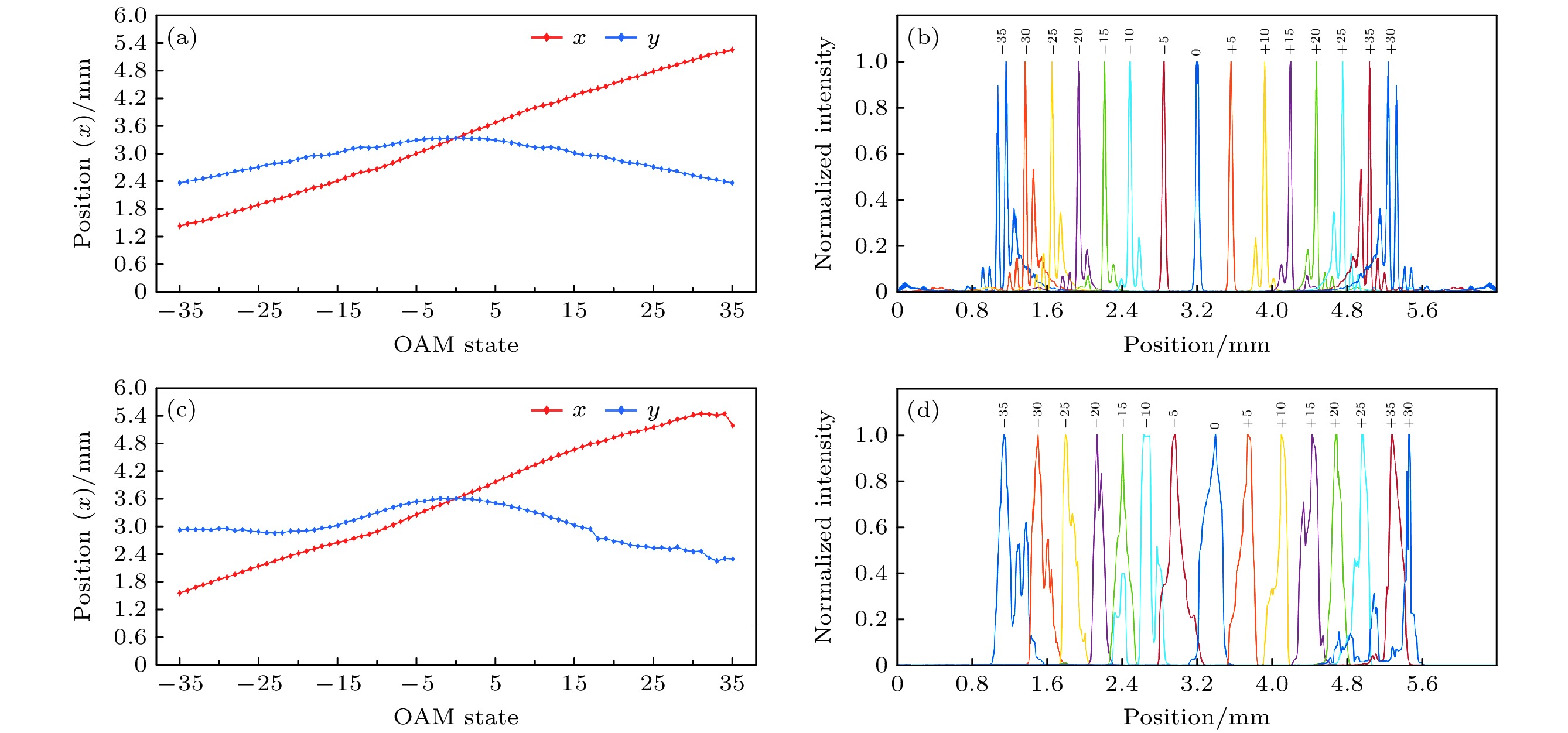
Orbital angular momentum (OAM), as a novel high-dimensional degree of freedom, shows great potential applications in optical communication in improving system channel capacity and solving the problem of scarce communication resources. However, the effective recognition and detection of OAM modes are the core challenges for achieving efficient communication in such systems. In this work, an OAM decoding system consisting of a designed coordinate transformation device, a phase corrector, and a Fourier transform lens is presented based on log-polar coordinate transformation. The coordinate transformation device fabricated by liquid crystal polymer is utilized to map the incident vortex beam from polar coordinates into Cartesian coordinates, followed by the phase corrector to compensate for phase distortions into a collimated beam. Finally, the Fourier transform lens is used to separate the OAM modes at different space positions in its rear focal plane. The performance of the system is numerically evaluated in several ablation studies, and the influence of various grating parameters on beam separation efficiency is analyzed. Experimentally, the system successfully achieves the decoding of OAM modes ranging from –35 to +31 orders. Furthermore, a free-space optical communication demonstration system is constructed based on this OAM decoding system. By introducing specifically designed decoding rules, the system effectively mitigates the adjacent mode crosstalk inherent in logarithmic polar coordinate transformation and successfully transmitted 748934 symbols without errors. These favorable results highlight the capabilities of the proposed OAM-based optical communication system and provide valuable insights for developing future high-capacity optical communication networks.