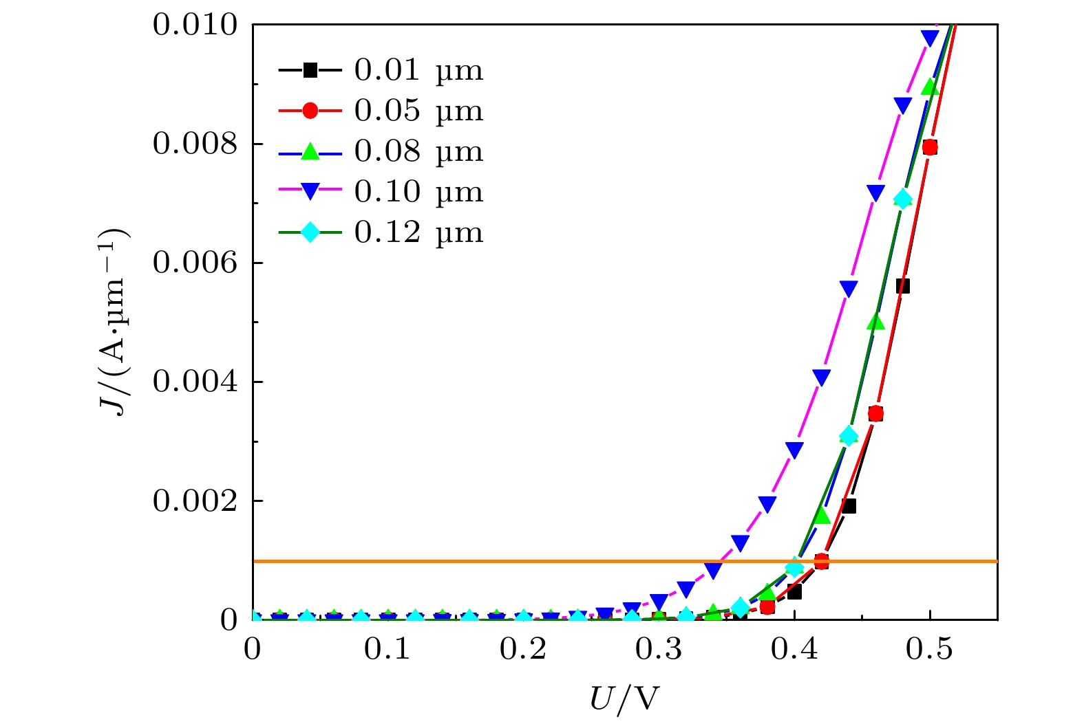
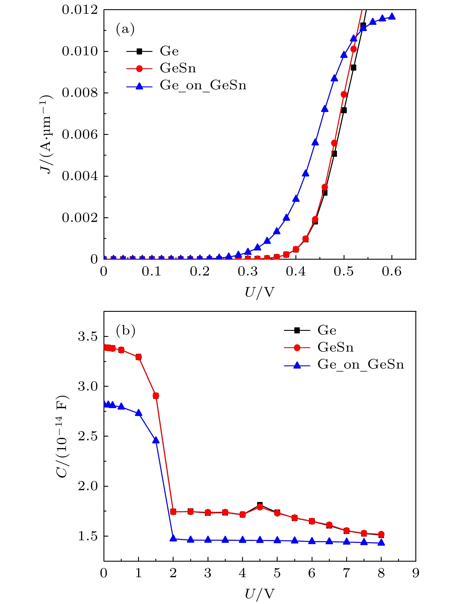
| [1] |
Wu Peng, Zhu Hong-Yu, Wu Jin-Xing, Zhang Tao, Zhang Jin-Cheng, Hao Yue.Low leakage current and high breakdown voltage of AlGaN/GaN Schottky barrier diodes with wet-etching groove anode. Acta Physica Sinica, 2023, 72(17): 178501.doi:10.7498/aps.72.20230709 |
| [2] |
Wu Peng, Li Ruo-Han, Zhang Tao, Zhang Jin-Cheng, Hao Yue.Interface-state suppression of AlGaN/GaN Schottky barrier diodes with post-anode-annealing treatment. Acta Physica Sinica, 2023, 72(19): 198501.doi:10.7498/aps.72.20230553 |
| [3] |
Yao Hai-Yun, Yan Xin, Liang Lan-Ju, Yang Mao-Sheng, Yang Qi-Li, Lü Kai-Kai, Yao Jian-Quan.Terahertz dynamic multidimensional modulation at Dirac point based on patterned graphene/gallium nitride hybridized with metasurfaces. Acta Physica Sinica, 2022, 71(6): 068101.doi:10.7498/aps.71.20211845 |
| [4] |
Wang Hai-Bo, Wan Li-Juan, Fan Min, Yang Jin, Lu Shi-Bin, Zhang Zhong-Xiang.Barrier-tunable gallium oxide Schottky diode. Acta Physica Sinica, 2022, 71(3): 037301.doi:10.7498/aps.71.20211536 |
| [5] |
Bi Si-Han, Song Jian-Jun, Zhang Dong, Zhang Shi-Qi.A Ge-based dual channel rectified single ended Schottky barrier field effect transistor for 2.45 GHz microwave wireless energy transmission. Acta Physica Sinica, 2022, 71(20): 208401.doi:10.7498/aps.71.20220855 |
| [6] |
Xu Qing-Lin, Xiang Ting, Xu Wei, Li Ting, Wu Xiao-Yan, Li Wei, Qiu Xue-Jun, Chen Ping.Gold nanoparticals modified indium tin oxide anode for high performance red perovskite light emitting diodes. Acta Physica Sinica, 2021, 70(20): 207803.doi:10.7498/aps.70.20210500 |
| [7] |
.Barrier Tunable Gallium oxide Schottky diode. Acta Physica Sinica, 2021, (): .doi:10.7498/aps.70.20211536 |
| [8] |
Long Ze, Xia Xiao-Chuan, Shi Jian-Jun, Liu Jun, Geng Xin-Lei, Zhang He-Zhi, Liang Hong-Wei.Temperature dependent characteristics of Ni/Au vertical Schottky diode based on mechanically exfoliated beta-Ga2O3single crystal. Acta Physica Sinica, 2020, 69(13): 138501.doi:10.7498/aps.69.20200424 |
| [9] |
Li Yu-Chen, Chen Hang-Yu, Song Jian-Jun.Ge Schottky diode for improving energy conversion efficiency of the receiver of microwave wireless power transfer. Acta Physica Sinica, 2020, 69(10): 108401.doi:10.7498/aps.69.20191415 |
| [10] |
Du Yuan-Yuan, Zhang Chun-Lei, Cao Xue-Lei.-ray detector based on n-type 4H-SiC Schottky barrier diode. Acta Physica Sinica, 2016, 65(20): 207301.doi:10.7498/aps.65.207301 |
| [11] |
Zhai Dong-Yuan, Zhao Yi, Cai Yin-Fei, Shi Yi, Zheng You-Dou.Effect of the trench shape on the electrical properties of silicon based trench barrier schottky diode. Acta Physica Sinica, 2014, 63(12): 127201.doi:10.7498/aps.63.127201 |
| [12] |
Liu Bo-Zhi, Li Rui-Feng, Song Ling-Yun, Hu Lian, Zhang Bing-Po, Chen Yong-Yue, Wu Jian-Zhong, Bi Gang, Wang Miao, Wu Hui-Zhen.QD-LED devices using ZnSnO as an electron-transporting layer. Acta Physica Sinica, 2013, 62(15): 158504.doi:10.7498/aps.62.158504 |
| [13] |
Liu Yu-Dong, Du Lei, Sun Peng, Chen Wen-Hao.The effect of electrostatic discharge on the I-V and low frequency noise characterization of Schottky barrier diodes. Acta Physica Sinica, 2012, 61(13): 137203.doi:10.7498/aps.61.137203 |
| [14] |
Wang Nan, Yao Wen-Jing, Tang Lin-Feng, Guan Qiang.Effect of orientation on integrity of single crystal during laser melted single crystal. Acta Physica Sinica, 2010, 59(11): 7941-7948.doi:10.7498/aps.59.7941 |
| [15] |
Zou Jian-Hua, Tao Hong, Wu Hong-Bin, Peng Jun-Biao.Improved performance of white polymer light emitting diodes. Acta Physica Sinica, 2009, 58(2): 1224-1228.doi:10.7498/aps.58.1224 |
| [16] |
Wang Yan-Xin, Zhang Qi-Feng, Sun Hui, Chang Yan-Ling, Wu Jin-Lei.Fabrication of ZnO nanowire-based diodes and their light-emitting properties. Acta Physica Sinica, 2008, 57(2): 1141-1144.doi:10.7498/aps.57.1141 |
| [17] |
Yang Li-Xia, Du Lei, Bao Jun-Lin, Zhuang Yi-Qi, Chen Xiao-Dong, Li Qun-Wei, Zhang Ying, Zhao Zhi-Gang, He Liang.The effect of 60Co γ-ray irradiation on the 1/f noise of Schottky barrier diodes. Acta Physica Sinica, 2008, 57(9): 5869-5874.doi:10.7498/aps.57.5869 |
| [18] |
Liu Jie, Hao Yue, Feng Qian, Wang Chong, Zhang Jin-Cheng, Guo Liang-Liang.Characterization of Ni/Au GaN Schottky contact base on I-V-T and C-V-T measurements. Acta Physica Sinica, 2007, 56(6): 3483-3487.doi:10.7498/aps.56.3483 |
| [19] |
.. Acta Physica Sinica, 1965, 21(9): 1697-1699.doi:10.7498/aps.21.1697 |
| [20] |
SEN HSUEH-CHU, CHEN NING-CHIANG.PRESSURE DEPENDENCE OF THE CURRENT-VOLTAGE CHARACTERISTICS OF GERMANIUM ESAKI DIODES. Acta Physica Sinica, 1964, 20(10): 1019-1026.doi:10.7498/aps.20.1019 |