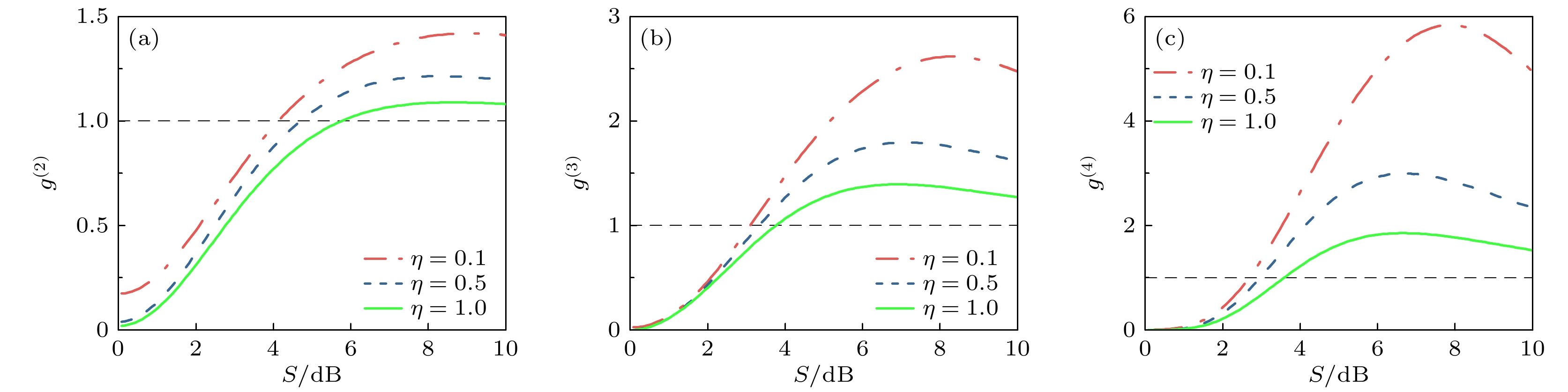
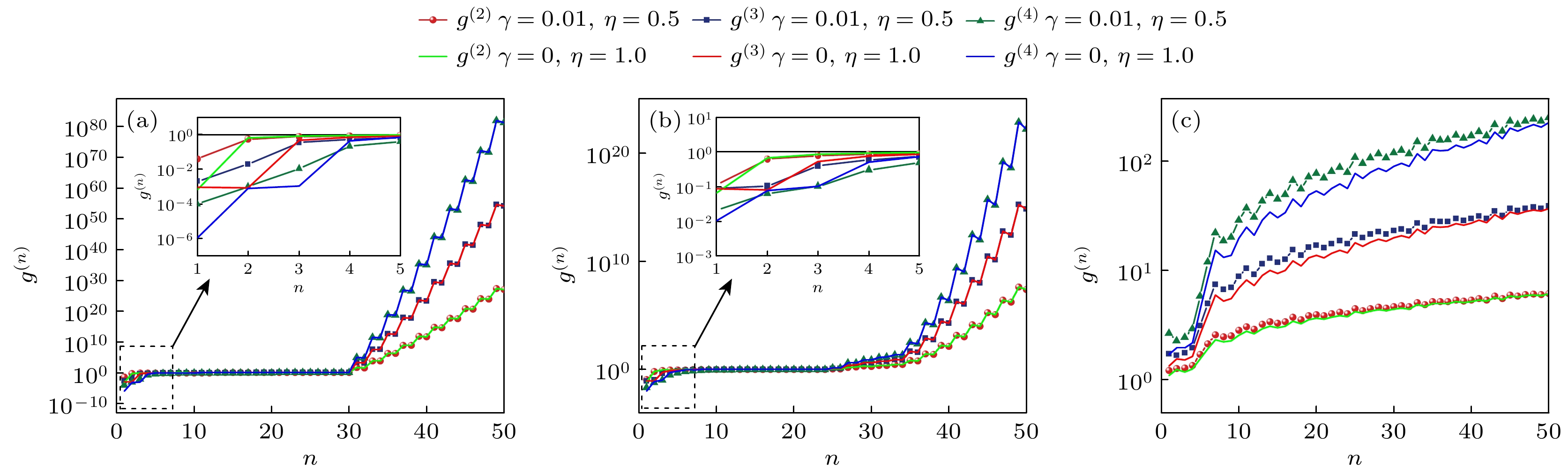
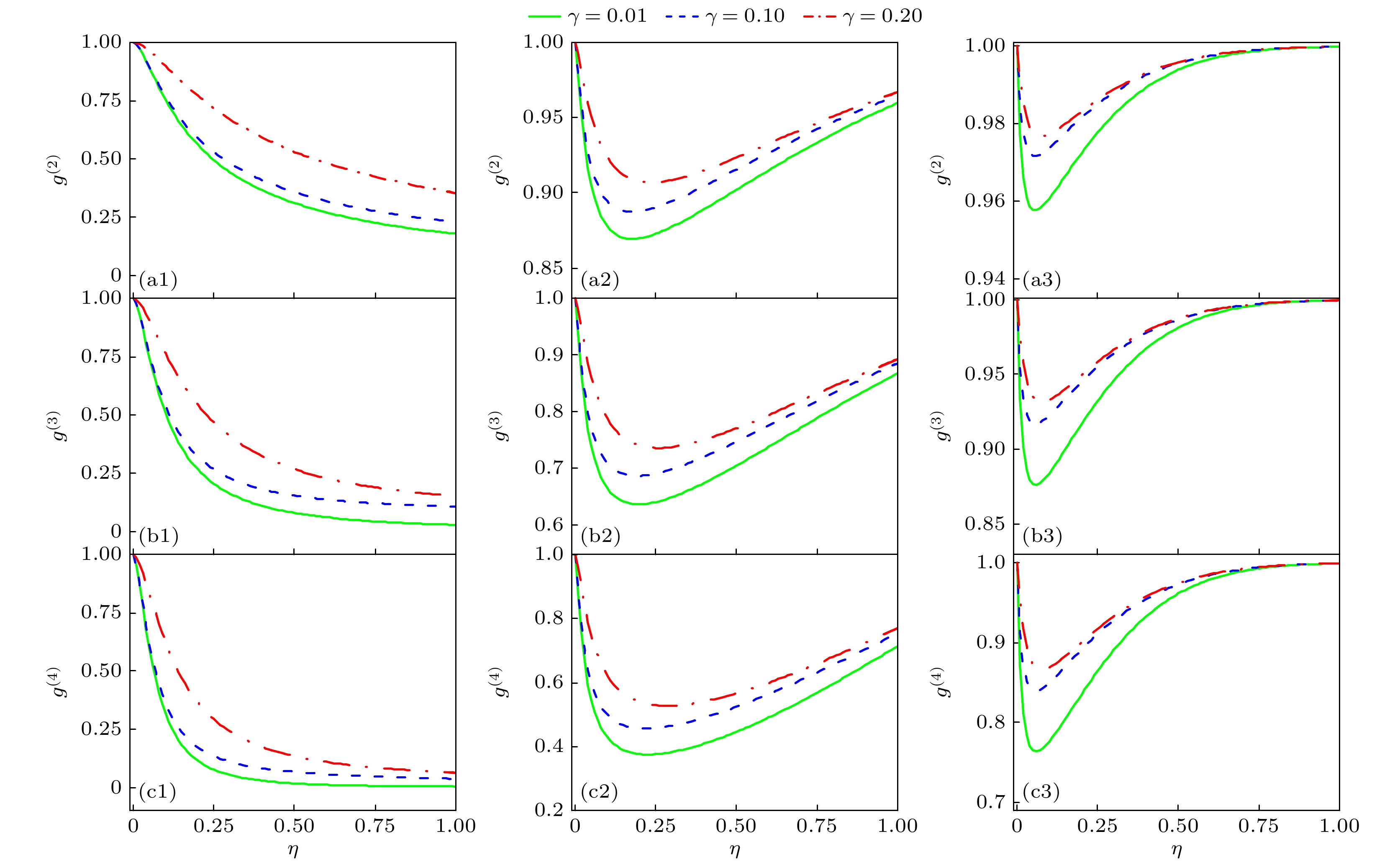
The bunching and antibunching effects of light fields reflect the spatiotemporal correlation of photons and are key indicators for distinguishing classical and non-classical quantum statistics. They play a crucial role in quantum information processing and precise measurement. In this paper, we investigate the super-bunching and antibunching effects of the full-time-delay higher-order coherence function $ {g^{(n)}} $ for squeezed thermal states and squeezed number states based on a multi-cascaded Hanbury Brown–Twiss single-photon detection scheme.Under ideal conditions, the high-order coherence of squeezed thermal states and squeezed number states is analyzed by changing compression parameter $ r $, average photon number $ \alpha $, and squeezed photon number $ n $. The results indicate that when the compression parameter $ r \in [0, 1] $, the squeezed thermal state exhibits a significant super-bunching effect, with super-bunching values of each order being $ {g^{({2})}} = 9.98 \times 10^5$, $ {g^{({3})}} = 8.98 \times 10^6$, $ {g^{({4})}} = 8.96 \times 10^{12}$, $ {g^{({5})}} = 2.24 \times 10^{14}$. The squeezed number state exhibits a continuous transition from antibunching to bunching behavior, with coherence degrees of different orders being $ {g^{({2})}} \in [1.60 \times 10^{-5}, 1.09] $, $ {g^{({3})}} \in [9.02 \times 10^{-6}, 1.16] $, $ {g^{({4})}} \in [4.75 \times 10^{-6}, 1.22] $, and $ {g^{({5})}} \in [9.39 \times 10^{-6}, 1.30]) $.Simultaneously, this study analyzes the high-order photon coherence of squeezed thermal states and squeezed number states under experimental conditions, with background noise $\gamma $ and detection efficiency $\eta $ taken into account. When detection efficiency is relatively low and background noise is substantial, the higher-order coherence of squeezed thermal states with smaller average photon number $ \alpha $ is disturbed by background noise, but still maintains good super-bunching characteristics. However, when the average photon number $ \alpha $ becomes large, which is limited by the dead time of single-photon detector, it is challenging to accurately obtain all the information about the squeezed number state light field, leading measurement results to deviate from the ideal values. When the average photon number is $ \alpha = 0.5$, the super-bunching effects reach their maximum values of $ {g^{({2})}} = 2.149 $, $ {g^{({3})}} = 6.389 $和$ {g^{({4})}} = 23.228 $, corresponding to the squeezing degrees $ {S^{({2})}} = 5.47$, $ {S^{(3)}}= 4.86 $ and = 4.43, respectively. Furthermore, by adjusting the number of squeezed photons $ n $ and the squeezing degree of the squeezed number state light field, $S$, a continuous and wide-ranging change of high-order coherence function can be achieved, transforming from anti-bunching effect to super-bunching effect. Additionally, under the conditions of high environmental noise and low detection efficiency, higher-order coherence exhibits greater sensitivity to variations in optical field parameters than lower-order coherence. Furthermore, squeezed number states with multi-photon characteristics are less susceptible to disturbances from background noise, demonstrating stronger robustness.In addition, the variation characteristics of the high-order photon coherence function of the squeezed thermal state light field under the full time-delay conditions are investigated. The full time-delay high-order coherence $ {g^{(n)}} $ of the squeezed thermal state light field near the coherence time range $ {\tau _{{\text{STS}}}} $ is significantly higher than that of the classical thermal state light field. Even when a significant time delay is introduced into one of the optical paths, partial synchronization among photons can still maintain a certain correlation strength. Although unsynchronized photons lead to an overall reduction in coherence, the coherence is still higher than the theoretical predictions for thermal states under identical conditions.Based on the theoretical framework established in this work, future experiments may focus on adjusting the pump power, intracavity loss, and crystal temperature of optical parametric amplifiers to jointly control the squeezing degree and mean photon number, enabling stable generation of squeezed thermal states in different parameter regimes. Additionally, the precise measurement of higher-order coherence can be achieved using cascaded HBT detection systems with multiple inputs and high temporal resolution.In summary, by considering environmental noise, detection efficiency, and time delay, and by adjusting the average photon number, the number of squeezed photons, and the squeezing parameters, this method can prepare super-bunching squeezed thermal states and squeezed number states, whose higher-order coherence can be continuously adjusted over a wide range, thereby facilitating efficient quantum state preparation and manipulation, as well as high-resolution quantum imaging.