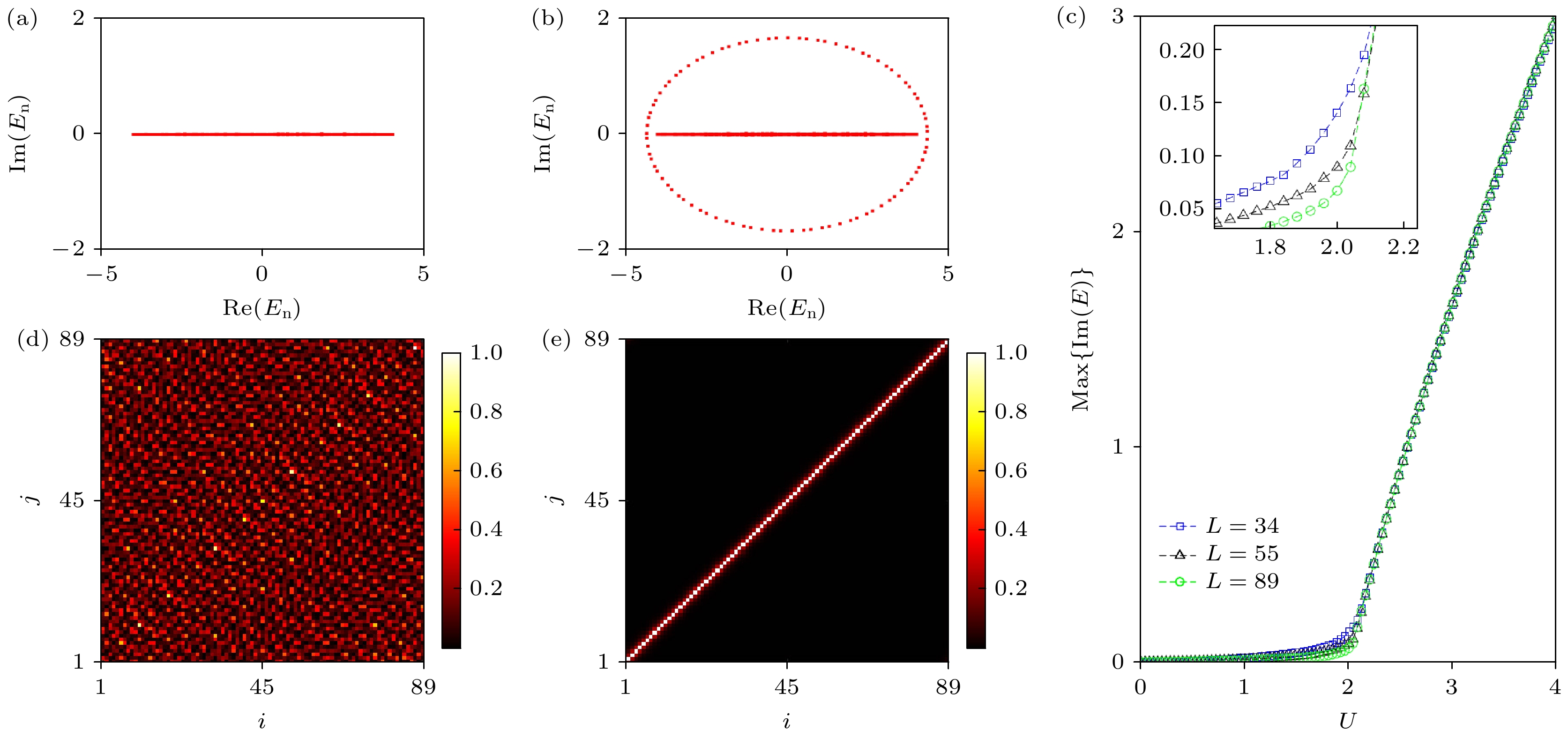
In this work, we investigate a one-dimensional two-boson system with complex interaction modulation, described by the Hamiltonian: $\hat{H}=-J\displaystyle\sum\nolimits_{j}\left(\hat{c}_j^\dagger\hat{c}_{j+1}+{\rm h.c}\right)+\sum\nolimits_{j}\frac{U}{2}{\rm e}^{2{\rm i}\pi\alpha j}\hat{n}_j\left(\hat{n}_j-1\right), $ where U is the interaction amplitude, and the modulation frequency $\alpha=(\sqrt{5}-1)$ is an irrational number. The interaction satisfies $U_{-j}=U^*_j$, which ensures that the system possesses party-time (PT) reversal symmetry. Using the exact diagonalization method, we numerically calculate the real-to-complex transition of the energy spectrum, Shannon entropy, the normalized participation ration, and the topological winding number. For small U, all eigenvalues are real. However, as U increases, eigenvalues corresponding to two particles occupying the same site become complex, marking a PT symmetry-breaking transition at $U=2$. This point signifies a real-to-complex transition in the spectrum. To characterize the localization properties of the system, we employ the Shannon entropy and the normalized participation ration (NPR). When $U<2$, all the eigenstates are extended, exhibiting high Shannon entropy and NPR values. Conversely, for $U>2$, states with complex eigenvalues show low Shannon entropy and significantly reduced NPR, indicating localization. Meanwhile, states with real eigenvalues remain extended in this regime. We further analyze the topological aspects of the system by using the winding number. A topological phase transition occurs at $U=2$, where the winding number changes from 0 to 1. This transition coincides with the onset of PT symmetry breaking and the localization transition. The dynamical evolution can be used to detect the localization properties and the real-to-complex transition, with the initial state being two bosons occupying the center site of the chain simultaneously. Finally, we propose an experimental realization by using a two-dimensional linear photonic waveguide array. The modulated interaction can be controlled by adjusting the real part and imaginary part of the refractive index of diagonal waveguide. To simulate this non-Hermitian two-body problem, we numerically calculate the density distribution of the wave packet in a two-dimensional plane, which indirectly reflects the propagation of light in a two-dimensional waveguide array. We hope that our work can deepen the understanding of the relation between interaction and disorder while arousing further interest in two-body systems and non-Hermitian localization.