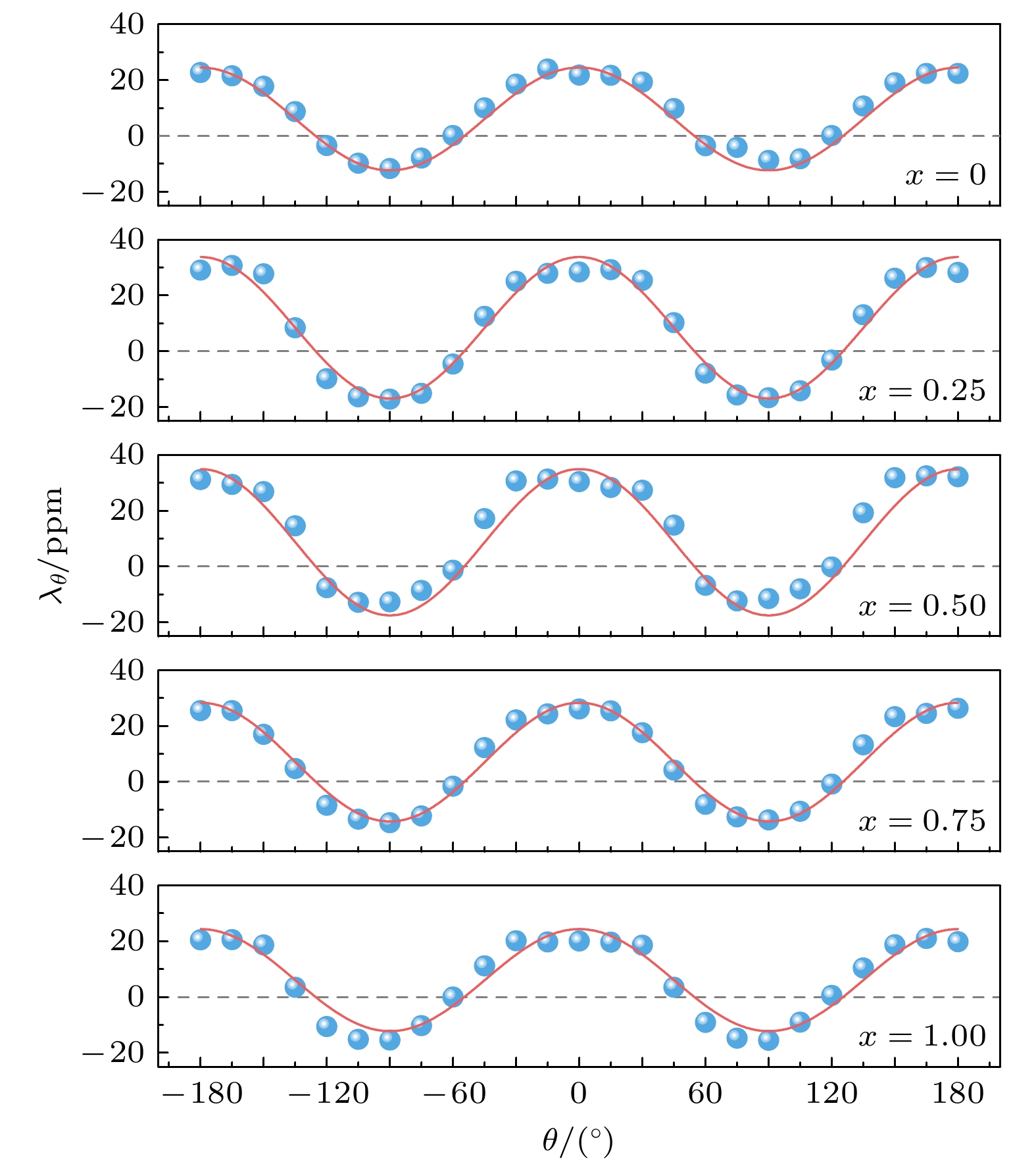
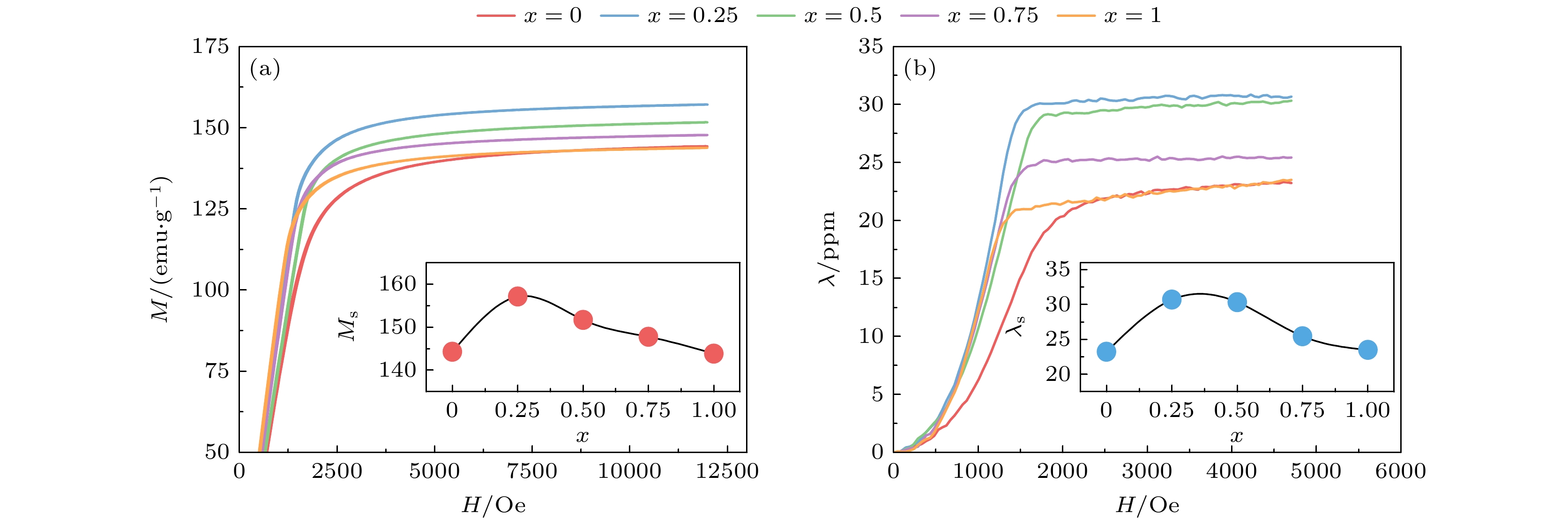
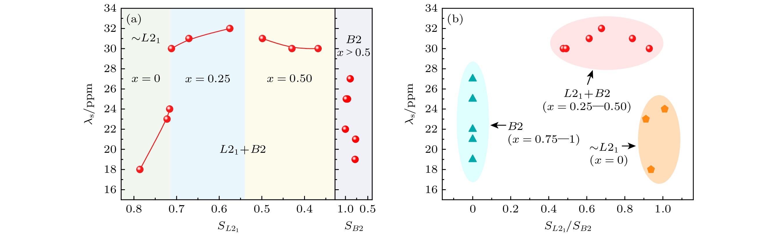
Co-based Heusler alloys have emerged as highly promising systems within the Heusler alloy family due to their high Curie temperatures and potential half-metallicity. Since the concept of half-metallic ferromagnets is proposed, these alloys have attracted significant attention because of their high spin polarization, excellent magnetic performance, and thermal stability. The existing studies predominantly focus on spin-transport properties, but systematic studies on their magnetostriction remain scarce. The electronic structure and magnetism of Co-based Heusler alloys are critically dependent on atomic-site ordering: their spin polarization, Curie temperature, and magnetocrystalline anisotropy are closely related to crystal structure, such as L21 and B2. A highly ordered L21 structure is essential for maintaining half-metallicity, as structural disorder can induce significant changes in electronic hybridization and exchange interactions, thereby significantly changing macroscopic magnetism. Additionally, ordering control is also expected to modulate magnetostriction by modifying lattice symmetry and local distortions. Notably, in Fe–Ga alloys, disorder engineering has been employed to induce local short-range order and lattice distortion, thereby enhancing magnetostriction, a mechanism that may similarly operate in Co-based systems. However, the higher lattice symmetry and stronger orbital hybridization in these alloys can lead to fundamentally distinct mechanisms, which needs to be validated experimentally. This study focuses on the Co2FeAlxSi1–x system to systematically probe the relationship between composition-driven structural evolution (i.e., L21 to B2 transition) and magnetostrictive performance through adjusting Al/Si ratio. The study aims to clarify the correlation between composition-induced structural evolution and magnetostrictive behavior, thereby revealing the regulatory role of atomic ordering in magnetoelastic coupling and providing theoretical insight for designing high-performance magnetostrictive materials.The correlation between atomic site ordering and magnetostriction in Heusler alloy Co2FeAlxSi1–x (x = 0, 0.25, 0.5, 0.75, 1) is systematically investigated in experiment. The results reveal that Al doping drives a structural transition from the highly ordered L21 phase to the disordered B2 phase, inducing a coexisting L21/B2 interface state at x = 0.25–0.5, with the calculated ordering parameters $S_{L2_1}/S_{B2} $ ranging from 0.5 to 0.9. The experimental data demonstrate that this interface state significantly enhances the saturation magnetostriction coefficient (λs), which subsequently decreases as it further transitions to the B2-dominated structure. These findings quantitatively clarify the physical mechanism by which local atomic disorder enhances magnetoelastic coupling through reducing cubic symmetry, localizing lattice distortion, and changing magnetic domain configuration. Furthermore, this study reports for the first time the magnetostriction coefficients of 12 Co-based Heusler alloys, among which Co2MnGa and Co2CrGa exhibit superior potential compared with other Co based Heusler alloys, filling the gap in magnetostriction performance parameters of this system. The linear positive magnetostriction behaviors of the polycrystalline materials are also validated. This study provides a strategy for optimizing magnetostriction performance through atomic site ordering control, and points out a new direction for the development of magnetostrictive materials with high-temperature stability and high spin polarization.