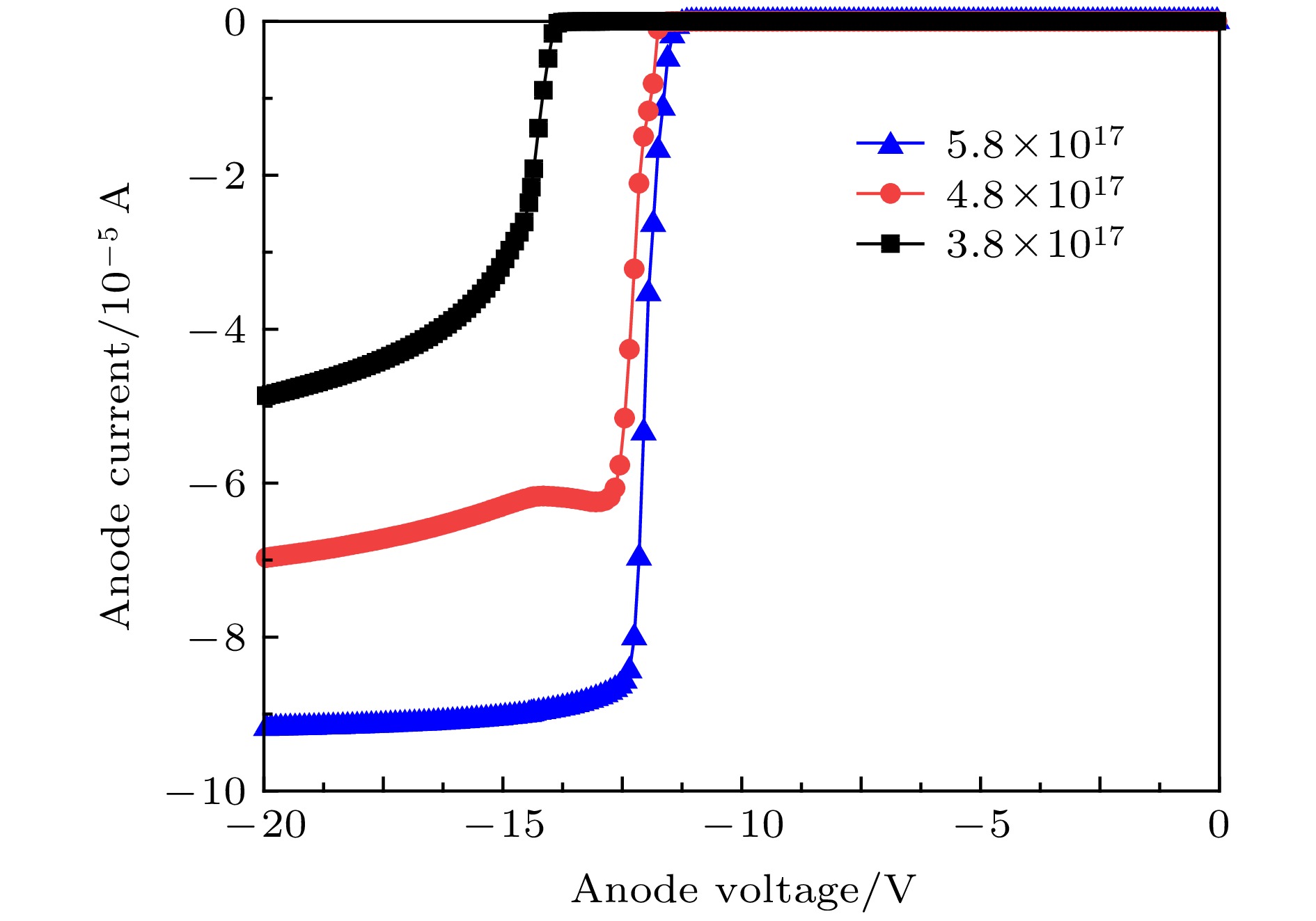
| [1] |
Wu Peng, Zhu Hong-Yu, Wu Jin-Xing, Zhang Tao, Zhang Jin-Cheng, Hao Yue.Low leakage current and high breakdown voltage of AlGaN/GaN Schottky barrier diodes with wet-etching groove anode. Acta Physica Sinica, 2023, 72(17): 178501.doi:10.7498/aps.72.20230709 |
| [2] |
Wu Peng, Li Ruo-Han, Zhang Tao, Zhang Jin-Cheng, Hao Yue.Interface-state suppression of AlGaN/GaN Schottky barrier diodes with post-anode-annealing treatment. Acta Physica Sinica, 2023, 72(19): 198501.doi:10.7498/aps.72.20230553 |
| [3] |
Wang Hai-Bo, Wan Li-Juan, Fan Min, Yang Jin, Lu Shi-Bin, Zhang Zhong-Xiang.Barrier-tunable gallium oxide Schottky diode. Acta Physica Sinica, 2022, 71(3): 037301.doi:10.7498/aps.71.20211536 |
| [4] |
Bi Si-Han, Song Jian-Jun, Zhang Dong, Zhang Shi-Qi.A Ge-based dual channel rectified single ended Schottky barrier field effect transistor for 2.45 GHz microwave wireless energy transmission. Acta Physica Sinica, 2022, 71(20): 208401.doi:10.7498/aps.71.20220855 |
| [5] |
.Barrier Tunable Gallium oxide Schottky diode. Acta Physica Sinica, 2021, (): .doi:10.7498/aps.70.20211536 |
| [6] |
Song Jian-Jun, Zhang Long-Qiang, Chen Lei, Zhou Liang, Sun Lei, Lan Jun-Feng, Xi Chu-Hao, Li Jia-Hao.A Ge-based Schottky diode for 2.45 G weak energy microwave wireless energy transmission based on crystal orientation optimization and Sn alloying technology. Acta Physica Sinica, 2021, 70(10): 108401.doi:10.7498/aps.70.20201674 |
| [7] |
Long Ze, Xia Xiao-Chuan, Shi Jian-Jun, Liu Jun, Geng Xin-Lei, Zhang He-Zhi, Liang Hong-Wei.Temperature dependent characteristics of Ni/Au vertical Schottky diode based on mechanically exfoliated beta-Ga2O3single crystal. Acta Physica Sinica, 2020, 69(13): 138501.doi:10.7498/aps.69.20200424 |
| [8] |
Shi Tai-Xia, Dong Li-Juan, Chen Yong-Qiang, Liu Yan-Hong, Liu Li-Xiang, Shi Yun-Long.Regulation of spatial fields in wireless power transfer with artificial magnetic conductor. Acta Physica Sinica, 2019, 68(21): 214203.doi:10.7498/aps.68.20190862 |
| [9] |
Liu Li-Juan, Kong Xiao-Bo, Liu Yong-Gang, Xuan Li.Enhancement of conversion efficiency for an organic semiconductor laser based on a holographic polymer dispersed liquid crystal. Acta Physica Sinica, 2017, 66(24): 244204.doi:10.7498/aps.66.244204 |
| [10] |
Li Rong-Feng, Xue Xing-Tai, Zhao Yan-Ying, Geng Yi-Xing, Lu Hai-Yang, Yan Xue-Qing, Chen Jia-Er.High efficiency cross-polarized wave filter for non-vacuum transmission. Acta Physica Sinica, 2017, 66(15): 150601.doi:10.7498/aps.66.150601 |
| [11] |
Zhao Jun-Fei, Zhang Ye-Wen, Li Yun-Hui, Chen Yong-Qiang, Fang Kai, He Li.Wireless power transfer system based on toroidal metamaterials. Acta Physica Sinica, 2016, 65(16): 168801.doi:10.7498/aps.65.168801 |
| [12] |
Du Yuan-Yuan, Zhang Chun-Lei, Cao Xue-Lei.-ray detector based on n-type 4H-SiC Schottky barrier diode. Acta Physica Sinica, 2016, 65(20): 207301.doi:10.7498/aps.65.207301 |
| [13] |
Zhao Xiu-Niao, Sun Jian-An, Dou Fu-Quan.Effect of external field shape on the ultracold atom-polymer molecule conversion efficiency. Acta Physica Sinica, 2014, 63(22): 220302.doi:10.7498/aps.63.220302 |
| [14] |
Zhai Dong-Yuan, Zhao Yi, Cai Yin-Fei, Shi Yi, Zheng You-Dou.Effect of the trench shape on the electrical properties of silicon based trench barrier schottky diode. Acta Physica Sinica, 2014, 63(12): 127201.doi:10.7498/aps.63.127201 |
| [15] |
Yu Xin-Jie, Wu Tian-Yi, Li Zhen.Wireless energy transfer system based on metglas/PFC magnetoelectric laminated composites. Acta Physica Sinica, 2013, 62(5): 058503.doi:10.7498/aps.62.058503 |
| [16] |
Li Guan-Qiang, Peng Ping, Cao Zhen-Zhou, Xue Ju-Kui.Adiabatic conversion from ultracold atoms to heteronuclear tetrameric molecule A3B. Acta Physica Sinica, 2012, 61(9): 090301.doi:10.7498/aps.61.090301 |
| [17] |
Liu Yu-Dong, Du Lei, Sun Peng, Chen Wen-Hao.The effect of electrostatic discharge on the I-V and low frequency noise characterization of Schottky barrier diodes. Acta Physica Sinica, 2012, 61(13): 137203.doi:10.7498/aps.61.137203 |
| [18] |
Wang Yan-Xin, Zhang Qi-Feng, Sun Hui, Chang Yan-Ling, Wu Jin-Lei.Fabrication of ZnO nanowire-based diodes and their light-emitting properties. Acta Physica Sinica, 2008, 57(2): 1141-1144.doi:10.7498/aps.57.1141 |
| [19] |
Yang Li-Xia, Du Lei, Bao Jun-Lin, Zhuang Yi-Qi, Chen Xiao-Dong, Li Qun-Wei, Zhang Ying, Zhao Zhi-Gang, He Liang.The effect of 60Co γ-ray irradiation on the 1/f noise of Schottky barrier diodes. Acta Physica Sinica, 2008, 57(9): 5869-5874.doi:10.7498/aps.57.5869 |
| [20] |
Liu Jie, Hao Yue, Feng Qian, Wang Chong, Zhang Jin-Cheng, Guo Liang-Liang.Characterization of Ni/Au GaN Schottky contact base on I-V-T and C-V-T measurements. Acta Physica Sinica, 2007, 56(6): 3483-3487.doi:10.7498/aps.56.3483 |